Надёжность функционирования автоматизированных систем

























































































































































































































































































































































































































































































































































































































































































































































































































































































































Пермский Государственный Технический Университет
Кафедра автоматизированных систем управления
Липатов И.Н.
КОНСПЕКТ ЛЕКЦИЙ
по курсу: “Надёжность функционирования автоматизированных систем”
Пермь 1996
СОДЕРЖАНИЕ
Введение
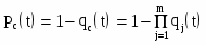
Надёжность неремонтируемых изделий
Проблемы надёжности
Факторы, влияющие на надёжность электронной аппаратуры, на надёжность изделий
Факторы, влияющие на надёжность при проектировании
Факторы, влияющие на надёжность в процессе изготовления
Факторы, влияющие на надёжность в процессе эксплуатации
Пути повышения надёжности
Основные понятия теории надёжности
Виды надёжности
Основные понятия и теоремы теории вероятностей
Классификация событий
Теорема сложения вероятностей
Теорема умножения вероятностей
Теорема полной вероятности
Количественные характеристики надёжности
Плотность вероятности f(t) времени безотказной работы Т
Интенсивность отказов (t)
Определение интенсивности отказов (t) по результатам испытаний
Числовые характеристики надёжности
Характеристики ремонтопригодности
Экспериментальная оценка надёжности изделий
Выравнивание статистического закона распределения случайной величины Т
Критерий Пирсона
Критерий Колмогорова
Законы распределения отказов и их основные характеристики
Экспоненциальный закон надёжности
Нормальный закон распределения
Закон распределения Вейбулла
Виды соединения элементов в систему
Последовательное соединение элементов в систему
Параллельное соединение элементов в систему
Классификация методов резервирования
Схема постоянного резервирования
Схема резервирования замещением
Схема общего резервирования
Схема раздельного резервирования
Расчёт надёжности системы с постоянным резервированием
Расчёт надёжности системы с постоянным общим резервированием
Расчёт надёжности системы с постоянным поэлементным резервированием
Режим облегченного (тёплого) резерва
Режим нагруженного резерва
Режим ненагруженного резерва
Основные количественные характеристики надёжности при поэлементном резервировании замещением
Анализ надёжности систем при резервировании с дробной кратностью и постоянно включенным резервом
Надёжность ремонтируемых (восстанавливаемых) изделий
Надёжность системы с восстановлением
Надёжность программного обеспечения
Сравнительные характеристики программных и аппаратурных отказов
Проверка и испытания программ
Основные проблемы исследования надёжности программного обеспечения
Критерии оценки надёжности программных изделий
Критерии надёжности сложных комплексов программ
Математические модели надёжности комплексов программ
Проверка математических моделей
Литература
ВВЕДЕНИЕ
Наука о надёжности - молодая наука. Её формирование относится к середине текущего столетия. Но это не означает, что люди не интересовались и не занимались вопросами надёжности создаваемой ими техники до тех пор, пока не возникла наука о надёжности. С первых шагов развития техники стояла задача сделать техническое устройство таким, чтобы оно работало надёжно. Середина текущего столетия ознаменовалась новым качественным скачком в развитии техники - широким распространением больших и малых автоматизированных систем управления (АСУ) различного назначения. Создание и использование такой техники без специальных мер по обеспечению её надёжности не имеет смысла. Опасность заключается не только в том, что новая сложная техника не будет работать (будут возникать простои), но главным образом в том, что отказ в её работе, в том числе и неправильная работа, может привести к катастрофическим последствиям.
Очевидно, что новая автоматизированная техника, выполняющая ответственные функции, имеет право на существование только тогда, когда она надёжна.
С развитием и усложнением техники усложнялась и развивалась проблема её надёжности. Для решения её потребовалась разработка научных основ нового научного направления - наука о надёжности. Предмет её исследований - изучение причин, вызывающих отказы объектов, определение закономерностей, которым отказы подчиняются, разработка способов количественного измерения надёжности, методов расчёта и испытаний, разработка путей и средств повышения надёжности.
Наука о надёжности развивается в тесном взаимодействии с другими науками.
Математическая логика позволяет на языке математики представить сложные логические зависимости между состояниями системы и её комплектующих частей.
Теория вероятностей, математическая статистика и теория вероятностных процессов дают возможность учитывать случайный характер возникающих в системе событий и процессов, формировать математические основы теории надёжности.
Теория графов, исследования операций, теория информации, техническая диагностика, теория моделирования, основы проектирования систем и технологических процессов - такие научные дисциплины, без которых невозможно было бы развитие науки о надёжности. Они позволяют обоснованно решать задачи надёжности.
Основные направления развития теории надёжности следующие.
Развитие математических основ теории надёжности. Обобщение статистических материалов об отказах и разработка рекомендаций по повышению надёжности объектов вызвали необходимость определять математические закономерности, которым подчиняются отказы, а также разрабатывать методы количественного измерения надёжности и инженерные расчёты её показателей. В результате сформировалась математическая теория надёжности.
Развитие методов сбора и обработки статистических данных о надёжности. Обработка статистических материалов в области надёжности потребовала развития существующих методов и привела к накоплению большой статистической информации о надёжности. Возникли статистические характеристики надёжности и закономерности отказов. Работы в этом направлении послужили основой формирования статистической теории надёжности.
Развитие физической теории надёжности. Наука о надёжности не могла и не может развиваться без исследования физико - химических процессов. Поэтому большое внимание уделяется изучению физических причин отказов, влиянию старения и прочности материалов на надёжность, разнообразных внешних и внутренних воздействий на работоспособность объектов. Совокупность работ в области исследования физико - химических процессов, обуславливающих надёжность объектов, послужила основой физической теории надёжности.
В конкретных областях техники разрабатывались и продолжают разрабатываться прикладные вопросы надёжности, вопросы обеспечения данной конкретной техники (полупроводниковые приборы, судовые установки, транспортные машины, вычислительная техника, авиация и т.д.). При этом решается также вопрос о наиболее рациональном использовании общей теории надёжности в конкретной области техники и ведётся разработка новых приложений, методов и приёмов, отражающих специфику данного вида техники. Так возникли прикладные теории надёжности, в том числе прикладная теория надёжности АСУ.
НАДЁЖНОСТЬ НЕРЕМОНТИРУЕМЫХ ИЗДЕЛИЙ
Проблемы надёжности
Проблема надёжности возникла по следующим причинам:
Резкое усложнение изделий, электронной аппаратуры, большое количество элементов, входящих в состав изделия. Чем сложнее и точнее аппаратура, тем менее она надёжна;
Рост сложности системы превышает рост надёжности элементов в этой системе;
Функция, которую выполняет изделие, бывает очень ответственной и отказ изделия может дорого обойтись.
Пример: отказ аппаратуры управления производственным процессом может привести не только к прекращению изготовления продукции, но может вызвать серьёзную аварию.
К каким последствиям могут привести отказы электронной аппаратуры военного назначения, учитывая огромную разрушительную силу ядерного оружия.
Исключение человека - оператора из процесса управления. Это обусловлено скоротечностью процессов либо вредными условиями труда. Важным фактором безотказности аппаратуры является способность человека принимать решения при управлении сложным объектом.
Сложность условий, в которых осуществляется эксплуатация аппаратуры.
Академик Берг: “Не одно достижение науки и техники, сколь бы эффективно оно не было, не может быть полноценно использовано, если его реализация будет зависеть от “капризов” малонадёжной аппаратуры”.
1.2 Факторы, влияющие на надёжность электронной аппаратуры, на надёжность изделия
При анализе надёжности целесообразно рассматривать три этапа в создании аппаратуры или изделия.
Проектирование
Изготовление
Эксплуатация
Факторы, влияющие на надёжность при проектировании
Количество и качество элементов в системе оказывает влияние на надёжность. Увеличение количества используемых элементов приводит к резкому ухудшению надёжности аппаратуры. К ухудшению надёжности приводит применение менее надёжных элементов.
Режим работы элементов. Самые надёжные элементы, работающие в тяжёлом, не предусмотренном для их применения режиме, могут стать источником частых отказов. Для каждого элемента устанавливаются технические условия на режим работы элемента. Необходимо правильно выбрать режимы работы элементов.
Применение стандартных и унифицированных элементов резко повышает надёжность системы. Технология производства этих элементов отработана, надёжность их известна.
Конструктор должен предусмотреть хороший доступ к блокам, элементам аппаратуры для осмотра, ремонта; предусмотреть сигнализацию об отказе того или иного элемента.
