Проектирование линейных стационарных САУ с микропроцессорными регуляторами

































Введение
Цель курсовой работы получить навыки расчета линейных стационарных САУ с микропроцессорными регуляторами.
В первой половине работы применить метод расчета последовательного корректирующего устройства, основанного на использовании логарифмических частотных характеристик, а также исследовать динамику САУ моделированием ее на ПЭВМ в системе ''MATLAB ~ Simulink.
Во второй половине работы на основании полученной передаточной функции корректирующего устройства рассчитывается дискретная передаточная функции регулятора. Далее производится исследование динамики уже дискретной системы.
В связи с использованием в контуре управления Микропроцессорного регулятора, помимо обычных требований по обеспечению устойчивости, точности и качества проектируемой САУ, учитываются требования к шагам квантования сигналов по уровню и по времени. Частоты квантования по уровню и времени выбираются так, что система приближенно может рассматриваться как линейная непрерывная САУ. Это позволяет использовать для расчета закона управления простой и эффективный аппарат логарифмических частотных характеристик. Затем закон управления представляется в дискретной форме для получения переходного процесса уже в дискретной системе.
В качестве критерия правильности расчета можно поставить идентичность переходных процессов в линейной и микропроцессорной системе, выбирая соответствующий период квантования по времени.
1. Неизменяемая часть системы
Проектирование САУ всегда начинается с анализа объекта, формулировки задачи функционирования проектируемой системы, выбора критерия качества системы или задания требований к системе.
Будем считать, что этап анализа объекта, получения уравнений объекта и их линеаризация, выбор исполнительного механизма и датчиков уже решен, Полученные данные будут составлять так называемую неизменяемую часть системы.
Получим, что передаточная функция такой неизменяемой части системы имеет вид
2. Структурная схема САУ с микропроцессорным регулятором
Поскольку микропроцессорный регулятор построен на базе Микро-ЭВМ и может обрабатывать сигналы только дискретной формы" а сигнал на выходе объекта Ux и регулирующий сигнал Ur - непрерывны, то необходимо использовать преобразователи сигналов. АЦП - аналогово-цифровой преобразователь осуществляет кодирование непрерывного сигнала Ux дискретным сигналом 1х- ЦАП -цифро-аналоговый преобразователь преобразовывает дискретный сигнал регулирования 1г в непрерывный Ur. В процессе аналого-цифрового преобразования осуществляется квантование сигнала по времени и по уровню и это оказывает серьёзное влияние на динамические процессы в САР.
Рис. 2
На рис. 2 представлена в общем виде структурная схема САР с микропроцессорным регулятором и форма используемых в такой системе сигналов [1]. Непрерывный сигнал Ux(t) с выхода объекта поступает сначала в АЦП, где производится квантование сигнала по времени с постоянным шагом То в моменты t - 0, То, 2То, ... , кТо.
В результате этого будет получен дискретный сигнал u*x(k)<. д^^ производится квантование сигнала по уровню путём округления Ух Д° ближайшего стандартного значения Полученный при этом сигнал 1г представляет собой последовательность цифровых двоичных кодов, которые в дискретные моменты времени передаются в процессор и Микро-ЭВМ вырабатывает дискретный сигнал ошибки на основе которого в каждый тактовый момент времени 0' Т 2Т0,.... кТо вычисляется в соответствии с выбранным законом регулирования регулирующий сигнал Щ), Тх в процессе вычисления регулирующего воздействия могут использоваться операции умножения или другие арифметические операции, приводящие к переполнению разрядной сетки Микро-ЭВМ, полученный сигнал вновь подвергается округлению, а затем в дискретные моменты времени выдаётся в ЦАП. Если число разрядов микропроцессора и ЦАП не совпадают, в ЦАП вновь производится округление. На выходе ЦАП имеется экстраполятор, который превращает цифровой код в аналоговый кусочно линейный сигнал. В Микро-ЭВМ чаще всего используются экстраполяторы нулевого порядка, которые носят название фиксаторов и превращают цифровой код в аналоговый ступенчатый сигнал. Этот сигнал воздействует на исполнительный механизм, осуществляя процесс регулирования. В приведённой на рис.2 схеме САР задающей сигнал Ig имеет цифровую форму.
