Определение оптимального по квадратичному критерию качества программного управляющего воздействия



































МИНИСТЕРСТВО ОБРАЗОВАНИЯ И НАУКИ РОСCИЙСКОЙ ФЕДЕРАЦИИ
ФЕДЕРАЛЬНОЕ АГЕНСТВО ПО ОБРАЗОВАНИЮ
ЮЖНЫЙ ФЕДЕРАЛЬНЫЙ УНИВЕРСИТЕТ
ТЕХНОЛОГИЧЕСКИЙ ИНСТИТУТ
ЮЖНОГО ФЕДЕРАЛЬНОГО УНИВЕРСИТЕТА В Г. ТАГАНРОГЕ
Факультет автоматики и вычислительной техники Кафедра систем автоматического управления
ИНДИВИДУАЛЬНОЕ ЗАДАНИЕ № 1
Дисциплина "Методы оптимизации"
Тема: Определение оптимального по квадратичному критерию качества программного управляющего воздействия.
Выполнил:
Ст-т гр. А-14425.10.07 г
Безродный С.В.
Проверила:
Преподаватель каф. САУ25.10.07 г
Тесленко О.А.
Таганрог 2007 г.
Вариант №5
Дано:
ОУ
Т1
Т2
k1
k2
tk
m12
m22
x1 (0)
x1 (tk)
2
-
1,5
10
3
0,9
0,563
8,39
0
0,3
Структурная схема объекта управления (ОУ).
2. Граничные условия.
, (1)
3. Критерий качества вида:
(2)
4. Вид возмущающего воздействия:
(3)
Требуется определить:
Аналитическое выражение оптимального программного управляющего воздействия u* (t), переводящее ОУ из начального состояния в конечное, за конечный интервал времени t Є [0, tk] по оптимальной траектории
x* (t) = [x1* (t) x2* (t)] Т.
Примечание: f (t) = 0.
Построить временные диаграммы: u* (t), x1* (t), x2* (t) и фазовую траекторию.
Ввести возмущающее воздействие f (t) и произвести моделирование оптимальной СУ. Построить временные диаграммы u* (t), x1* (t), x2* (t) и фазовую траекторию.
Примечание: амплитуду a выбрать произвольно в разумных пределах, а частоту ω0 выбрать из интервала [ (5÷10) ·].
Моделирование СУ производить с помощью пакета MATLAB, программу моделирования представить в отчете.
Сделать выводы.
Выполнение работы:
1) Математическая модель ОУ имеет вид:
Составим выражение расширенного функционала:
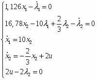
Определяем все частные производные по всем координатам и получаем систему уравнений Эйлера-Лагранжа в виде:
Перепишем систему в форме Коши:
Составляем матрицу коэффициентов этой системы:
Определяем корни характеристического полинома:
Общий вид уравнений искомых экстремалей определяется однозначно, как:
Из граничных условий (1) определяем значения постоянных интегрирования:
Уравнение оптимального программного управления определяем в силу исходного ОУ с учетом выражений оптимальных программных траекторий в виде:
2) Моделирование оптимальной системы программного управления без учета возмущающего воздействия:
Рис.1. Листинг программы моделирования системы без учета возмущающего воздействия.
Рис.2. Оптимальное программное воздействие u (t).
Рис.3. Переходная характеристика х1 (t).
Рис.4. Переходная характеристика х2 (t).
Рис.5. Фазовая траектория.
3) Моделирование оптимальной системы программного управления с учетом возмущающего воздействия:
Рис.6. Листинг программы моделирования системы с учетом возмущающего воздействия.
Рис.7. Оптимальное программное воздействие u (t).
Рис.8. Переходная характеристика х1 (t).
Рис.9. Отклонение истинной переходной характеристики от программной е (t).
Рис.10. Переходная характеристика х2 (t).
Рис.11. Фазовая траектория.
Выводы по работе
В данной работе определялось аналитическое выражение оптимального программного управляющего воздействия по квадратичному критерию качества. Из графиков рис.3. - рис.5. видно, что характер процесса - апериодический, установившаяся ошибка равна нулю, процесс перевода ОУ из начального состояния х1 (0) = х2 (0) = 0 в конечное х1 (0,9) = 0,3, х2 (0,9) = 0 происходит по оптимальной траектории, доставляя экстремум функционалу в заданный промежуток времени t = 0,9 c.
При действии на систему возмущения (3) наблюдали на рис.8. - рис.11. отклонения истинных переходных характеристик от программных, причем на рис.9. представлен график .
Нравится материал? Поддержи автора!
Ещё документы из категории информатика:
Чтобы скачать документ, порекомендуйте, пожалуйста, его своим друзьям в любой соц. сети.
После чего кнопка «СКАЧАТЬ» станет доступной!
Кнопочки находятся чуть ниже. Спасибо!
Кнопки:
Скачать документ