1.2.2 Факторы, влияющие на надёжность в процессе изготовления
Качество материалов. Необходим хороший входной контроль материалов и комплектующих изделий, поступающих от других предприятий.
Качество хранения материалов и комплектующих изделий.
Чистота рабочих мест, оборудования, рабочего помещения.
Соблюдение технологии изготовления и сборки: термообработка, антикоррозийные покрытия и т.п.
1.2.3 Факторы влияющие на надёжность в процессе эксплуатации
Квалификация обслуживающего персонала. Этот фактор доказан практикой.
На надёжность влияют внешние условия: климатические условия, вибрации, перегрузки, удары. Частое включение и выключение аппаратуры нежелательно.
На надёжность влияет фактор времени. Продолжительность эксплуатации аппаратуры с момента выпуска с завода до капитального ремонта может составлять несколько лет. К концу этого периода повышается опасность возникновения отказов отдельных элементов.
Пути повышения надёжности
Устранение влияния факторов, приводящих к снижению надёжности аппаратуры.
Резервирование (вместо одного изделия ставят два). Второе изделие резервное. Если откажет 1-е изделие, то подключают 2-е изделие.
Сбор во время эксплуатации аппаратуры полных и достоверных данных об отказах и простоях аппаратуры. Эта информация может использоваться при решении задачи повышения надёжности аппаратуры.
Основные понятия теории надёжности
Теория надёжности это наука, изучающая закономерности особого рода явлений - отказов технических устройств.
Надёжность - это более узкая характеристика изделия, чем качество изделия.
Качество изделия - это совокупность свойств, определяющих пригодность изделия для работы в соответствии со своим назначением. К таким свойствам относятся надёжность, точность, удобство и т.д.
Надёжность - свойство изделия выполнять заданные функции в заданных условиях эксплуатации.
Надёжность - свойство изделия сохранять значения заданных параметров в заданных пределах при определённых условиях эксплуатации.
Надёжность находится в противоречии с точностью, габаритами и весом изделия. Чем меньше габариты изделия, тем менее оно надёжно.
Вторым фундаментальным понятием теории надёжности является понятие отказа.
Отказ - это событие, после наступления которого изделие перестаёт выполнять свои функции.
Отказы делят на внезапные, постепенные, перемежающиеся.
Внезапный отказ - происходит в результате скачкообразного изменения характеристик изделия.
Постепенный отказ - отказ, возникший в результате постепенного изменения характеристик изделия вследствие износа, старения элементов изделия.
Перемежающийся отказ - самоустраняющийся отказ, возникающий в результате временно действующих причин.
Отказы в АСУ целесообразно подразделять на аппаратурные и программные.
Аппаратурным отказом принято считать событие, при котором изделие утрачивает работоспособность и для его восстановления требуется проведение ремонта аппаратуры или замена отказавшего изделия на исправное.
Программным отказом считается событие, при котором объект утрачивает работоспособность по причине несовершенства программы (несовершенство алгоритма решения задачи, отсутствие программной защиты от сбоев, отсутствие программного контроля за состоянием изделия, ошибки в представлении программы на физическом носителе и т.д.). Характерным признаком программного отказа является то, что устраняется он путём исправления программы.
Второстепенные неисправности: дефекты и неполадки.
Дефект - это неисправность, которая приводит к отказу не сразу, а через некоторое время. Пример: нарушение изоляции провода, а впоследствии короткое замыкание.
Неполадки - неисправности, не приводящие к отказу изделия (перегорание лампочки освещения шкалы).
Ремонтопригодность - приспособленность изделия к предупреждению, обнаружению и устранению отказов.
Сохранность изделия - свойство изделия сохранять свою способность к работе в определённых условиях хранения.
Долговечность (технический ресурс) - это суммарная продолжительность работы изделия, ограниченная износом, старением или другим предельным состоянием.
Ресурс - это установленное время, по истечению которого эксплуатация изделия недопустима. Пример: авиационный двигатель: ресурс 500 часов.
Безотказность - свойство изделия непрерывно сохранять работоспособность в течении некоторого времени или некоторой наработки.
Работоспособность - такое состояние изделия, при котором оно способно выполнять заданные функции, удовлетворяя требованиям нормативно - технической документации. Работоспособность - характеристика состояния изделия в некоторый момент времени.
Наработка - это продолжительность или объём работы изделия.
Наработка до отказа - продолжительность или объём работы изделия до возникновения первого отказа.
Средняя наработка до отказа - математическое ожидание наработки изделия до первого отказа.
Однако для АСУ, информационных сетей и вычислительной техники оказалось, что этих понятий для характеристики надёжности недостаточно. В практике создания и использования АСУ находят применение дополнительные понятия, без учёта которых нельзя в полной мере представить комплексное понятие “надёжность”. Рассмотрим эти понятия.
Живучесть - свойство объекта сохранять работоспособность (полностью или частично) в условиях неблагоприятных воздействий, не предусмотренных нормальными условиями эксплуатации. Главный смысл требования к живучести объекта состоит не только в том, чтобы он длительное время работал непрерывно без отказа в нормальных условиях эксплуатации и чтобы его можно было быстро отремонтировать, но также и в том, чтобы он в ненормальных условиях эксплуатации сохранял работоспособность, хотя бы и ограниченную.
Достоверность информации, выдаваемой объектом. При работе вычислительной машины или тракта передачи информации могут отсутствовать отказы. Поэтому объект может обладать высокой безотказностью, хорошей долговечностью, сохраняемостью и ремонтопригодностью. Однако в нём могут иметь место сбои, искажающие информацию. В изделии “ломается”, “портится” не аппаратура, а информация. Это не менее опасная “поломка”.
Виды надёжности
При исследовании надёжности часто ставится задача определить причины, приводящие к формированию той или другой стороны надёжности. Без этого невозможно наметить правильную программу работ по повышению надёжности. Это приводит к делению надёжности на:
Аппаратную надёжность , обусловленную состоянием аппаратуры;
Программную надёжность объекта, обусловленную состоянием программ;
Надёжность объекта, обусловленную качеством обслуживания;
Надёжность функциональная.
Особого внимания заслуживает понятие “программная надёжность”, так как её важная роль в обеспечении надёжности АСУ является одной из самых характерных особенностей прикладной теории надёжности АСУ. Понятие “программная надёжность” возникло в результате следующих основных причин. В инженерной практике всё большее значение приобретают программно-управляемые изделия: программно-управляемые станки; вычислительные машины и системы машин; системы передачи данных АСУ и др. Для этих изделий характерно то, что они являются органическим слиянием технических средств (аппаратуры) и программы. Без программного обеспечения вычислительный комплекс, или тракт передачи данных, - это “мёртвый” набор технических устройств, который оживает тогда и только тогда, когда он используется как единое целое с программой. Поэтому говорить о надёжности таких устройств бессмысленно, если не учитывать влияния программного обеспечения.
Учёт влияния программного обеспечения приводит к необходимости выделять в особый вид программную надёжность объектов.
Надёжность функциональная - надёжность выполнения отдельных функций, возлагаемых на систему. АСУ, как правило, система многофункциональная, т.е. она предназначается для выполнения ряда функций, различных по своей значимости. Требования к надёжности выполнения различных функций могут быть различными (например, для функции “расчёт зарплаты” требуется высокая точность, но не требуется жёсткого ограничения времени). Поэтому может оказаться целесообразным задавать различные требования к выполнению различных функций. Примером функциональной надёжности в АСУ может быть надёжность передачи определённой информации в системе передачи данных.
Основные понятия и теоремы теории вероятностей
Надёжность изделия зависит от многочисленного комплекса факторов, определяемых как внутренними свойствами изделия, так и воздействием внешних условий.
Это приводит к тому, что процесс возникновения отказов, а также другие характеристики надёжности носят случайный характер.
Для исследования случайных явлений используются вероятностные методы.
Рассмотрим понятие событие.
Событие - это всякий факт, который в результате опыта может произойти или не произойти.
Примеры событий:
А - появление герба при бросании монеты.
В - попадание в цель при выстреле.
С - отказ изделия.
Д - безотказная работа изделия.
Событие достоверное - если оно обязательно появляется в результате данного опыта.
Невозможное событие - если оно не может появиться в результате данного опыта.
Случайное событие - событие, которое может появиться, а может и не появиться в результате данного опыта.
Вероятность события - это степень возможности появления этого события.
Более вероятными являются те события, которые происходят чаще.
Менее вероятными являются те события, которые происходят реже.
Мало вероятными являются те события, которые почти никогда не происходят.
Достоверному событию можно приписать вероятность, равную единице.
Невозможному событию можно приписать вероятность, равную нулю.
P(A) - вероятность события А.
Рассмотрим последовательность n одинаковых опытов. Предположим, что в результате каждого опыта регистрируется появление или непоявление некоторого события А.
Пусть: m - число появлений события А при n опытах;
n - общее число произведённых опытов.
Здесь - частота события А.
При n .
Частота события при n сходится по вероятности к вероятности этого события .
где E - любое наперёд заданное, сколь угодно малое положительное число.
Классификация событий
Несколько событий в данном опыте образуют полную группу событий, если в результате опыта должно появиться хотя бы одно из них.
Примеры событий, образующих полную группу:
выпадение герба и выпадение цифры при бросании монеты;
появление 1,2,3,4,5,6 очков при бросании игральной кости;
попадание и промах при выстреле;
безотказная работа изделия и отказ изделия.
Несовместные события: несколько событий называются несовместными в данном опыте, если никакие два из них не могут появиться вместе.
Если в данном опыте могут иметь место два несовместных события, то они называются противоположными.
А - событие (безотказная работа изделия )
- противоположное событие (отказ изделия)
Суммой нескольких событий называется событие, состоящее в появлении хотя бы одного из этих событий
;
Произведением нескольких событий называется событие, состоящее в совместном появлении всех этих событий
.
Теорема сложения вероятностей
Вероятность суммы n несовместных событий равна сумме вероятностей этих событий
.
Сумма вероятностей n несовместных событий, образующих полную группу событий, равна единице
;
где - несовместные события, образующие полную группу.
Следствие: Сумма вероятностей двух противоположных событий равна единице
.
Теорема умножения вероятностей
Зависимое событие - это такое событие, вероятность которого зависит от того, произошли или не произошли остальные события.
Независимое событие - это такое событие, вероятность которого не зависит от того, произошли или не произошли остальные события.
Вероятность произведения n независимых событий равна произведению вероятностей этих событий
.
Условная вероятность :
- условная вероятность события А при условии, что событие В имело место.
Вероятность произведения двух событий равна произведению вероятности 1-го события на условную вероятность 2-го события, при условии, что 1-ое событие имело место:
.