Такой сигнал может быть получен от специального цифрового датчика или другой Микро-ЭВМ.
Функциональная схема линейной САУ
1 – датчик входного сигнала
2 - согласующий усилитель
3 - последовательное КУ
4 – исполнительный элемент (двигатель)
5 - управляемый объект
6 – датчик выходного сигнала (температуры)
g – заданное значение температуры
Ux – температура на выходе системы
E – ошибка
U – управляющее воздействие
Функциональная схема МП САУ
Структурная схема линейной САУ
Структурная схема МП САУ
В рассматриваемой системе регулирования температуры технологического процесса учтем исходные данные, характеризующие неизменяемую часть системы.
Кроме этого к системе предъявляются следующие требования:
максимальное перерегулирование σ = 30 %;
максимальное время регулирования: t = 55 сек;
запас устойчивости по фазе Δφ (Град) должен лежать в пределах 35° - 65° в соответствии с диапазоном изменения σ % от 40% до 20% в исходных данных
Коэффициенты ошибок Do = 0 D = 0,058
В нашем случае передаточная функция неизменной части системы имеет вид:
Для построения ЛЧХ на оси частот выбираем точку 1/с и проводим асимптоту с наклоном -20 дБ/дек
Построение необходимо проводить в соответствии с выражением ЛЧХ
Фазочастотную характеристику строим по формуле:
0.1
0.2
0.5
0.8
1
-135,57
-154,3
171,56
176,5
180
В рассматриваемой РГР σ = 30 % и t = 55 сек.
Из таблицы находим B = 11,3; Wср=0,2 1/с
Найдем
0.2
L1=15 дБ
Синтез линейной САУ
Определим передаточную функцию желаемого регулятора
Определим передаточную функцию корректирующего устройства
Передаточная функция замкнутой системы имеет вид:
Получим переходный процесс в системе моделированием её на ЭВМ.
Переходный процесс в линейной САУ
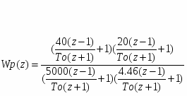
Определение дискретной передаточной функции корректирующего звена.
При T0 = 0.35
При T0 = 0.25
При T0 = 0.1
Для моделирования САУ в пакете "ДИСПАС" соответствующее уравнение имеет вид:
Переходный процесс в дискретной САУ при шаге квантования
Т=0.35
Схема моделирования при Т0=0.35
Переходный процесс в дискретной САУ при шаге квантования
Т=0.25
Схема моделирования при Т0=0.25
Переходный процесс в дискретной САУ при шаге квантования
Т=0.1
Схема моделирования при Т0=0.1
Выводы
В результате проделанной работы было выяснено, что независимо от того, каким способом анализировать результаты разработки САУ с микропроцессорным регулятором, в результате анализа необходимо получить график переходного процесса.
Вывели дискретную передаточную функцию регулятора, для того чтобы исследовать динамику САУ с микропроцессорным регулятором, так же выбрали шаг квантования Т0. Для исследования системы и решения задачи можно использовать пакет "MATLAB" и др. По полученному графику убедились в устойчивости системы. Убедились, что процессы в линейной и дискретной САУ идентичны, следовательно расчеты произведены верно и задачу можно считать выполненой.
Нравится материал? Поддержи автора!
Ещё документы из категории информатика:
Чтобы скачать документ, порекомендуйте, пожалуйста, его своим друзьям в любой соц. сети.
После чего кнопка «СКАЧАТЬ» станет доступной!
Кнопочки находятся чуть ниже. Спасибо!
Кнопки:
Скачать документ