Разработка САПР трубчатых реакторов для производства малеинового ангидрида











































































АННОТАЦИЯ
Тема: «Разработка САПР трубчатых реакторов для получения малеинового ангидрида».
Разработал: Кругов.
Руководитель: Романенко.
Год защиты: 2001.
Название объекта проектирования: трубчатый реактор.
Данная подсистема предназначена для проектирования реакторов синтеза малеинового ангидрида каталитическим окислением бензола. При проектировании используются методы математического моделирования, что позволяет значительно облегчить расчет математической модели и решение задачи оптимизации. Используемые методы позволяют быстро и точно получить желаемый результат.
Основные проектные решения: для расчета математической модели использовался метод конечных разностей, для задачи оптимизации – метод Ньютона.
Пояснительная записка (ПЗ) содержит 109 страниц формата А4.
Графическая часть проекта содержит 10 листов формата А1.
ПЗ содержит: 5 рисунков.
СОДЕРЖАНИЕ
Введение ............................................
1 Анализ предметной области..........................
2 Постановка задачи..................................
3 Общее описание системы ............................
4 Описание методики автоматизированного
проектирования.......................................
5 Обеспечения........................................
5.1 Математическое обеспечение.......................
5.1.1 Принятие допущений.............................
5.1.2 Математическая модель..........................
5.1.3 Метод решения уравнений математичекой модели...
5.1.4 Выбор варьируемых параметров и критерия
оптимизации....................................
5.1.5 Постановка задачи оптимального
проектирования ................................
5.1.6 Описание метода оптимизации....................
5.1.7 Результаты оптимизации.........................
5.2 Техническое обеспечение..........................
5.3 Программное обеспечение..........................
5.3.1. Общесистемное программное обеспечение.........
5.3.2. Прикладное программное обеспечение............
5.4 Информационное обеспечение.......................
5.5 Лингвистическое обеспечение......................
6. Охрана труда .....................................
6.1 Общие санитарно-гигиенические требования к
устройству ВЦ ...................................
6.2 Неблагоприятные факторы и средства защиты от них.
6.3 Анализ потенциальной опасности на проектируемом
объекте..........................................
6.4 Общие требования безопасности к оборудованию ВЦ..
6.4.1 Ограждения, блокировочные и
предохранительные устройства...................
6.4.2 Разводка информационных и силовых сетей........
6.5 Классификация объекта по взрывной, взрывопожарной
и пожарной опасности.............................
6.6 Электробезопасность..............................
6.6.1 Характеристика используемой электроэнергии.....
6.6.2 Классификация помещения по опасности
поражения электрическим током..................
6.6.3 Меры электробезопасности, используемые в
проекте........................................
6.6.4 Расчет заземляющего контура....................
6.7 Производственное освещение.......................
6.7.1 Расчёт естественного освещения.................
6.7.2 Расчет искусственного освещения................
6.8 Кондиционирование................................
6.9 Средства пожаротушения...........................
7. Технико-экономическое обоснование проекта.........
Заключение...........................................
Список используемых источников.......................
Приложение А – Текст программы.......................
Приложение Б – Схема САПР функциональная.............
Приложение В - Схема САПР структурная................
Приложение Г – Результат оптимизации.................
ВВЕДЕНИЕ
Малеиновый ангидрид был впервые получен в 1919 году Вейссом и Даунсом (фирма «Баррет») парофазным окислением бензола над пятиокисью ванадия.
Малеиновый ангидрид обладает большой реакционной способностью и поэтому используется в производстве полимеров, фармацевтических препаратах, присадок, сельскохозяйственных химикатов и т.д.
Наибольшая доля его потребления приходится на производство пластмасс. Спрос на полиэфирные смолы обуславливает в основном развитие производства малеинового ангидрида. Полиэфирные пластмассы находят применение в ряде отраслей промышленности.
Следующим по важности потребителем малеинового ангидрида является производство алкидных смол. Применение малеинового ангидрида позволяет создавать поверхностные алкидные покрытия с повышенной ударной вязкостью, а также удлиняет срок их службы.
Малеиновый ангидрид применяется для синтеза ряда химических препаратов для сельского хозяйства, таких как гидразит малеиновой кислоты – регулятор роста клубней картофеля, дефолиант – эндоталл, применяемый для ускорения опадания листа и коробочки хлопка и др.
Малеиновый ангидрид также является сырьем для производства фумаровой и яблочной кислот, заменяющих в пищевой промышленности дорогостоящую лимонную кислоту, используемую в кондитерских изделиях и при производстве соков и напитков.
Химические продукты на основе малеинового ангидрида применяются для обработки бумаги, они служат заменителем натуральной канифоли. На основе малеинового ангидрида вырабатываются присадки и стабилизаторы для топлив.
Изо всего выше сказанного можно отметить, что малеиновый ангидрид имеет важное народнохозяйственное значение.
1.АНАЛИЗ ПРЕДМЕТНОЙ ОБЛАСТИ
Для разработки производства малеинового ангидрида каталитическим окислением бензола целесообразно использовать методы математического моделирования. Математическая модель процесса позволяет определить оптимальные конструктивные и режимные параметры и разработать высокоэффективный промышленный реактор.
Основным промышленным методом получения малеинового ангидрида является парофазное каталитическое окисление бензола /1,2/. Наиболее распространенным видом сырья для производства малеинового ангидрида является бензол. Мировое производство малеинового ангидрида в 1998-1999 гг. составляло 5,5 млн. т.