Теорема полной вероятности
Пусть требуется определить вероятность некоторого события А, которое может произойти вместе с одним из событий
События образуют полную группу n несовместных событий. Будем называть эти события гипотезами.
Вероятность события А определяется формулой
- формула полной вероятности.
где - вероятность осуществления гипотезы ;
- условная вероятность события А при условии, что событие имело место.
Количественные характеристики надёжности.
Предварительно рассмотрим понятие “случайная величина”.
Случайная величина - величина, которая в результате опыта может принять то или иное значение, причём заранее неизвестно, какое именно.
Примеры случайной величины:
Интервал времени между соседними отказами ЭВМ;
Интервал времени от начала работы изделия до первого отказа или время безотказной работы;
Число деталей, изготовленных рабочим в единицу времени.
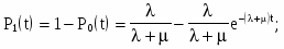
Обозначим через T - время безотказной работы изделия (интервал времени от начала работы изделия до первого отказа). T - случайная величина. Величина T также называется наработка на отказ изделия. t - возможные значения случайной величины T.
Введём понятие “вероятность безотказной работы”.
- вероятность того, что время безотказной работы изделия будет больше или равно некоторому значению t. Другими словами, вероятностью безотказной работы называется вероятность того, что при заданных условиях эксплуатации в течении интервала времени t не возникнет отказа, т.е.система будет работоспособна.
Вероятность отказа:
- вероятность того, что время безотказной работы изделия меньше некоторого заданного значения t.
Другими словами, вероятностью отказа является вероятность того, что в течении заданного времени произойдёт хотя бы один отказ.
Функция представляет собой функцию распределения случайной величины Т.
События В и С несовместные события (в опыте не могут появиться вместе).
А = В + С; P(A) = P(B) + P(С);
откуда
P(С) = P(A) - P(B); P(A) = ; P(B) = ;
P(C) = ;
Следовательно
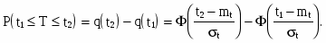
= - ;
или
= - ;
Введём в рассмотрение событие А. Событие А означает, что , т.е. в интервале времени от 0 до t отказа не произойдёт.
Введём в рассмотрение событие . Событие означает, что T < t , т.е в интервале времени от 0 до t произойдёт отказ. События A и являются противоположными, т.к. они образуют полную группу событий. События образуют полную группу, если в результате опыта одно из них обязательно должно произойти.
Из теории вероятностей известно, что сумма вероятностей противоположных событий равна единице, т.е.
P(A) + P;
P(A) = P(T t) ; P= P(T
Следовательно
P(T t) + P(T < t) = 1 или
P(t) + q(t) = 1
Для вероятности безотказной работы справедливо приближённое соотношение
P(t) , где =
Здесь n(t) - число изделий, не отказавших к моменту времени t;
N - Число изделий, поставленных на испытания.
Испытания изделий должны проводиться при одинаковых условиях так, чтобы отказы изделий были независимы друг от друга.
Для вероятности отказа справедливо приближённое равенство
; где .
Здесь N - n(t) - число изделий, отказавших к моменту времени t.
Плотность вероятности f(t) времени безотказной работы T
; - частота отказов.
Здесь - плотность вероятности случайной величины T или частота отказов.
вероятность того, что отказ изделия произойдёт на интервале времени .
Для плотности вероятности времени безотказной работы T справедливо приближённое равенство:
, где - оценка частоты отказов.
Здесь N - число изделий, поставленных на испытания, - число отказавших изделий на участке времени (t, t + t).
1.9 Интенсивность отказов (t)
Рассмотрим вероятность безотказной работы изделия на промежутке времени от до при условии, что изделие до момента времени не отказывало.
Обозначим эту вероятность через .
0 T
Событие А - изделие работало безотказно на интервале времени от 0 до .
Событие В - изделие работало безотказно на интервале времени от до (=+ )
AB - произведение событий А и В. Произведением событий А и В является событие, заключающееся в совместном появлении этих событий.
P(AB) = P(A) P(B/A).
P(B/A) - условная вероятность события B при условии, что событие А произошло (имело место).
P(A) = P(t) - вероятность безотказной работы изделия на интервале времени от 0 до t
P(B/A) = P(AB) / P(A); P(B/A) = P.
Но вероятность P(AB) есть вероятность безотказной работы изделия на интервале
;
т.е. P(AB) = P.
Поэтому
P(.
Вероятность отказа изделия на интервале равна
;
Так как =+ , то
;
;
;
Введём обозначение
; (1.2)
; - интенсивность отказов.
При малом t из (1.1) имеем
.
Отсюда . (1.3)
Из (1.3) видно, что интенсивность отказов представляет собой отношение вероятности отказа на интервале (t, t + t) к длине этого интервала (при малом t).
Из (1.1) имеем
.
Из (1.2) имеем
.
Отсюда ;
или (1.4)
;
или (1.5)
Для практически важного частного случая ; формула (1.4) принимает вид
(1.6)
Формула (1.6) называется экспоненциальным законом надёжности. На практике этот закон ввиду его простоты нашёл широкое применение при расчёте надёжности изделий.
График функции (t):
(t)
1-й участок 2-й участок 3-й участок
0 t
1 - й участок - период приработки изделия.
2 - й участок - период нормальной работы.
3 - й участок - период старения или износа изделия.
Определение интенсивности отказов (t) по результатам испытаний
Интенсивность отказов (t) может быть определена по результатам испытаний. Пусть на испытания поставлено N изделий. Пусть n(t) - число изделий, не отказавших к моменту времени t. Тогда:
;
;
;
где n(t) - число отказавших изделий на интервале времени (t, t + t). Тогда:
или
Числовые характеристики надёжности
Рассмотренные количественные характеристики надёжности являются функциями времени. Для определения этих характеристик на основе опытных данных с достаточной точностью требуется большой объём испытаний. Более просто найти числовые характеристики надёжности. К ним относятся:
среднее время безотказной работы;
дисперсия времени безотказной работы;
Определим среднее время безотказной работы или математическое ожидание случайной величины T. Имеем
Величина также называется средняя наработка на отказ.
Известно, что f(t) = . Тогда:
.
Этот интеграл можно вычислить по частям
;
u = t;
du = dt; v = P(t) ;
;
т.к. P(t) при t убывает быстрее, чем растёт t.
Для экспоненциального закона надёжности имеем:
;
.
Итак, для экспоненциального закона надёжности среднее время безотказной работы есть величина, обратная интенсивности отказов.
Приближённое значение можно определить по формуле , где
Здесь - время безотказной работы i - го изделия; N - общее число изделий, поставленных на испытания.
Определим дисперсию времени безотказной работы. Имеем
;
.
Интеграл берём по частям
;
; v = P(t) ;
;
Для экспоненциального закона надёжности имеем:
;
.
Интеграл берём по частям:
u = t ;
du = dt;
;
;
Дисперсия характеризует степень разброса значений T относительно .
На основании результатов испытаний можно определить приближённое значение дисперсии
;
где .
Характеристики ремонтопригодности
Рассмотрим систему длительного (многократного) использования. В этом случае система после отказа восстанавливается и затем продолжает функционировать.
Время восстановления системы - суммарное время обнаружения и устранения отказов.
зависит от многих факторов, имеющих случайный характер (вид отказа, тип и число отказавших элементов).
- случайная величина.
Ремонтопригодность системы характеризуется следующими вероятностными характеристиками:
вероятность выполнения ремонта в заданное время ;
вероятность невыполнения ремонта в заданное время ;
плотность вероятности времени восстановления ;
интенсивность восстановления ;
среднее время восстановления ;
дисперсия времени восстановления .
Вероятность выполнения ремонта в заданное время - это вероятность того, что отказ изделия будет устранён в течении заданного t
.
Вероятность невыполнения ремонта в заданное время - это вероятность того, что отказ изделия не будет устранён в течении заданного времени t
.
Плотность вероятности времени восстановления равна
.
Событие А - отказ изделия не устранён на интервале времени от 0 до t.
Событие В - отказ изделия не устранён на интервале времени от до .
АВ - произведение событий А и В. Произведением событий А и В является событие, заключающееся в совместном появлении этих событий
P(AB) = P(A) P(B/A).
P(B/A) - условная вероятность события В при условии, что событие А произошло (имело место).
- вероятность того, что отказ изделия не устранён на интервале времени от 0 до t.
P(B/A) = P(AB) / P(A).
Вероятность P(AB) есть вероятность того, что отказ изделия не устранён на интервале
т.е. P(AB) =
- вероятность того, что отказ изделия не устранён на интервале времени при условии, что отказ изделия не был устранён на интервале времени от 0 до t.
Таким образом
;
- вероятность того, что отказ изделия будет устранён на интервале времени при условии, что отказ изделия не был устранён на интервале времени от 0 до t.
.
Пусть ; тогда
;
;
;
.
Таким образом: ; (*)
или:
Из (*) имеем ;
или ;
или ;
;
вероятность выполнения ремонта в заданное время.
При получаем экспоненциальный закон ремонтопригодности
Определим среднее время восстановления :
;
;
;
Это интеграл можно вычислить по частям
u = t;
du = dt;
;
;
-дисперсия времени восстановления
В случае экспоненциального закона ремонтопригодности имеем:
; .
Экспериментальная оценка надёжности изделий
Для решения теоретических и практических задач надёжности необходимо знать законы распределения исходных случайных величин. При оценке надёжности изделий может решаться задача определения по данным эксплуатации или специальных испытаний среднего времени безотказной работы , среднего времени восстановления .
Рассмотрим случайную величину Т - время безотказной работы. При эксплуатации или испытаниях изделий в течении определённого времени случайная величина Т может принять n различных значений. Совокупность этих значений случайной величины Т называется статистической выборкой объёма n. Эта выборка может использоваться для статистической оценки закона распределения случайной величины Т.
Приведём пример статистической выборки для 10 однотипных изделий.
При большом числе n удобнее перейти от статистической выборки к статистическому ряду. Определяем диапазон значений случайной величины Т.
,
где , - максимальное и минимальное значение случайной величины Т.
Этот диапозон R разбивается на интервалы длины
;
где K- количество интервалов. Целесообразно выбирать число интервалов порядка 10 - 20. Обозначим через количество значений случайной величины Т, попавших в интервал i - й длины . Полагаем ; i = 1, 2,…..,K.
Определим частоту попадания в i - й интервал
.
Определяем статистическую плотность вероятности времени безотказной работы Т
.
Результаты сведём в таблицу:
Наглядное представление о законе распределения случайной величины Т дают статистические графики. Из них самые распространённые: полигон, гистограмма, статистическая функция распределения.
Полигон строится следующим образом: на оси абцисс откладываются интервалы , i = 1, 2, …..k , в серединах интервалов строятся ординаты, равные частотам и концы ординат соединяются.
Построение гистограммы: над каждым интервалом , i = 1, 2, …..k строится прямоугольник, площадь которого равна частоте в этом интервале.
Построение статистической функции распределения случайной величины Т. Над каждым интервалом проводится горизонтальная линия на уровне ординаты, равной величине накопленной частоты.
Второй способ построения статистической функции распределения случайной величины Т:
,
где - частота выполнения события .
,
где - число опытов, при которых
Статистическая плотность вероятности и статистическая функция распределения случайной величины Т представляют статистический закон распределения случайной величины Т.
Выравнивание статистического закона распределения случайной величины Т
На практике число опытов n ограничено, и статистический закон распределения является каким-то приближением к теоретическому (истинному) закону распределения случайной величины Т. Стремятся подобрать такую теоретическую кривую, которая бы отражала существенные черты статистического закона распределения и не отражала бы случайностей из-за малого количества данных. Вид закона распределения подбирают из существа задачи, либо по внешнему виду статистического закона распределения.
Будем аппроксимировать статистический закон распределения случайной величины Т экспоненциальным законом распределения f(t).
Для экспоненциального закона распределения имеем
;
.
Нужно определить параметры выбранного закона распределения. Выбранный экспоненциальный закон распределения зависит от одного параметра . Оценку параметра обозначим через . Оценку мы определяем из результатов опытов.
Используем для определения метод моментов; приравниваем теоретические и статистические моменты данного закона распределения. Имеем
.
Здесь - первый теоретический момент. По результатам опытов определяем статистический первый момент . Имеем
;
где -время безотказной работы i - го изделия; n - число опытов или число изделий, поставленных на испытания. Приравниваем эти моменты
или
откуда
Пример 2: из результатов опытов определим i =1, 2, …., k.
Будем аппроксимировать статистический закон распределения случайной величины Т нормальным законом распределения f(t) вида
Нужно определить параметры выбранного закона распределения. Выбранный нормальный закон распределения зависит от двух параметров и . Определим оценки и этих параметров из результатов опытов. Используем для определения и метод моментов. Теоретические моменты закона распределения случайной величины Т:
начальные моменты порядка S определяются соотношением
; S = 1, 2,……;
центральные моменты порядка S определяются формулой
; S = 1, 2, …….
Здесь .
Определим и ( - начальный момент 1 - го порядка; - центральный момент 2 - го порядка). Имеем:
;
;
Таким образом ;
;
По результатам опытов определяем статистические моменты и .
Имеем: ;
.
Приравниваем и , и ; Имеем
= , = ;
или , .
Следовательно ;
.
Для оценки степени расхождения статистического закона распределения с теоретическим законом распределения выбираем меру расхождения, по величине которой можно судить о том, вызвано ли расхождение случайными причинами, или разница между распределениями настолько велика, что выбранный теоретический закон распределения непригоден.
Обозначим меру расхождения через , которая может быть выбрана различными способами.
, где - статистическая функция распределения случайной Т ; q(t) - функция распределения случайной величины Т.
Например:
;
;
где частота попадания случайной величины Т в интервал , i = 1, 2, …., K;
- вероятность попадания случайной величины Т в интервал , i = 1, 2, …..K.
Чем меньше , тем лучше согласуется статистический закон распределения с теоретическим законом распределения.
Выдвигаем гипотезу H о том, что выбранный нами закон распределения случайной величины Т не противоречит статистическому закону распределения. На основании имеющегося статистического материала следует проверить эту гипотезу H. Широко используются два критерия проверки гипотезы H: критерий Пирсона и критерий Колмогорова.
Критерий Пирсона
Разбиваем полученные в опытах значения Т на k интервалов:
k - число интервалов. Выдвигаем гипотезу H о том, что выбранная теоретическая плотность вероятности случайной величины Т есть функция f(t).
В качестве величины выбираем величину , определяемую по формуле
;
где n - число опытов (число отказов);
- частота попадания случайной величины Т в интервал ;
- количество значений случайной величины Т, попавших в интервал ;
- вероятность попадания случайной величины Т в интервал ;
;i = 1, 2, …., K;
- это случайная величина.
Можно доказать, что если верна гипотеза Н, то при распределение величины независимо от вида функции f(t) стремится к распределению с числом степеней свободы
; где K - число интервалов, r - число параметров функции f(t), оцениваемых по результатам опытов, по результатам статистической выборки объёма n.
Т.о. при
;
Пусть - такое число, что можно считать практически невозможным осуществление события с такой вероятностью .
Если то .
маловероятное событие для гипотезы Н.
Т.о, в этом случае гипотеза Н отклоняется, т.е выбранная теоретическая плотность вероятности не согласуется с результатами опытов.
Область Область
- область принятия гипотезы Н (выбранная теоретическая плотность вероятности согласуется с результатами опытов).
- область отклонения гипотезы Н.
, n - порядка сотен.
Критерий Колмогорова
Критерий Пирсона можно применять как для непрерывных, так и для дискретных случайных величин. Критерий Колмогорова применяется только для непрерывных случайных величин.
При использовании критерия Колмогорова сравниваются статистическая функция распределения случайной величины Т и выбранная теоретическая функция распределения q(t). Предполагается, что значения параметров функции q(t) известны.
Если параметры теоретической функции распределения q(t) неизвестны, то вместо параметров могут использоваться оценки этих параметров, полученные по результатам опытов, т.е. по статистической выборке. В этом случае принимают .
Определяем
.
Определяем величину
;
- случайная величина.
Выдвигаем гипотезу Н о том, что выбранная нами теоретическая функция распределения не противоречит статистической функции распределения .
Колмогоров доказал следующую теорему.
Если верна гипотеза Н, то при независимо от вида функции q(t) случайная величина имеет функцию распределения вида
;
тогда
.
Методика проверки гипотезы Н по критерию Колмогорова:
определяем статистическую функцию распределения ;
определяем ;
для заданного определяем по таблице распределения Колмогорова.
Если , то проверяемая гипотеза Н отклоняется, т.е. выбранная теоретическая функция распределения q(t) не согласуется (противоречит) статистической функции распределения .
Если < , то проверяемая гипотеза Н принимается, т.е. теоретическая функция распределения q(t) не противоречит функции распрделения .
Область Область
- область принятия гипотезы Н,
- область отклонения гипотезы Н.
Законы распределения отказов и их основные характеристики
Рассмотрим законы распределения случайной величины Т, где Т - время безотказной работы изделия до первого отказа (время наработки на отказ).
Экспоненциальный закон надёжности
При экспоненциальном законе распределения времени безотказной Т интенсивность отказов является постоянной, т.е.
.
Выпишем формулы по которым определяются количественные характеристики надёжности.
Экспоненциальный закон надёжности справедлив для описания внезапных отказов, когда изделие не успевает ещё износиться, т.е. не стареет.
Для экспоненциального закона вероятность безотказной работы на каком-то интервале времени не зависит от прошедшего времени, а зависит от .
.
Здесь - вероятность безотказной работы изделия на интервале времени при условии, что на интервале времени (0, t) изделие работало безотказно.
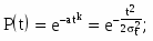
Нормальный закон распределения
Он характеризует вероятность отказа при длительном изменении характеристик изделия (старение, износ). Нормальный закон распределения характеризует распределение времени безотказной работы изделия при возникновении отказов из-за износа и старения.
Плотность распределения времени безотказной работы Т изделия равна:
,
где , - параметры закона распределения.
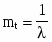
- среднее значение случайной величины Т;
- дисперсия случайной величины Т;
Имеем
;
Для нормального закона распределения q(t) примет вид
.
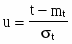
Введём новую переменную:
;.
Если , то .
Следовательно
.
Введём в рассмотрение нормированную функцию Лапласа
, ,
.
Свойства функции Лапласа
Запишем q(t) в виде
;
; .
Определим вероятность безотказной работы изделия в интервале времени
Определим интенсивность отказов . Имеем
Определим - время безотказной работы изделия на интервале времени при условии, что на интервале времени изделие работало безотказно. Имеем
;
Закон распределения Вейбулла
Для распределения Вейбулла плотность распределения времени безотказной работы Т изделия имеет вид
;
здесь а и k - параметры закона распределения Вейбулла.
Определим q(t). Имеем
Введём новую переменную x вида
;
Определим P(t). Имеем
;
Определим . Получим
Определим среднее время безотказной работы. Имеем
Введём новую переменную u вида
;
если t = 0, то u = 0.
если t = , то u = .
- гамма - функция
Определим дисперсию времени безотказной работы Т.
Имеем
Введём новую переменную u вида
если t = 0, то u = 0. ;
если t = , то u = .
Известно следующее соотношение для гамма - функции.
Следовательно .
Тогда
Рассмотрим случай, когда k = 1; a = .
В этом случае имеем .
Т.е. в этом случае имеем экспоненциальный закон надёжности.
Пусть k = 2. В этом случае имеем закон Рэлея. Закон Вейбулла лучше описывает время безотказной работы изделия, чем экспоненциальный закон, т.к. в этом случае имеется два параметра: a и k. Пусть k = 2; Тогда имеем ;
- закон распределения Рэлея.
;
;
;
;
Виды соединения элементов в систему
Последовательное соединение.
Паралельное соединение.
Последовательное соединение элементов в систему
Соединение элементов называется последовательным, если отказ, хотя бы одного элемента приводит к отказу всей системы. Система последовательно соединённых элементов работоспособна тогда, когда работоспособны все её элементы.
Рассчитаем надёжность системы при последовательном соединении элементов в систему. Рассчитать надёжность системы - это значит по заданным количественным характеристикам надёжности элементов определить количественные характеристики надёжности системы.
Рассмотрим события , i = 1, 2, ……….,n.
Событие означает безотказную работу элемента i за время t.
Считаем, что события независимые, т.е. вероятность события P() не зависит от события , j i.
В этом случае элементы системы называются независимыми в смысле надёжности.
Рассмотрим событие А.
Событие А означает безотказную работу системы из n последовательно соединённых элементов за время t.
Событие А имеет место, если одновременно выполняются события , i = 1, 2, ……….,n. Следовательно событие А равно произведению событий , т.е.
….
Из теории вероятностей известно, что в этом случае
……...
Обозначим - вероятность безотказной работы системы за время t.
- вероятность безотказной работы i - го элемента за время t.
Откуда ……….
Т.о., вероятность безотказной работы системы за время t равна произведению вероятностей безотказной работы за время t элементов системы.
В частном случае, когда все элементы системы одинаковы, имеем
Выразим вероятность безотказной работы элементов через их интенсивность отказов
. Имеем
; i = 1, 2, …, n
Запишем формулы для определения вероятности безотказной работы системы . Имеем
или
где
Здесь - интенсивность отказов системы.