Более 90% его получают, используя в качестве сырья бензол. При окислении безвоздушной смеси над ванадиевыми катализаторами выход малеинового ангидрида составляет 70% на пропущенный бензол при полной его конверсии. Около 30% бензола превращается в продукты глубокого окисления СО, СО2.
Окисление проводят в паровой фазе на стационарном слое катализатора. В зависимости от используемого катализатора изменяется температура реакции в диапазоне 350-450 0С. Процесс ведут практически без давления, оно составляет 0,5атм и обуславливается сопротивлением технологических аппаратов.
Эффективность процесса получения малеинового ангидрида парофазным окислением бензола зависит от селективности применяемых для этого катализаторов и от степени совершенства самого процесса – как стадии окисления, так и стадий выделения целевого продукта.
В современных промышленных процессах получения малеинового ангидрида парофазным окислением бензола выход малеинового ангидрида на стадии окисления составляет 72-74% при конверсии 98-100%
Получение кислородосодержащих соединений прямым окислением углеводородов кислородом – многостадийный процесс /3/. Образующиеся кислородосодержащие соединения (альдегиды, кислоты, окиси, ангидриды) являются в свою очередь промежуточными продуктами окисления, которые доокисляются затем в СО, СО2 и Н2О.
Выбор соответствующего катализатора и условий проведения реакции приводит к образованию продуктов неполного окисления. Высокая селективность реакции получается при благоприятном соотношении скоростей образования и дальнейшего превращения промежуточных продуктов.
Реакторы для парофазного каталитического окисления бензола.
Окисление проводят в аппаратах, называемых реакторами. Известно несколько типов реакторов, отличающихся друг от друга конструктивными особенностями и главным образом типом используемого катализатора. Применяемые реакторы можно разделить на две основные группы: со стационарным и псевдоожиженным слоем катализатора.
Вначале рассмотрим вопросы, являющиеся общими для обеих групп: основные факторы, определяющие выбор конструкции реактора; хладагенты, применяемые для отвода тепла реакции; катализаторы.
К основным факторам, определяющим, конструктивные особенности реакторов для производства малеинового ангидрида, относятся следующие: агрегатное состояние веществ, присутствующих в реакционной зоне; интенсивность перемешивания ингредиентов; давление; химические свойства перерабатываемых веществ; тепловой эффект процесса; температура реакции и интенсивность теплообмена.
Вещества, присутствующие в реакционной зоне, находятся в разном агрегатном состоянии: газообразная бензоловоздушная смесь окисляется в присутствии твердого катализатора с образованием парогазовой смеси продуктов контактирования. Таким образом, при получении малеинового ангидрида парофазное каталитическое окисление ароматических углеводородов осуществляется в гетерогенных системах газ—твердое тело. Вследствие высокого теплового эффекта реакции для проведения процессов парофазного каталитического окисления ароматических углеводородов практически приемлемыми оказались трубчатые аппараты и аппараты с псевдоожиженным слоем катализатора.
В трубчатых аппаратах твердый гранулированный катализатор находится в трубках, а межтрубное пространство заполняется хладагентом, отводящим тепло реакции. Смесь воздуха с парами бензола движется через слой твердого гранулированного катализатора со скоростью, обеспечивающей необходимую турбулентность потока. Так как активность применяемых катализаторов большая, достигаемый в данном случае контакт фаз оказывается вполне достаточным для протекания реакций окисления.
Очень эффективно взаимодействие парогазовой и твердой фаз протекает в аппаратах с псевдоожиженным слоем катализатора. В этих аппаратах газ движется с определенной скоростью снизу вверх через слой высокодисперсного твердого катализатора, который при этом приводится в состояние псевдоожижения, напоминающее кипение жидкости. Для аппаратов этого типа характерны интенсивное перемешивание газа и мелкозернистого катализатора и малая разность температур между любыми точками псевдоожиженного слоя.
Для успешного проведения экзотермического каталитического процесса парофазного окисления необходима высокая интенсивность перемешивания реагирующих веществ. В аппаратах обоих типов интенсивное перемешивание осуществляется путем создания соответствующей скорости движения парогазовой смеси, обеспечивающей необходимую турбулентность потока и соответствующий гидродинамический режим в зоне катализатора,
Давление при промышленных процессах парофазного каталитического окисления бензола определяется в основном гидравлическим сопротивлением аппаратов и коммуникаций и составляет примерно 0,5 ат (избыточное давление). Столь низкое давление значительно облегчает конструирование и эксплуатацию реакторов. Исследования процесса парофазного каталитического окисления бензола в малеиновый ангидрид при избыточном давлении до 6 ат и степенях превращения 45, 60 и 75% показали, что избирательность катализатора с повышением давления увеличивается незначительно.
Одновременно наблюдалось заметное повышение производительности катализатора для степеней превращения 45 и 60% при возрастании избыточного давления от 0,4 до 6 ат. Меньшее, не возрастание производительности с увеличением давления происходило при степени превращения 75%. В промышленности процесс получения малеинового ангидрида ведут при 100%-ном превращении бензола. Поэтому для решения вопроса о целесообразности повышения давления требуются дополнительные кинетические исследования.
Процесс окисления бензола в псевдоожиженном слое катализатора иногда ведут при избыточном давлении 1—2 ат. Это позволяет при тех же линейных скоростях газового потока увеличить массу газа, проходящую через слой катализатора, не уменьшая время контактирования. При атмосферном давлении увеличение расхода парогазовой смеси может привести к превышению максимально допустимой скорости потока и к разрушению структуры псевдоожиженного слоя. Оптимальное давление выбирается с учетом возрастания расхода электроэнергии на дополнительное сжатие, воздуха и повышения стоимости аппаратов, рассчитанных на работу под давлением.