Т.о., при последовательном соединении элементов их интенсивность отказов складывается, и интенсивность отказов системы есть сумма интенсивностей отказов элементов системы.
Вероятность отказа системы на интервале времени (0, t) равна
или
Интенсивность отказов системы
Среднее время безотказной работы системы
В случае экспоненциального закона надёжности всех элементов имеем:
;
;
;
;
Т.о. закон распределения времени безотказной работы системы является экспоненциальным.
Определим среднее время безотказной работы системы. Имеем
;
Параллельное соединение элементов в систему
1 Здесь отказ всего соединения элементов наступает только тогда, когда отказывают все входящие в соединения элементы.
Рассмотрим события , j = 1, 2, ……. m .
2 Событие означает отказ элемента j. Считаем, что события …….. - независимые, т.е. вероятность появления события P() j не зависит от события , i j. В этом смысле элементы соединения называются независимыми в смысле надёжности.
Рассмотрим событие В.
m Событие В означает отказ всех входящих в соединение элементов. Событие В имеет место, если одновременно выполняются события , j = 1, 2,………, m. Следовательно, событие В равно произведению событий , т.е.
Из теории вероятностей известно, что в этом случае
Обозначим
- вероятность отказа системы;
- вероятность отказа j - го элемента.
Откуда
или
Т.о., вероятность отказа системы паралельно соединённых элементов равна произведению вероятностей отказов всех элементов этого соединения.
Вероятность безотказной работы системы
или
Классификация методов резервирования
Резервирование - это способ повышения надёжности системы путём введения в систему избыточных элементов.
Систему с избыточными элементами называют резервированной.
По способу включения в систему резервных элементов различают постоянное резервирование и резервирование замещением.
Схема постоянного резервирования
Э0 При постоянном резервировании резервные элементы соединены параллельно с основными элементами в течении всего времени работы и находятся в одинаковых условиях Э1 работы с основными элементами.
Все элементы соединены постоянно, перестройка схемы при отказах элементов не происходит, отказавший элемент не отключается.
Эm Плюсы постоянного резервирования - простота, отсутствие перерывов в работе, возможных при других способах резервирования.
Недостатки постоянного резервирования - повышенный расход ресурса резервных элементов, так как резервные элементы находятся в рабочем нагруженном режиме.
При резервировании замещениием отключается основной элемент и включается резервный элемент. Эта операция может выполняться автоматически или вручную.
Схема резервирования замещением
В зависимости от использования резервных элементов до Э0 момента их включения в работу различают три типа режимов резервирования:
1) Режим нагруженного (горячего) резерва;
2) Режим облегченного (тёплого) резерва;
3) Режим ненагруженного (холодного) резерва;
Режим нагруженного (горячего) резерва.
В этом случае резервные элементы находяться в том же режиме, что и основной элемент. Надёжность резервного элемента совпадает с надёжностью основного элемента.
Режим облегченного (тёплого) резерва.
В этом случае резервные элементы находятся в облегченном режиме до момента их включения в работу. Надёжность резервного элемента в этом случае выше надёжности основного элемента.
Режим ненагруженного (холодного) резерва.
В этом случае резервные элементы находяться в выключенном состоянии до момента их включения в работу вместо основного элемента.
Заметим, что при способе постоянного резервирования резервные элементы находятся только в режиме нагруженного резерва. При резервировании замещением резервные элементы могут находиться в любом из трёх режимов.
Резервирование замещением требует дополнительных устройств для контроля состояния элементов, выключения отказавших элементов и включения резервных элементов.
Эта группа устройств называется переключателями.
Переключатели обладают некоторой ненадёжностью. Поэтому при оценке надёжности системы надо учитывать это факт.
Резервирование называется общим, если резервируется вся система.
Схема общего резервирования
Резервирование называется раздельным (поэлементным), если резервируются отдельно элементы системы.
Схема раздельного резервирования
Расчёт надёжности системы с постоянным резервированием
При постоянном резервировании резервные элементы 1,2,…..,m соединены параллельно с основным (рабочим) элементом в течении всего периода работы системы. Все элементы соединены постоянно, перестройка схемы при отказах не происходит, отказавший элемент не отключается.
Определим вероятность отказа системы.
Вероятность безотказной работы системы.
.
Будем называть элементы системы равнонадёжными, если
j = 0, 1, ……, m
Для равнонадёжных элементов имеем
.
При экспоненциальном законе надёжности отдельных элементов имеем
.
Тогда
; .
Определим среднее время безотказной работы резервированной системы
.
Введём новую переменную x вида ;
Если t = 0, то x = 0;
Если t = , то x = 1;
В результате получим
Запишем формулу для определения суммы n членов геометрической прогрессии
где - первый член суммы; - n - ый член суммы; q - знаменатель прогрессии;
(); .
Выражение
есть сумма n членов геометрической прогрессии, где q = x; n = m + 1;
Следовательно
;
где - среднее время безотказной работы нерезервированной системы. Введём обозначение
;
Для разных значений m имеем
m = 0; = 1;
m = 1; = 1,5;
m = 2; = 1,83.
Результаты сведём в таблицу
По данным таблицы строим график зависимости от m.
Расчёт надёжности системы с постоянным общим резервированием
Резервирование называется общим, если резервируется вся система, состоящая из последовательного соединения n элементов.
Основная цепь содержит n элементов.
Число резервных цепей равно m, кратность резервирования равна m. Общее число резервных элементов равно mn.
Определим количественные характеристики надёжности в случае постоянного включения резервных цепей.
Введём обозначения
i = 1, 2, ……..,n - вероятность безотказной работы элемента Эio ;
j = 1, 2, ……..,m; i = 1, 2, …….,n - вероятность безотказной работы элемента Эij.
Запишем вероятность безотказной работы j - ой цепи
j = 0, 1, ……,m (1.7)
Вероятность отказа j - ой цепи
(1.8)
Определим вероятность безотказной работы системы
(1.9)
Подставим (1.7) в (1.9). Получим
Определим вероятность безотказной работы системы
Частный случай: основная и резервные цепи имеют одинаковую надёжность, т.е.
Тогда
;
;
Рассмотрим экспоненциальный закон надёжности, т.е.
Тогда ;
или
- интенсивность отказов цепи, состоящей из n элементов.
Вероятность безотказной работы системы.
Определим интенсивность отказов системы
;
;
Определим среднее время безотказной работы резервированной системы
где - среднее время безотказной работы нерезервированной системы.
Т.о. с увеличением кратности резервирования m среднее время безотказной работы растёт, но очень медленно. Наибольший прирост наблюдается при переходе от нерезервированной системы к резервированной с кратностью m = 1.
Расчёт надёжности системы с постоянным поэлементным резервированием
При поэлементном резервировании резервируются отдельно элементы системы.
Определим количественные характеристики надёжности системы.
Введём обозначения:
i = 1, 2, ……..,n - вероятность безотказной работы элемента Эio на интервале времени (0, t);
j = 1, 2, ……..,m; i = 1, 2, …….,n - вероятность безотказной работы элемента Эij на интервале времени (0, t).
Запишем вероятность отказа i - й группы.
Имеем
i = 1, 2, …….,n.
Запишем вероятность безотказной работы i - ой группы. Имеем
Запишем вероятность безотказной работы системы с поэлементным резервированием
или
Для равнонадёжных элементов системы имеем:
Режим облегченного (тёплого) резерва
Рассмотрим случай, когда время безотказной работы всех элементов изделия подчиняется экспоненциальному закону распределения. В этом случае процессы, характеризующие работу изделия являются марковскими. Для определения характеристик надёжности можно использовать математический аппарат теории марковских случайных процессов.
В режиме облегченного резерва резервные элементы находятся в режиме недогрузки до момента их включения в работу. Пусть 1 - интенсивность отказа резервного элемента в режиме недогрузки до момента их включения в работу. 0 - интенсивность отказа резервного элемента в состоянии работы.
Введём в рассмотрение состояния ,
S0 - основной элемент исправен и работает, m резервных элементов исправны и находятся в режиме недогрузки.
S1 - основной элемент отказал, работает 1 - ый резервный элемент, (m - 1) резервные элементы исправны и находятся в режиме недогрузки.
S2 - отказал 1 - ый резервный элемент, работает 2 - ой резервный элемент, (m - 2) резервных элементов исправны и находятся в режиме недогрузки.
Si - отказал i - й резервный элемент, работает i - й резервный элемент, (m - i ) резервных элементов исправны и находятся в режиме недогрузки.
Sm - отказал (m - 1) - ый элемент, работает m - ый резервный элемент.
Sm+1 - отказал m -ый резервный элемент.
Запишем систему дифференциальных уравнений Колмогорова. Для этого введём обозначения:
P0(t) - вероятность нахождения резервированной системы в момент времени t в состоянии S0.
Pi(t) - вероятность нахождения резервированной системы в момент времени t в состоянии Si , i = 0, 1, ….., m, m + 1.
;
………………………………………………….
………………………………………………….
.
Начальные условия:
.
Применим к системе дифференциальных уравнений Колмогорова преобразование Лапласа. Получим систему линейных алгебраических уравнений вида: Pi(t) - оригинал
Pi(S) - изображение по Лапласу
i = 0, 1, ……, m +1
…………………………………………….
…………………………………………….
Решая систему уравнений получим
Найдём оригинал . Имеем
где
Здесь - вероятность отказа резервированной системы с облегченным резервированием.
Определим вероятность безотказной работы системы с облегченным резервированием. Имеем:
Определим среднее время безотказной работы системы с облегченным резервированием. Имеем:
Формула бинома Ньютона
где
При a = 1 имеем:
Выполнив преобразование, получим:
где .
Определим частоту отказов резервированной системы. Имеем
;
или
Определим интенсивность отказов резервированной системы. Имеем
1.23 Режим нагруженного резерва
Облегченное резервирование занимает промежуточное положение между нагруженным и ненагруженным резервированием .
При 1 = 0 имеем режим нагруженного резерва .
В этом случае
Определим частоту и интенсивность отказов в режиме нагруженного резерва. Имеем:
Режим ненагруженного резерва
При имеем режим ненагруженного резерва.
В этом случае
Найдём оригинал . Имеем
Определим вероятность безотказной работы системы с ненагруженным резервом. Имеем:
Определим среднее время безотказной работы системы с ненагруженным резервом.
где - эйлеров интеграл второго рода.
Известно, что
Тогда
Для гамма - функции справедливы соотношения
Следовательно
Тогда
Получим формулу для частоты отказов . Имеем
.
Таким образом
Определим интенсивность отказов . Имеем
или
1.25 Основные количественные характеристики надёжности при поэлементном резервировании замещением
1 2 i n
Здесь n - число элементов основной (резервируемой) системы; m - кратность резервирования; i - интенсивность отказов элемента i - го типа основной системы.
Вероятность безотказной работы системы вычисляется по формуле
где - вероятность безотказной работы элемента i - го типа резервированного по способу замещения.
Холодный резерв
Тёплый резерв
где ;
Здесь - интенсивность отказа резервного элемента i - го типа в режиме недогрузки до момента включения его в работу:
Холодный резерв
Тёплый резерв
1.26 Анализ надёжности систем при резервировании с дробной кратностью и постоянно включенным резервом
Определим количественные характеристики надёжности при постоянно включенном резерве. Резервированная система состоит из отдельных систем. Для её нормальной работы необходимо, чтобы исправными были не менее чем h систем. Кратность
1 0 резервирования такой системы равна:
2 0
3 0 Допущения:
1) Отказы элементов удовлетворяют условиям простейшего потока случайных событий;
2) Переключающие устройства идеальны.
3) Основные и все резервные системы равнонадёжны.
Эти допущения означают, что для любой отдельно взятой системы справедлив экспоненциальный закон надёжности, причём все резервные элементы находятся в рабочем состоянии с момента включения резервированной системы в работу.
Резервированная указанным способом система будет работать нормально при следующих возможных ситуациях:
- ни одна из систем не отказала
- отказала одна система
- отказали две системы
- отказали - h систем
Принимая указанные ситуации за гипотезы, вероятность безотказной работы можно записать в виде (1.10)
где - гипотеза, заключающаяся в том, что резервированная система работает исправно при отказе i - любых систем; P() - вероятность появления гипотезы ; - h - число резервных систем.
Отказы отдельных систем являются событиями независимыми, происходящими при одинаковых условиях работы отдельных систем. В этом случае к приведённым гипотезам применима частная теорема о повторении опытов, и вероятности гипотез подчинены биномиальному распределению:
(1.11)
где P0 - вероятность безотказной работы одной системы; - вероятность отказа одной системы.
Подставляя (1.11) в (1.10), получим
(1.12)
Так как
то (1.13)
Или (1.14)
где - вероятность безотказной работы резервированной системы.
При принятых допущениях
где - интенсивность отказов любой одной из систем.
Определим среднее время безотказной работы системы.
Имеем:
Введём обозначение
.
Определим J. Имеем:
Тогда выражение для определения примет вид:
.
Или (1.15)
Получим выражение частоты отказов . Имеем
(1.16)
Получим выражение интенсивности отказов системы . Имеем
(1.17)
2. НАДЁЖНОСТЬ РЕМОНТИРУЕМЫХ (ВОССТАНАВЛИВАЕМЫХ) ИЗДЕЛИЙ
Надёжность системы с восстановлением
Восстанавливаемую систему целесообразно рассматривать как систему массового обслуживания, в которой поток заявок на обслуживание представляет собой поток отказов аппаратуры. Каналами обслуживания являются ремонтные бригады, восстанавливающие работоспособность аппаратуры.
Будем считать, что поток заявок на обслуживание - пуассоновский.
Поток восстановлений - также пуассоновский.
В этом случае для анализа надёжности восстанавливаемой системы можно использовать теорию марковских случайных процессов.
Имеем нерезервированную восстанавливаемую систему, состоящую из одного элемента. Система находится под действием пуассоновского потока отказов с интенсивностью . После отказа система начинает немедленно восстанавливаться (ремонтироваться). Поток восстановлений - пуассоновский с интенсивностью .
В любой момент времени система может находиться в одном из двух состояний:
- состояние работоспособности,
- состояние отказа (ремонта),
- вероятность нахождения системы в состоянии ,
- вероятность нахождения системы в состоянии .
Требуется определить функцию готовности и функцию простоя нерезервированной восстанавливаемой системы.
Функция готовности совпадает с вероятностью работоспособного состояния , т.е.
=.
Функция простоя совпадает с вероятностью отказа, т.е.
= .
Составим систему дифференциальных уравнений Колмогорова. Имеем
(2.1)
Предположим, что при t = 0 система находилась в работоспособном состоянии , т.е.
Для любого момента времени t имеем
(2.2)
Из двух уравнений (2.1) одно является лишним, т.к. и связаны соотношением (2.2). Учитывая это, отбросим второе уравнение, а в первое уравнение вместо подставим 1 - . Имеем:
или (2.3)
Будем искать решение уравнения при ненулевых начальных условиях.
Запишем решение уравнения (2.3). Имеем:
или
Таким образом
Определим . Имеем:
Таким образом:
При длительной эксплуатации, т.е. при t имеем:
где - коэфициент готовности системы, - коэфициент простоя системы.
Учитывая, что
, .
где - среднее время безотказной работы системы;
- среднее время восстановления (ремонта) системы,
имеем
;
, ;
Таким образом, коэффициент готовности характеризует долю времени, в течении которого система работоспособна. Коэффициент простоя характеризует долю времени, в течении которого система ремонтируется.
Определим коэффициент готовности и коэффициент простоя системы, содержащей основной и n - 1 резервных элементов, находящихся в нагруженном режиме. Отказавшие элементы образуют очередь на ремонт, который осуществляется одной бригадой с интенсивностью . Интенсивность отказа любого элемента равна .
Введём в рассмотрение состояния , , ………., :
- работоспособны все n элементов
- отказал один элемент, остальные работоспособны
- отказали два элемента, остальные исправны
- отказали i элементов, остальные исправны
…………………………………………………….
- отказала вся система, т.е. отказали все n элементов.
Построим граф состояния системы.
Составим систему дифференциальных уравнений Колмогорова. Имеем:
……………………………………….
где - вероятность нахождения системы в момент времени t в состоянии , i = 0,1…, n
В установившемся режиме имеем:
;
;
В результате получим систему алгебраических уравнений вида:
Из системы алгебраических уравнений имеем:
Для вероятностей состояний справедливо следующее соотношение
;
Определим . Имеем:
.
;
или
Отсюда
Коэффициент готовности:
НАДЁЖНОСТЬ ПРОГРАММНОГО ОБЕСПЕЧЕНИЯ
Исследования в области программной надёжности находятся на начальном этапе своего развития.
Целесообразно выделить две стороны программного обеспечения объекта: программную надёжность объекта - свойство объекта выполнять заданные функции, обусловленные качеством программного обеспечения; надёжность программного обеспечения - свойство программного обеспечения выполнять предписанные ему требования.
Программная надёжность изделия проявляется при совместной работе аппаратуры и программы. Она характеризует способность изделия выполнять заданные функции при условии, что программа будет находиться в том или другом состоянии.
Надёжность программного обеспечения характеризует качественное состояние программы. Её иногда называют правильностью программы, корректностью программы, надёжностью программы.
Программная надёжность объекта - это то, что интересует его потребителя. Для её обеспечения необходимо, чтобы программа была “правильной”, “корректной”, “надёжной”, т.е. чтобы она не содержала ошибок. Может оказаться, что некоторые из ошибок совсем не проявятся при работе объекта или, наоборот, при работе объекта обнаружатся дополнительные несовершенства (“ошибки”) программы. Однако очевидно, что необходимым условием надёжной работы объекта является “корректность” программ, т.е. отсутствие в них ошибок.
Программная надёжность становится особо актуальной, когда программы являются самостоятельным изделием. В этом случае они изготовляются, проверяются и подвергаются приёмосдаточным испытаниям так же, как обычные объекты.
Положения о двух сторонах надёжности программного обеспечения полезно иметь в виду при исследовании надёжности программно-управляемых объектов.
Сравнительные характеристики программных и аппаратурных отказов
Программные отказы изделия и аппаратурные отказы имеют много общего, но во многом существенно различаются. Общее между ними:
а) невыполнение объектом заданных функций;
б) времена до отказов и времена устранения отказов носят случайный характер;
в) методы обработки статистических данных об отказах одинаковы, а потому статистические оценки показателей надёжности аппаратурной и программной, полученные по результатам испытаний и эксплуатации, могут быть одинаковыми по своему названию: средняя наработка объекта на программный отказ, интенсивность программных отказов объекта и т.д. Возможны и объединённые (комплексные) оценки: средняя наработка объекта на программный и аппаратурный отказ и т.п.
Вместе с тем отказы программные существенно отличаются от отказов аппаратурных:
а) отказ аппаратурный зависит либо от времени, либо от объёма выполненной работы, а отказ программный - от той функции, которую выполняет изделие под управлением программы (точнее, от того, с какой вероятностью программа выйдет на такой участок, который содержит ошибку);
б) обнаружение и устранение аппаратурного отказа (заменой отказавшего элемента исправным) не означает, что такой же отказ не повторится при дальнейшей работе изделия, а обнаружение и устранение отказа программного (исправление программы) означает, что такой отказ в дальнейшем не повторится;
в) программный отказ, обнаруживаемый при автономной проверке программы, может переходить в разряд недействующих, если состояние аппаратуры делает её нечувствительной к данному виду программного отказа. Например, если в программе ошибочно не предусмотрена программная защита от аппаратурного сбоя, то это программный отказ, но если при этом в аппаратуре не возникает сбоя, то отказ программный становится недействующим;
г) прогнозировать возникновение аппаратурных отказов сравнительно легко, а прогнозировать возникновение отдельных программных отказов трудно, а часто и невозможно. Для отдельных программных отказов трудно предвидеть время, когда они становятся действующими, а когда-недействующими;
д) аппаратурные отказы целесообразно подразделять на внезапные и постепенные, т.е. отказы, различные по своей физической природе, законам распределения времени до отказа, методам борьбы за снижение их вероятности. Программные отказы нет смысла делить на внезапные и постепенные. Они возникают внезапно, как только программа переходит на такой участок, который содержит “ошибку”. В то же время они по природе своей не совпадают с внезапными аппаратурными отказами. Вероятность их возникновения не связана с продолжительностью работы изделия, а связана с условной вероятностью того, что программа содержит ошибку в данной части программы, и вероятностью того, что изделие будет работать под управлением этой части программы.
Проверка и испытания программ
Испытания программ на надёжность и испытания изделий на надёжность их программного обеспечения - обязательные этапы при проверке надёжности систем.
Испытания с целью проверки надёжности программ осуществляются с помощью специальных программ (тестирование) и специальных (имитационных) стендов. Проверяется при этом степень отработанности программы и её соответствие заданным требованиям.
Испытания с целью проверки надёжности изделий, работающих под управлением программ, осуществляются при совместной работе программы и изделия. Проверяются при этом и степень отработанности программы в соответствии с заданными требованиями, и корректность этих требований, и согласованность взаимодействий программы и аппаратуры.