Химические свойства перерабатываемых веществ определяют действие их на материал аппаратуры. Бензол и малеиновый ангидрид, находясь в паровой фазе, практически не корродируют сталь. Сильное коррозионное действие на металлы оказывают раствор малеиновой кислоты. Однако в условиях парофазного каталитического окисления бензола и о-ксилола гидратации малеинового ангидрида не происходит. Поэтому, как подтвердил большой опыт работы реакторов, химические свойства перерабатываемых и получаемых веществ не являются определяющим фактором при выборе материала аппаратуры.
Одним из наиболее существенных факторов, в значительной степени определяющих конструкцию реактора, является тепловой эффект процесса. Окисление ароматических углеводородов в малеиновый ангидрид сопровождается выделением большого количества тепла. При 100%-ном окислении 1 кг бензола в малеиновый ангидрид выделяется 3503 ккал (теплота окисления, отнесенная к 20 °С, без учета изменения теплового эффекта с температурой). Однако при промышленном проведении процесса протекают еще побочные реакции, тоже сопровождающиеся выделением тепла.
Таким образом, суммарный тепловой эффект в значительной мере зависит от степени превращения исходного углеводорода в различные продукты окисления.
Если принять степень превращения бензола в малеиновый в малеиновый ангидрид—0,02, а степень полного сгорания бензола 0,10, то тепловой эффект процесса окисления 1 кг бензола в этих условиях, отнесенный к стандартной температуре 20 °С, будет равен 4111,7 ккал .
Существенное значение имеет наличие примесей в исходном бензоле. При полном сгорании 1 кг примесей в среднем выделяется 10000 ккал тепла. Если примесью к бензолу является метилбензол, то количество выделяющегося тепла увеличивается, так как при окислении 1 моль метилбензола в малеиновый ангидрид выделяется в 1,13 раза больше тепла, чем при окислении 1 моль бензола.
С этим фактом необходимо считаться при выяснении возможности применения в производстве малеинового ангидрида других углеводородов, в том числе и многокомпонентных продуктов каменноугольного или нефтяного происхождения. Опыт применения бензола, содержащего в качестве примесей метилбензолы, показал, что в этом случае для обеспечения полноты окисления исходного сырья температуру процесса приходится поддерживать на 5—60С выше, чем при окислении бензола, не содержащего , примеси метилбензолов.
Основной примесью товарного бензола марки В по ГОСТ 10204—62 являются метилбензолы. Для определения теплового эффекта процесса окисления бензола марки В в малеиновый ангидрид принимаем следующие допущения:
1) состав исходного продукта : бензол – 92%, метилбензолы – 7%, прочие органические примеси – 1%;
2) при окислении 50% метилбензолов превращается в малеиновый ангидрид и 50% сгорает;
3) прочие органические примеси, присутствующие в исходном бензоле, полностью сгорают;
4) теплота сгорания органических примесей равна 10000 ккал/кг.
Отсюда тепловой эффект процесса окисления 1 кг бензола марки В в малеиновый ангидрид (расчет при стандартной температуре 20°С) будет равен:
4111,7*0,92+4067*0,07*0,5+9317*0,07*0,5+10000*0,01=4349ккал Это в 1,05 раза больше, чем при окислении 1 кг 100%-ного бензола.
При степени превращения бензола в малеиновый ангидрид, равной 0,85, из 1 кг 100%-ного бензола образуется малеинового ангидрида: 148.12/128.17*85=0,98кг, где 148,12 и 128,17 — соответственно молекулярные веса малеинового ангидрида и бензола.
При окислении 1 кг бензола марки В при той же степени превращения бензола и при степени превращения метилбензолов во малеиновый ангидрид, равной 0,5, образуется малеинового ангидрида 0.94 кг.
Поэтому для получения того же количества малеинового ангидрида при переходе от 100%-ного бензола к бензолу марки В придется израсходовать сырья больше в 0,98:0,94 = 1,04 раза.
Следовательно, суммарный тепловой эффект в пересчете на единицу количества малеинового ангидрида при окислении бензола марки В будет в 1,05.1,04= 1,1 раза больше, чем при окислении 100%-ного бензола.
Также необходимо учитывать степень превращения исходного вещества в различные продукты окисления. Если в сырье имеются какие-либо примеси, не образующие при окислении малеиновый ангидрид, то процесс ведут таким образом, чтобы добиться, возможно, более полного сгорания их. В противном случае не окисленные или окисленные не полностью примеси будут загрязнять готовый продукт и затруднять его очистку.
При возрастании молекулярного веса исходного, углеводорода тепловой эффект реакции окисления увеличивается.
Тепловой эффект реакции оказывает влияние на производительность контактного аппарата при проведении процесса в стационарном слое катализатора. В этом случае относительно низкий коэффициент теплоотдачи от газового потока к стенке трубы ограничивает скорость теплоотвода. Поэтому при переработке сырья, окисление которого протекает с выделением большого количества тепла, приходится снижать нагрузку по сырью. Это дает возможность поддерживать заданную температуру процесса, но влечет за собой снижение производительности аппарата. При проведении процесса в псевдоожиженном слое катализатора снижать нагрузку по сырью не приходится, поскольку отвод тепла из зоны катализатора не представляет затруднений. Температура процесса парофазного каталитического окисления ароматических углеводородов в значительной степени зависит от природы исходного углеводорода и типа применяемого катализатора. В промышленных реакторах парофазное каталитическое окисление ароматических углеводородов в малеиновый ангидрид проводят при З80—435°С. Более высокая температура процесса контактирования поддерживается при использовании плавленой пятиокиси ванадия (425—435°С). Более низкая температура (250-285°С) характерна для ванадий-калий-сульфатного катализатора.
Температура реакции в значительной степени определяет выбор не только хладагента, но и материала аппарата. До 400°С устойчива обычная сталь. Для работы при более высокой температуре детали реакторов, соприкасающиеся с реакционной парогазовой смесью, следует изготавливать из легированных сталей типа хромоникелевых.
Вследствие высокой экзотермичности процесса окисления бензола в малеиновый ангидрид одной из основных проблем при конструировании контактных аппаратов является максимальная интенсификация отвода тепла из зоны катализатора и обеспечение изотермичности в ней.
Хладагенты.
Хладагенты, применяемые в реакторах для отвода тепла, выделяющегося в процессе окисления, должны обладать определенными свойствами. Требуется, чтобы они были стабильными при температуре реакции, не корродировали материал аппарата, были огне- и взрывобезопасными. В практике промышленного производства малеинового ангидрида в настоящее время определились следующие хладагенты: расплав солей, кипящая ртуть, вода, свинец или его сплавы, воздух. Каждый из этих хладагентов имеет недостатки, с которыми приходится считаться. Однако все они отвечают указанным необходимым требованиям. Более подробно свойства перечисленных хладагентов рассматриваются ниже.
Наиболее часто для отвода тепла реакции используют расплав солей, представляющий собой смесь нитритов и нитратов калия и натрия, например смесь, состоящую из 7% NaNO3, 40% NaNO2 и 53% KNO3. Применяют также смесь 45% NaNO2 и 55% КNО3, имеющую температуру плавления 141,6°С. Нитриты при контакте с кислородом воздуха при высокой температуре окисляются с образованием нитратов. Увеличение содержания нитратов приводит к повышению температуры плавления смеси до 160°С и выше. Практически при достижении этой температуры плавления смесь солей следует заменять. Для уменьшения скорости окисления расплав солей отделяют от воздуха с помощью «подушки» из азота или водяного пара. В этих условиях расплав может эксплуатироваться без замены в течение двух лет. В присутствии расплава углеродистая сталь корродирует лишь при температуре, превышающей 450° С. При температурах, близких к температуре процесса контактирования, вязкость расплава относительно низкая. Это дает возможность перекачивать его насосами по трубопроводам.
За рубежом в качестве хладагента довольно широко применяют кипящую ртуть. Ее существенным преимуществом является постоянство температуры и относительно высокий коэффициент теплоотвода от охлаждаемой стенки. Эти факторы позволяют интенсифицировать процесс отвода тепла из катализаторного пространства. Для увеличения коэффициента теплоотвода в ртуть добавляют натрий. Образующаяся амальгама натрия обладает лучшей смачивающей способностью. При атмосферном давлении ртуть кипит при 356,9° С. Для повышения температуры кипения ртути емкость с хладагентом заполняют азотом, находящимся под некоторым давлением. Изменяя давление азота в системе, регулируют температуру кипения ртути. К преимуществам кипящей ртути следует отнести также возможность отвода большого количества тепла относительно небольшим количеством хладагента за счет использования скрытой теплоты парообразования. Широкое применение ртути ограничивается ее токсичностью и высокой стоимостью.
В некоторых реакторах в качестве хладагента применяют воду. В этом случае получают пар, который потом можно использовать. Преимущества использования воды в качестве хладагента общеизвестны и не нуждаются в рассмотрении. Некоторым недостатком применения воды является необходимость располагать теплообменивающие элементы, работающие под давлением, непосредственно внутри реактора.
В реакторах старой конструкции для отвода тепла реакции в качестве хладагента применяли свинец (или его сплавы). У этого хладагента имеется ряд существенных недостатков: высокая температура плавления ( что затрудняет его загрузку и перекачивание); токсичность; способность окисляться на воздухе при высокой температуре с образованием окислов, переходящих в верхние слои расплава и уменьшающих и без того низкий коэффициент теплоотвода от охлаждаемой поверхности к хладагенту; высокая стоимость. В современных системах свинец не применяют.
В качестве хладагента используют также воздух, который пропускают через трубки, погруженные в расплав солей. В некоторых конструкциях применяют обдувание. воздухом наружных стенок реакторов. Охлаждение воздухом не обеспечивает интенсивного отвода тепла из реактора вследствие низкого коэффициента теплоотдачи от стенок катализаторных камер или трубок к воздуху и низкой теплоемкости этого хладагента.
Катализаторы.
В качестве катализаторов парофазного каталитического окисления бензола в малеиновый ангидрид изучались различные вещества, в том числе окислы многих металлов (V2O5, МоО3, MgО, Аl203, SiO2, TiO2, ZnO)/4/. Однако наиболее избирательным и достаточно активным катализатором оказалась только пятиокись ванадия V2O5. В настоящее время в промышленности применяют либо пятиокись ванадия, либо сложные катализаторы, в состав которых в качестве основного активного компонента входит пятиокись или соли ванадия.
Пятиокись ванадия V2O5 представляет собой ромбические кристаллы красного или красно-желтого цвета, плавящиеся при 690°С. При температуре выше 700°С пятиокись ванадия заметно испаряется с частичной диссоциацией по реакции:
2V2O5 —> 4VO2+O2
Водный раствор ее окрашен в желтый цвет и имеет кислую реакцию. Пятиокись ванадия легко растворяется в щелочах с образованием ванадатов. При восстановлении пятиокиси ванадия образуются двуокись ванадия VO2 (сине-голубые кристаллы; т. пл. 1545°С) и трехокись ванадия V2O3 (блестящие черные кристаллы; т. пл. 1970°С).