Степень отработанности программы может проверяться различными методами. Чем выше требование к достоверности проверки, тем более сложен метод проверки.
Рассмотрим один из наиболее простых методов. В процессе проверки “корректности” программы (с помощью наблюдений за работой либо изделия, либо имитирующего устройства, либо на специальном стенде с помощью тестов) фиксируются времена обнаружения ошибок в программе. Результаты проверки обрабатываются при следующих предположениях: 1) ошибки программы независимы. Каждый раз после обнаружения они устраняются и в дальнейшем не проявляются. 2) интенсивность ошибок уменьшается по мере их обнаружения и устранения (ступенчато, как показано на рисунке 3.1).
Выявление и устранение ошибок производится до тех пор, пока значение будет меньше заданного значения. Заданное значение назначается с учётом требований к надёжности изделия. Ориетировочно можно исходить из того, что интенсивность программных ошибок, приводящих к отказу, на этапе отладочных испытаний должна быть не больше интенсивности аппаратурных отказов.
Положение о том, что при создании программного обеспечения больших систем возможно возникновение ошибок и что выявление программных ошибок - чрезвычайно трудная задача, не только не должно обезоруживать разработчиков систем, а наоборот, должно ориентировать их на максимальное сосредоточение сил для ликвидации программных отказов.
Влияние программных ошибок на надёжность изделия должно непрерывно уменьшаться с каждым новым этапом освоения программ (разработка - отладка - опытная эксплуатация - нормальная эксплуатация) так, чтобы на этапе нормальной эксплуатации объекта программная надёжность его была на уровне заданных требований.
Основные проблемы исследования надёжности программного обеспечения
В сложной программно - управляемой технической системе любого типа можно выделить две основные, относительно независимые части.
Совокупность автономно, паралельно работающих технических схем и устройств - аппаратная часть.
Совокупность программ, ориентированных на решение данного комплекса задач, представляющих математическое обеспечение технической системы и образующих её программную часть (операционная система и рабочие программы пользователей).
При общем анализе характеристик технической системы (её надёжности) следует учитавать, что если аппаратная часть жестко задана, неизменна и её надёжность может быть обеспечена на требуемом уровне, то программная часть в каждом отдельном случае может иметь ряд модификаций, является достаточно гибкой, изменяемой частью технической системы и в обеспечении совокупной надёжности системы определяет наибольшее количество ошибок. Авторы [19] считают, что в настоящее время около половины отказов сложных вычислительных систем обусловлено ошибками программ, а с ростом надёжности элементной базы (ИС, БИС) число откзов, связанных с математическим обеспечением, возрастает до 90% от общего числа отказов.
К основным проблемам исследования надёжности программного обепеспечения (ПО) относится:
Разработка методов оценки и прогнозирования надёжности ПО на основе совокупности количественных показателей и характеристик, идентичных показателям аппаратурной надёжности.
Определение факторов, влияющих на достижение заданного уровня надёжности ПО.
Разработка методов, обеспечивающих достижение заданного уровня надёжности ПО.
Совершенствование методов повышения надёжности ПО в процессе проектирования и эксплуатации.
Эффективный способ повышения надёжности ПО - использование методов структурного проектирования программ, так как в зависимости от структуры ПО последствия отдельных ошибок могут быть легко обнаружены, локализованы и исправлены на некотором небольшом участке программы либо распространиться на другие уровни и модули ПО.
Критерии оценки надёжности программных изделий
Всё множество различных показателей надёжности программных систем можно разбить на две большие группы:
Количественные показатели надёжности ПО.
Качественные показатели надёжности ПО.
Не рассматривая качественные характеристики надёжности, которые достаточно подробно исследованы в [20, 21], остановимся более подробно на возможности использования количественных показателей для оценки и прогнозирования надёжности ПО.
Наиболее удобно в качестве таких показателей использовать статистические (вероятностные) критерии хорошо разработанной теории надёжности радиоэлектронной аппаратуры. Следует учитывать, что оценка надёжности ПО на основе статистической теории надёжности аппаратуры возможна в пределах некоторых ограничений, учитывающих специфику ПО как определённого вида продукта человеческого труда.
Можно выделить следующие характеристики и количественные показатели надёжности ПО:
Безотказность. Говоря о безотказности ПО, характеризующей способность ПО выполнять заданные функции в заданных условиях эксплуатации технической системы, будем считать, что отказ программы - это результат проявления скрытой ошибки. Следует иметь в виду, что входные данные и данные создаваемые программой, не являются элементами ПО, поскольку их надёжность связана с работой внешних устройств и аппаратной части системы. Только константы, вводимые программистом, считаются частью ПО.
Для невосстанавливаемых в ходе эксплуатации программ обобщённой характеристикой надёжности (безотказности) является вероятность безотказной работы P(t), характеризующая вероятность того, что за время t отказа не произойдёт:
P(t) = P(T t) = 1 - q(t); (3.2)
где T - время работы ПО до отказа или наработка ПО до отказа (T - случайная величина); q(t) - вероятность отказа ПО.
Из (3.2) можно определить функцию интенсивности отказов:
; (3.3)
Среднее время наработки до наступления отказа (среднее время безотказной работы) определяется как математическое ожидание временного интервала между двумя последовательными нарушениями работоспособности ПО:
(3.4)
Для экспоненциального закона распределения отказов:
; (3.5)
Поскольку программы имеют явно выраженные производственные циклы работы, то наработка программы может быть выражена либо через календарное время, либо через машинное время, либо через количество отработанных операторов, решённых задач и т.п.
Один из способов оценки - наблюдение за поведением программы в определённый временной период. Тогда величину среднего времени между отказами (сбоями) ПО можно определить так:
(3.6)
где H - общее количество часов успешного прогона программы, определяемое по формуле:
; (3.7)
где - время непрерывного прогона в часах безошибочной работы ПО;
n - общее количество прогонов ПО; r - количество прогонов ПО без ошибок; l = n -r - количество прогонов с ошибками; - время прогона в часах до проявления ошибки ПО.
Полагая количество ошибок постоянным, можно вычислить интенсивность отказов ПО, приведённую к одному часу работы , и среднее время между соседними отказами ПО.
(3.8)
(3.9)
Классифицируя отказы ПО по видам отказов - аппаратные, программные, оператора и т.д., можно определить частные (взвешенные) интенсивности отказов по соответствующим видам ошибок - ап, пр, оп и т.д., а общая надёжность определяется как сумма таких интенсивностей. Такой подход может значительно облегчить сбор статистических данных по соответствующим видам отказов на основе независимого анализа программных изделий различных типов.
В случае, если в ходе эксплуатации возможна корректировка ПО или восстановление программы после отказа, вызванного действием помех (сбоев) от внепрограммных источников, а время восстановления достаточно мало по сравнению с временем между отказами или сбоями, обобщающей характеристикой безотказности ПО является интенсивность потока отказов во времени .
; (3.10)
; (3.11)
где H(t) - среднее число отказов за время t; - среднее время наработки между двумя отказами.
Для программ, время корректировки которых сравнимо с временем между отказами, обобщающей характеристикой безотказности является функция коэффициента готовности в зависимости от времени. Показатель готовности характеризует вероятность застать систему в заданный момент времени в работоспособном состоянии.
Устойчивость. Устойчивость ПО определяет способность системы выполнять заданные функции в условиях действия помех (ошибок, сбоев, отказов), возникающих во внепрограммных источниках (техническое обеспечение, исходные данные). При оценке устойчивости ПО должны быть заданы параметры окружающей среды, по отношению к которой оценивается устойчивость программ.
Показатели устойчивости - это показатели безотказности, но с использованием условных вероятностей. Условием, при котором вычисляются вероятности, является отказ (сбой) в программе или аппаратуре.
Для невосстанавливаемых (некорректируемых) программ обобщённым показателем устойчивости служит условная вероятность безотказной работы:
(3.12)
где P(A) - вероятность ошибки (сбоя) программы или отказа аппаратуры.
Безотказность и устойчивость - динамические характеристики, то есть они характеризуют надёжность ПО в процессе работы.
Корректируемость. Этот показатель надёжности ПО аналогичен показателю ремонтопригодности радиоэлектронной аппаратуры, характеризует приспособленность ПО к поиску и устранению ошибок и внесению в него изменений в ходе эксплуатации. Он используется для характеристики восстанавливаемых в ходе эксплуатации программ. Показатели корректируемости: время корректировки , вероятность корректировки программы за заданное время , коэффициент готовности , параметр потока корректировок .
Защищённость и долговечность. Дополнительными характеристиками надёжности ПО являются: показатель защищённости от посторонних вмешательств в работу ПО и показатель долговечности, характеризующий свойства программ избегать морального старения при длительном использовании. Защищённость характеризуется вероятностью внесения искажений при постороннем вмешательстве, а долговечность - временем отказа ПО вследствие морального старения.
В зависимости от условий применения ПО можно выделить три режима (типа) его работы:
Программа не корректируется, и любой отказ является полным, т.е. после отказа ПО не восстанавливается. Основные показатели надёжности для этого режима работы программ - безотказность, устойчивость и защищённость.
Программа не корректируется, однако после отказа ПО система продолжает функционировать нормально. Основные показатели надёжности - безотказность, устойчивость, защищённость и долговечность.
После каждого отказа ПО корректируется, отлаживается и только после этого снова сдаётся в эксплуатацию. Основные показатели надёжности - безотказность, устойчивость, корректируемость, защищённость, а также потери времени.
Критерии надёжности сложных комплексов программ
Для оценки надёжности программ, как и при исследовании характеристик аппаратуры, как правило, приходится ограничиваться интегральными показателями наработки на отказ и средним временем восстановления. Определение остальных показателей сопряжено с большими трудностями, которые обусловлены тем, что для определения показателей надёжности комплексов программ необходимы длительные эксперименты или сложные расчёты при определённых исходных данных.
Оценка достоверности результатов и надёжности функционирования комплекса программ представляет собой сложную задачу из-за “проклятия размерности”. Естественным становится статистический подход к анализу надёжности функционирования и статистическая оценка достоверности результатов. Качество отладки определяется интенсивностью (частостью) отказов и значениями ошибок в выходных результатах, полученными за счёт невыявленных ошибок в программах и искажений исходных данных. Интенсивность (частость) отказов в комплексе программ иначе называется как частость проявления ошибок в комплексе программ.