Пятиокись ванадия получают разложением вандата аммония при высокой температуре 400°С с последующим нагреванием до 690°С. Пятиокись ванадия выпускается трех марок в соответствии с ТУЦМ 4566—55: «химически чистая» (х. ч.), «чистая для анализа» (ч. д. а.) и «чистая» (ч.).
Катализатор, предназначенный для загрузки в реакторы, готовят следующим образом. Свежую или отработанную пятиокись ванадия расплавляют в графитовых тиглях. Расплав выливают на стальные противни размером 20х10х2 см, где он застывает плотным слоем. Толщину слоя выбирают в зависимости от требуемых размеров частиц катализатора. Застывшую массу измельчают до частиц размером 5—7 мм. Полученные таким образом кусочки просеивают через два сита с близкими по размеру отверстиями (в первом сите отверстия крупнее). Остаток на первом сите и фракцию, просеявшуюся через второе сито, собирают отдельно и подвергают вторичной переплавке и измельчению. Частицы, не прошедшие через второе сито, имеют достаточно близкие линейные размерили могут применяться для заполнения контактных трубок.
Преимуществом плавленой пятиокиси ванадия как катализатора является ее высокая производительность, достигающая 275 г бензола в час на 1 кг катализатора, а недостатком — относительно низкий выход малеинового ангидрида — порядка 72—73% (на 10—15% ниже выхода на смешанных ванадиевых катализаторах). Поэтому в настоящее время почти везде отказались от применения чистой пятиокиси ванадия и отдают предпочтение катализаторам, обеспечивающим больший выход продукта.
Степень превращения бензола в побочные продукты в стационарном слое плавленой пятиокиси ванадия характеризуется следующими цифрами: в 1,4-бензохинон превращается 2,5—4% исходного бензола, в малеиновый ангидрид 9—11%; сгорает и переходит в другие продукты 3—5%.
Известно также применение катализатора, представляющего собой пятиокись ванадия (примерно 10%), осажденную на носителе (корунд, кизельгур, пемза).
Для приготовления такого катализатора носитель, пропитанный водным раствором вандата аммония, прокаливают на воздухе при 400—500°С. В результате термического разложения вандата аммония в присутствии кислорода воздуха образуются пятиокись ванадия, аммиак и вода. Аммиак и пары воды улетучиваются, а пятиокись ванадия остается на носителе.
Этот катализатор также отличается высокой производительностью, но по выходу малеинового ангидрида существенно уступает смешанному катализатору.
Смешанный ванадий-калий-сульфатный катализатор имеет значительно меньшую производительность по сравнению с плавленой пятиокисью ванадия, но обеспечивает выход малеинового ангидрида порядка 85—88% (в расчете на очищенный продукт выход составляет 83—84%). Поэтому катализаторы такого типа широко применяются в промышленности. Катализатор представляет собой силикагель, пропитанный раствором смеси сульфатов ванадила и калия. Смешанный ванадий-калий-сульфатный катализатор готовят, например, следующим образом. Предварительно получают исходные компоненты: силикагель и раствор сульфата ванадила. Для приготовления силикагеля раствор силиката калия смешивают с серной кислотой. Полученную массу размалывают в мельнице и подщелачивают аммиаком до рН 8,5. Выделившийся осадок кремневой кислоты отфильтровывают и сушат при 100-110° С. Сухую кремневую кислоту размалывают на дезинтеграторе и смешивают с раствором сульфата ванадила, который получают взаимодействием сернистого газа с пятиокисью ванадия в водном растворе серной кислоты Пасту формуют в виде цилиндриков диаметром 4 мм и высотой 4 мм и сушат их при 50—60°С. Затем температуру сушки повышают до 130°С, после чего катализатор прокаливают в токе воздуха при 430°С. Полученный таким образом катализатор содержит 10% V2O3, 60-65% SiО2 и 20-25% K2SO4.
Сульфат ванадила VOSO4*H2O представляет собой кристаллы голубого цвета, растворимые в воде, В промышленности в соответствии с ЦМТУ 2112—49 выпускают два сорта сульфата ванадила: «чистый для анализа» (ч. д. а.) и «чистый» (ч.).
При работе на смешанном ванадий-калии-сульфатном катализаторе степень превращения бензола характеризуется следующими показателями: в малеиновый ангидрид превращается 87% в 4-нафтохинон 1—2,5%, в малеиновый ангидрид 2,8—3,3%, сгорает и переходит в другие продукты 2,0—4,1% исходного бензола. Производительность ванадий-калий-сульфатного катализатора 65—70 г малеинового ангидрида с 1 кг катализатора в час, или 40-42 г малеинового ангидрида с 1 л катализатора в час (при выходе 86—91% от теоретического на стадии контактирования). Срок службы катализатора более 5 лет. Предполагается, что сульфат калия играет роль ингибитора, снижающего высокую активность катализатора (получаемого при применении высокопористого силикагеля) и повышающего его избирательность.
Существенным показателем катализатора является механическая прочность. Предлагается считать катализатор действительно прочным, если для разрушения таблетки требуется усилие 5-10 кгс, а при вращении таблеток в шаровой мельнице количество образующейся за 1 ч пыли составляет не более 3% от массы катализатора. Для повышения механической прочности силикагеля предлагают пропитывать гидрогель 1—10%-ным раствором виннокислой соли щелочного металла с последующей промывкой, сушкой и активацией силикагеля .
Основной задачей дальнейшего усовершенствования катализаторов является повышение их избирательности и производительности. Для улучшения показателей работы ванадий-калий-сульфатного катализатора предлагается вводить в него различные добавки, главным образом соединения Ag, Li, Се, Rb и др. Достижением является разработка катализатора, стойкого по отношению к сере (в количестве до 1%, считая на исходное сырье ), и катализатора, пригодного для работы на бензоле, о-ксилоле или смеси бензола с о-ксилолом. При работе на таких катализаторах значительно повышается экономическая эффективность процесса.
В установках с псевдоожиженным слоем применяют катализаторы в основном того же состава, что и в установках со стационарным слоем. Отличительной особенностью первых катализаторов является высокая дисперсность и повышенная прочность. Первоначально в промышленных агрегатах с псевдоожиженным слоем катализатора применяли плавленую пятиокись ванадия, но в дальнейшем ее заменили ванадий-калий-сульфатным катализатором, обеспечивающим более высокие выходы малеинового ангидрида. Один из образцов подобного катализатора (насыпная масса 0,7—0,95 кг/л) характеризуется следующим составом (%): металлическое железо и окислы (в пересчете на Fe) - 1-2, сульфат ванадила (в пересчете на V2О5) - 6-9, щелочные металлы (в пересчете на К2О) - 11—13, серная кислота (в пересчете на SO4 ) - 19—22, окись кремния - 54—65.
Размер частиц катализатора и соотношения между различными фракциями в нем определяются его плотностью и выбранной скоростью потока парогазовой смеси в поперечном сечении реактора. Как правило, основная масса частиц катализатора в Псевдоожиженном слое имеет размеры в пределах от нескольких до 300 мк.
Сведения о производительности катализатора в псевдоожиженном слое очень скудны. Имеются данные, что нагрузка на катализатор составляла 22—26 г бензола на 1 кг катализатора в час, но эта цифра представляется заниженной.
Высокую селективность и производительность катализатора можно обеспечить, заменяя часть отработанной пыли свежей. По одним данным расход катализатора в этом случае будет равен 10% в год, а по другим — 1 кг катализатора на 1000 кг переработанного бензола.
Эти данные близки друг к другу, как видно из следующего конкретного расчета. Если принять нагрузку на катализатор 25 г бензола на 1 кг катализатора в час и производительность системы по бензолу 8000 т/год, то масса катализатора в системе при 8000 рабочих часов в год будет равна: 8000*1000*1000/8000/25=40000кг.
Если расход катализатора равен 10% в год, т. е. 400 кг/год, или 0,5 кг/ч, то это составит 0,5 кг катализатора на 1000 кг переработанного бензола.
Таким образом, можно считать, что для обеспечения высокой селективности и производительности катализатора следует в процессе работы часть отработанной катализаторной пыли заменять свежей в количестве 0,1—1,0 кг на 1000 кг переработанного бензола. Этот расход можно уменьшить за счет повышения селективности и производительности катализатора, а также в значительной мере—путем снижения скорости истирания катализатора, т. е. в результате увеличения его прочности. Удалять нежелательные фракции катализатора так же, как и догружать новые порции, можно без остановки системы. Текучесть псевдоожиженного катализатора позволяет оперировать с ним почти так же просто, как и с жидкостью.
Из отработанной катализаторной пыли, как и из отработанного стационарного катализатора, можно выделить его наиболее дорогостоящие активные компоненты и использовать их для приготовления новых порций катализатора. Ванадий можно извлечь следующим образом. Водную суспензию катализатора, предварительно подкисленную серной кислотой, нагревают до 80—85°С, после чего обрабатывают щавелевой кислотой. При этом высшие окислы ванадия переходят в низшие, растворимые в воде:
V2O5 + HООC-СООН + 2H2SO4 —> 2VOSO4+2CO2+3H2O
Этим методом выделяется до 85% активных веществ в виде растворимых в воде сульфатов ванадила и калия, которые могут быть использованы для приготовления новых порций ванадий-калий-сульфатного катализатора. В том случае, когда раствор получается с концентрацией ниже требуемой, в нем дополнительно растворяют соответствующее количество сульфатов ванадила и калия или упаривают раствор. Исследования были проведены как в лабораторном масштабе, так и на укрупненной установке.
В стальную эмалированную чашу, снабженную рубашкой для обогрева паром, загружали 15 л чистой воды и такое же количество промывной воды после предыдущей операции, 7,6 кг отработанного катализатора и 200 мл купоросного масла. Массу тщательно размешивали и нагревали, после чего небольшими порциями при размешивании добавляли 0,5 кг щавелевой кислоты. Прекратив обогрев, массу дополнительно размешивали в течение 10—15 мин и отстаивали. Раствор декантировали, а осадок промывали водой, которую потом использовали для обработки свежих порций катализатора.
Лабораторные испытания образца катализатора, полученного с использованием растворов регенерированной смеси активных компонентов, показали, что такой катализатор не отличается от катализатора, приготовленного из исходных реактивов.
Реакторы со стационарным слоем катализатора.
Первоначально промышленный синтез малеинового ангидрида был осуществлен в стационарном слое катализатора. При этом были созданы реакторы относительно небольшой производительности — примерно 20 кг малеинового ангидрида в час. Процесс дальнейшего совершенствования реакторов характеризуется стремлением к созданию аппаратов большой мощности. Основной проблемой при создании высокопроизводительных агрегатов является необходимость отвода тепла, выделяющегося при окислении больших количеств бензола. Поэтому для конструкций реакторов производства малеинового ангидрида наиболее важным является метод теплоотвода.