Точное определение полного количества ошибок в программе прямыми методами измерения невозможно. Имеются только косвенные пути статистической оценки их полного количества. Такие оценки базируются на построении математических моделей в предположении жёсткой корреляции между общим количеством и проявлениями ошибок в комплексе программ после его отладки в течении времени , т.е. между следующими параметрами:
суммарным количеством ошибок в комплексе программ,
количеством ошибок, выявляемых в единицу времени dn/d в прцессе тестирования и отладки при постоянных усилиях на их проведение;
интенсивностью отказов или числом искажений результатов на выходе комплекса программ вследствие невыявленных ошибок при нормальном функционировании системы в единицу времени.
Математические модели надёжности комплексов программ
Математические модели позволяют оценивать характеристики ошибок в программах и прогнозировать их надёжность при проектировании и эксплуатации. Модели имеют вероятностный характер, и достоверность прогнозов зависит от точности исходных данных и глубины прогнозирования по времени. Эти математические модели предназначены для оценки:
- показателей надёжности комплексов программ в процессе отладки;
- количества ошибок, оставшихся невыявленными;
- времени, необходимого для обнаружения следующей ошибки в функционирующей программе;
- времени, необходимого для выявления всех ошибок с заданной вероятностью.
Использование моделей позволяет эффективно и целеустремлённо проводить отладку и испытания комплексов программ, помогает принять рациональное решение о времени прекращения отладочных работ.
В настоящее время предложен ряд математических моделей, основными из которых являются:
- экспоненциальная модель изменения ошибок в зависимости от времени отладки;
- модель, учитывающая дискретно - понижающуюся частоту появления ошибок как линейную функцию времени тестирования и испытаний;
- модель, базирующаяся на распределении Вейбула;
- модель, основанная на дискретном гипергеометрическом распределении.
При обосновании математических моделей выдвигаются некоторые гипотезы о характере проявления ошибок в комплексе программ. Наиболее обоснованными представляются предположения, на которых базируется первая экспоненциальная модель изменения ошибок в процессе отладки и которые заключаются в следующем:
Любые ошибки в программе являются независимыми и проявляются в случайные моменты времени.
Время работы между ошибками определяется средним временем выполнения команды на данной ЭВМ и средним числом команд, исполняемым между ошибками. Это означает, что интенсивность проявления ошибок при реальном функционировании программы зависит от среднего быстродействия ЭВМ.
Выбор отладочных тестов должен быть представительным и случайным, с тем чтобы исключить концентрацию необнаруженных ошибок для некоторых реальных условий функционирования программы.
Ошибка, являющаяся причиной искажения результатов, фиксируется и исправляется после завершения тестирования либо вообще не обнаруживается.
Из этих свойств следует, что при нормальных условиях эксплуатации количество ошибок, проявляющихся в некотором интервале времени, распределено по закону Пуассона. В результате длительность непрерывной работы между искажениями распределена экспоненциально.
Предположим, что в начале отладки комплекса программ при = 0 в нём содержалось ошибок. После отладки в течении времени осталось ошибок и устранено n ошибок (+ n = ). При этом время соответствует длительности исполнения программ на вычислительной системе (ВС) для обнаружения ошибок и не учитывает простои машины, необходимые для анализа результатов и проведения корректировок.
Интенсивность обнаружения ошибок в программе dn/d и абсолютное количество устранённых ошибок связываются уравнением
(3.13)
где k - коэффициент.
Если предположить, что в начале отладки при = 0 отсутствуют обнаруженные ошибки, то решение уранения (3.13) имеет вид
(3.14)
Количество оставшихся ошибок в комплексе программ
пропорционально интенсивности обнаружения dn/d с точностью до коэффициента k.
Время безотказной работы программ до отказа T или наработка на отказ, который рассматривается как обнаруживаемое искажение программ, данных или вычислительного процесса, нарушающее работоспособность, равно величине, обратной интенсивности обнаружения отказов (ошибок):
(3.15)
Если учесть, что до начала тестирования в комплексе программ содержалось ошибок и этому соответствовала наработка на отказ , то функцию наработки на отказ от длительности проверок можно представить в следующем виде:
(3.16)
Если известны моменты обнаружения ошибок и каждый раз в эти моменты обнаруживается и достоверно устраняется одна ошибка, то, используя метод максимального правдоподобия, можно получить уравнение для определения значения начального числа ошибок :
(3.17)
а также выражение для расчёта коэффициента пропорциональности
; (3.18)
В результате можно рассчитать число оставшихся в программе ошибок и среднюю наработку на отказ Tср = 1/ , т.е. получить оценку времени до обнаружения следующей ошибки.
В процессе отладки и испытаний программ для повышения наработки на отказ от до необходимо обнаружить и устранить n ошибок. Величина n определяется соотношением:
; (3.19)
Выражение для определения затрат времени на проведение отладки, которые позволяют устранить n ошибок и соответственно повысить наработку на отказ от значения до, имеет вид:
(3.20)
Вторая модель построена на основе гипотезы о том, что частота проявления ошибок (интенсивность отказов) линейно зависит от времени испытания между моментами обнаружения последовательных i - й и (i - 1) - й ошибок.
, (3.21)
где - начальное количество ошибок; K - коэффициент пропорциональности, обеспечивающий равенство единице площади под кривой вероятности обнаружения ошибок.
Для оценки наработки на отказ получается выражение, соответствующее распределению Релея:
(3.22)
где .
Отсюда плотность распределения времени наработки на отказ
. (3.23)
Использовав функцию максимального правдоподобия, получим оценку для общего количества ошибок и коэффициента K.
(3.24)
(3.25)
Особенностью третьей модели является учёт ступенчатого характера изменения надёжности при устранении очередной ошибки. В качестве основной функции рассматривается распределение времени наработки на отказ P(t). Если ошибки не устраняются, то интенсивность отказов является постоянной, что приводит к экспоненциальной модели для распределения:
Отсюда плотность распределения наработки на отказ T определяется выражением:
где t > 0, > 0 и 1/ - среднее время наработки на отказ, т.е. Тср=1/. Здесь Тср - среднее время наработки на отказ.
Для аппроксимации изменения интенсивности от времени при обнаружении и устранении ошибок используется функция следующего вида:
;
Если 0 < < 1, то интенсивность отказов снижается по мере отладки или в процессе эксплуатации. При таком виде функции (t) плотность функции распределения наработки на отказ описывается двухпараметрическим распределением Вейбулла:
.
Распределение Вейбулла достаточно хорошо отражает реальные зависимости при расчёте функции наработки на отказ.
Проверка математических моделей
Обоснование приведённых математических моделей приведено в ряде работ, в которых наибольшее внимание уделялось проверке первой и второй моделей. Контролировались и обрабатывались экспериментальные данные интенсивности обнаружения ошибок dn/d на фиксированном интервале времени, количества обнаруженных ошибок n или наработки на отказ T в зависимости от времени функционирования программ на вычислительной системе. Характеристики, полученные расчётами с использованием математических моделей, сопоставлялись с полученными экспериментальными значениями и применялись для прогнозирования показателей с последующим анализом отклонений от экспериментальных данных.
Пример анализа первой модели приведён на рис. 3.3. Определялся и прогнозировался интервал времени между последовательными отказами при непрерывном
Для оценки достоверности моделей анализировалось количество ошибок n, выявленное при функционировании комплексов программ в течении времени [см. (3.14)]. Значения и K определялись методом максимального правдоподобия для каждого из 16 исследованных вариантов создания больших программ. Пример изменения количества выявленных ошибок в зависимости от времени функционирования одного комплекса программ представлен на рис. 3.4. Из графика следует, что первая модель [см. (3.14)] хорошо аппроксимирует количество ошибок во всём исследованном интервале времени. При значениях n > 288 отклонение реального количества обнаруженных ошибок от расчётного составляет 21%.
ЛИТЕРАТУРА
Надёжность автоматизированных систем управления. / Под редакцией Я.А. Хетагурова.- М.: Высшая школа, 1979 - 287с.
Половко А.М. Основы теории надёжности. - М.: Наука, 1964 - 446с.
Голинкевич Т.А. Прикладная теория надёжности. - М.: Высшая школа, 1985 - 168с.
Маликов И.М. Надёжность судовой электронной аппаратуры и систем автоматического управления. - Л.: Судостроение, 1967 - 315с.
Шишонок Н.А. и др.Основы теории надёжности и эксплуатации радиоэлектронной техники. - М.: Советское радио, 1964 - 551с.
Шор Я.Б. Статистические методы анализа и контроля качества и надёжности. - М.: Советское радио, 1962 - 552с.
Росин М.Ф., Булыгин В.С. Статистическая динамика и теория эффективности систем управления. - М.: Машиностроение, 1981 - 312с.
Вероятностные методы в вычислительной технике. - М.: Высшая школа, 1986 - 312с.
Яншин А.А. Теоретические основы конструирования, технологии и надёжности ЭВА. - М.: Радио и связь, 1983 - 312с.
Рудзит Я.А., Плуталов В.Н. Основы метрологии, точность и надёжность в приборостроении. - М.: Машиностроение, 1991 - 303с.
Саяпин В.В. Конспект лекций по курсу “Основы теории надёжности”. - М.: МВ и ССО СССР, МАИ, 1971 - 142с.
Дружинин Г.В. Надёжность автоматизированных производственных систем. - М.: Энергоатомиздат, 1986 - 479с.
Липаев В.В. Надёжность программного обеспечения АСУ. - М.: Энергоиздат, 1981 - 240с.
Шураков В.В. Надёжность программного обеспечения систем обработки данных. - М.: Финансы и статистика, 1987 - 271с.
Садчиков П.И., Приходько Ю.Г. Методы оценки надёжности и обеспечения устойчивости функционирования программ. - М.: Знание, 1983 - 102с.
Сборник задач по теории надёжности./ Под редакцией А.М. Половко и И.М. Маликова. - М.: Советское радио, 1972 - 407с.
Теория надёжности радиоэлектронных схем в примерах и задачах. - М.: Энергия, 1976 - 448с.
Снегирёв А.А. Сборник задач по надёжности САУ. - М.: МВ и ССО СССР, МИФИ, 1978 - 87с.
Тейер Т., Липов М., Нельсон Э. Надёжность программного обеспечения. - М.: Мир, 1981 - 325с.
Майерс Г. Надёжность программного обеспечения. - М.: Мир, 1980 - 360с.
Гласс Р. Руководство по надёжному программированию. - М.: Финансы и статистика, 1982 - 256с.
Нравится материал? Поддержи автора!
Ещё документы из категории информатика:
Чтобы скачать документ, порекомендуйте, пожалуйста, его своим друзьям в любой соц. сети.
После чего кнопка «СКАЧАТЬ» станет доступной!
Кнопочки находятся чуть ниже. Спасибо!
Кнопки:
Скачать документ