Реакторы со стационарным слоем гранулированного катализатора выполняются в виде вертикальных трубчатых аппаратов. Реактор представляет собой вертикальный аппарат, в котором имеется большое количество трубок, заполненных катализатором. В межтрубном пространстве аппарата находится расплав солей. Для интенсификации отвода тепла и выравнивания температуры расплав перемешивается пропеллерной мешалкой, приводимой во вращение электродвигателем с индивидуальным приводом.
Для отвода тепла от расплава солей в центральной трубе размещены охлаждающие элементы, по конструкции аналогичные трубкам Фильда. Во внутренние трубки охлаждающих элементов снизу поступает воздух, а нагретый воздух выводится из наружных трубок через камеру. Охлаждающий воздух подается также в рубашку. Температура в зоне катализатора измеряется термопарами, установленными в гильзах. Перед началом процесса контактирования аппарат разогревают, продувая катализатор горячим воздухом. Бензоловоздушная смесь, поступающая в реактор, проходит через трубки, заполненные катализатором, а контактные газы, содержащие пары малеинового ангидрида, удаляются из аппарата через нижний боковой штуцер.
В некоторых реакторах циркуляция расплава солей через межтрубное пространство осуществляется насосом. При этом горячий расплав можно направлять в котлы-утилизаторы и расходовать тепло реакции для получения водяного пара, который используют в самом производстве малеинового ангидрида. По расчету количество пара, получаемого в процессе окисления бензола (6 т/год), вполне достаточно для обеспечения нужд всего цеха малеинового ангидрида. Равномерное распределение исходной парогазовой смеси по сечению реактора достигается при помощи перфорированной тарелки, расположенной под входным штуцером. Температура в аппарате измеряется термопарами, установленными на разной глубине в гильзах, которые выведены наружу через штуцеры. Герметичность достигается установкой в штуцерах сальников.
Через межтрубное пространство реактора прокачивается расплав солей. Продукты реакции выводятся через нижний боковой штуцер. Чтобы предотвратить окисление нитрита, содержащегося в расплаве, в межтрубное пространство аппарата вводят водяной пар, а лучше азот.
Особенно важным конструктивным узлом реакторов со стационарным слоем катализатора является место соединения труб с трубными решетками. Известны случаи, когда из-за не плотности стыков расплав из межтрубного пространства проникал под нижние трубные решетки. Контакт расплава с парами органических веществ, содержащихся в паровогазовой смеси продуктов контактирования, приводил к воспламенению и взрывам. При этом выбивало предохранительные мембраны на газоходах ангидридной смеси, и систему приходилось останавливать для ремонта и чистки. С целью возможно более тщательного уплотнения концы труб развальцовывают в трубных решетках и затем дополнительно проваривают. Перед сдачей в эксплуатацию межтрубное пространство реакторов проверяют на герметичность. Для сохранения плотности стыков в процессе эксплуатации необходимо плавно нагревать и охлаждать реактор при пусках и остановках системы.
Задача уплотнения соединений труб с трубными решетками сильно усложняется по мере увеличения числа труб в реакторе. В значительной степени эту задачу удается решить путем создания высококачественных сварных швов.
Контактные трубки реактора заполняют катализатором с особой тщательностью, так как от равномерности распределения катализатора по сечению и по длине трубок зависит успешное проведение процесса. При неравномерном заполнении трубок реагенты будут проходить через слой катализатора с разной скоростью, что приведет нарушению нормального течения процесса.
Весьма важно чтобы гидравлическое сопротивление газовому потоку во всех контактных трубках было одинаковым, так как в противном случае через трубки будут протекать неравные количества газа с разными скоростями. Поэтому перед пуском реактора через трубки продувают воздух для изменения и регулирования сопротивление слоя катализатора.
«Закрепление» катализатора, загруженного в контактную трубку, осуществляется различными способами.
Часто используют способ, схематически показанный на рисунке 1. На рисунке изображены нижние участки двух контактных трубок 1. В них вставлены пружинки 2, нижние витки которых плотно прижимаются к стенкам трубок, препятствуя «стеканию» катализатора вниз.
В реакторах для получения малеинового ангидрида регулирование температуры и зоне катализатора можно осуществлять при помощи кипящей бани или автоматических регуляторов, изменяющих количество поступающего хладагента в зависимости от изменения температуры в зоне катализатора. Автоматическое регулирование температуры контактирования без применения обычных терморегуляторов основано на использовании высококипящих жидкостей, в которые погружены катализаторные трубки. Жидкости кипят при температуре, определяемой давлением, при котором находится хладагент. При постоянном давлении температура кипения сохраняется неизменной независимо от возможного повышения температуры в зоне катализатора. В качестве хладагента применяют кипящую ртуть.
1
2
Рисунок 1 – Схема закрепления катализатора в контактных трубках.
Производительность реакторов со стационарным слоем катализатора составляет в большинстве случаев 3000—7000т малеинового ангидрида в год, а иногда достигает 9000 и даже 15800 т в год. Созданию аппаратов столь большой мощности способствовало, в частности, значительное усовершенствование методов сварки. Число трубок в одном аппарате достигает 5400 и более. По мере роста производительности реакторов увеличивалось и число трубок в одном аппарате.
До последних лет реакторы устанавливали внутри производственных помещений. Однако развитие техники автоматического и дистанционного контроля и регулирования технологических процессов обеспечило возможность установки реакторов вне зданий. Управление реакторами производится с центрального щита, монтируемого в закрытом помещении. При установке реакторов вне здания сокращаются затраты на их монтаж, а также улучшаются санитарно-гигиенические условия труда вследствие быстрого рассеивания тепла, отдаваемого реакторами в окружающую среду. При увеличении мощности аппаратов повышается их тепловая инерция и уменьшается чувствительность к изменениям температуры окружающего воздуха, что особенно важно при установке аппаратов вне здания.
Чтобы сократить потери тепла в окружающую среду и ускорить разогрев системы, реакторы и газоходы тщательно изолируют.
От вредного влияния атмосферных осадков термоизоляцию защищают кожухами из кровельной стали, лучше оцинкованной, Фланцы аппаратов и коммуникаций являются источниками значительных потерь тепла, поэтому при установке аппаратов вне здания фланцы также тщательно термоизолируют и защищают от атмосферных осадков.
Реакторы монтируют на отдельно стоящих фундаментах. Для обслуживания аппаратов на различных уровнях имеются легкие площадки, соединенные лестницами.
Непременным условием, обеспечивающим возможность установки реакторов вне здания, является тщательная отработка технологического процесса и высококачественное изготовление оборудования. Это обеспечивает безаварийную работу и исключает необходимость в частых ремонтах. При соблюдении этих условий нет никакой надобности в создании кровли или какого-либо шатра над реакторами.
При установке реакторов вне здания должна быть обеспечена высокая герметичность аппаратов и коммуникаций. В противном случае малеиновый ангидрид при контакте с атмосферными осадками будет гидратироваться до соответствующих кислот. Последние отличаются высокой химической агрессивностью по отношению к черным металлам и могут вызывать коррозию материала аппаратуры, коммуникаций и строительных конструкций.
Технологический процесс получения малеинового ангидрида.
Технологический процесс начинается с приготовления бензоловоздушной смеси, которая нагревается в теплообменнике до температуры 380-435С0 и поступает в реактор, в присутствии катализатора и давлении 0,2 атм.
Установлено, что в процессе эксплуатации катализатор медленно изменяет свои свойства. Рабочий цикл при этом составляет 2-3 года.
Продукты реакции проходят котел-утилизатор, теплообменник, который используется для подогрева бензоловоздушной смеси, и холодильник, попадают в конденсатор-сепаратор, где происходит конденсация большей части малеинового ангидрида. Газы, содержащие остаточное количество малеинового ангидрида и другие продукты реакции, подвергаются мокрой очистке в водном скруббере, где практически полностью улавливается малеиновый ангидрид. Раствор мелеиновой кислоты доводится в скруббере до концентрации 40%(масс.), затем подается на дегидратацию, где выделяется ангидрид-сырец. Схема технологических стадий показана в приложении А.
Наиболее важным аппаратом технологического процесса является химический реактор. В реакторе происходит образование целевого продукта, продолжительность рабочего цикла, зависящая от состояния катализатора, и производительность всего технологического процесса полностью определяются этим аппаратом.
2 ПОСТАНОВКА ЗАДАЧИ
В ходе разработки САПР должны быть решены следующие задачи:
- Построение структурной схемы САПР
- Построение функциональной схемы САПР
- Разработка математической модели трубчатого
реактора для получения малеинового ангидрида
- Постановка задачи оптимального проектирования и выбор метода ее решения
- Создание программы, реализующей решение задачи оптимального проектирования
- Разработка подсистемы ввода-вывода
- Разработка подсистемы выбора вспомогательного оборудования
- Разработка подсистемы визуализации
- Разработка подсистемы выбора катализатора
- Разработка подсистемы выбора хладагента
- Разработка подсистемы формирования документации
- Разработка информационно-поисковой подсистемы
3 ОБЩЕЕ ОПИСАНИЕ СИСТЕМЫ
Структуру разрабатываемой подсистемы САПР (приложение Б) можно представить в виде совокупности взаимодействующих друг с другом подсистем, каждая из которых выполняет строго определенную функцию.
- Подсистема ввода-вывода.
Диалог с пользователем осуществляется двумя системами: системой "заполнение бланка", которая служит для ввода необходимой информации и системой "меню", которая предлагает пользователю выбрать необходимый параметр. Пользовательский интерфейс осуществляет программа ввода-вывода.
Подсистема ввода-вывода функционирует на одном компьютере вместе с подсистемой формирования документации, подсистемой визуализации и информационно-поисковой подсистемой.
- Подсистема формирования документации.
Эта подсистема служит для создания технической документации. Техническая документация разрабатывается с использованием таких программных продуктов как AutoCad 2000 и MicroSoft Office 2000.
- Подсистема визуализации.
Подсистема визуализации необходима для графического отображения полученной информации. Непосредственно визуализацией данных занимается пакет прикладных программ визуализации.
Выбор компьютера для этих подсистем был основан на основе требований пакетов AutoCad, MS Office и операционной системы Windows 2000, которая в свою очередь выбрана из соображений безопасности и устойчивости. Поэтому для функционирования данных подсистем необходимы компьютер Pentium III 600 с винчестером 10 Gb и 128 Мбайт оперативной памяти, монитор SVGA 17”, источник бесперебойного питания Smart-UPS 420, CD-ROM Samsung 52x, мышь Genius Net Mouse 3x, клавиатура Mitsumi PS/2, принтер LaserJet 2100 и плоттер HP Disign Jet 430c.
- Информационно-поисковая подсистема.
Информационно-поисковая подсистема находится на одном компьютере с подсистемой решения задачи оптимального проектирования.
Эта подсистема предназначена для хранения и извлечения необходимой информации. Для реализации данной подсистемы необходим описанный выше компьютер, применяемый в диалоговой подсистеме.
Работа с базами данных осуществляет система управления базами данных Borland Interbase 5.0. Программа требует установку на данный компьютер администратора баз данных Borland Interbase 5.0 Server.
СУБД обеспечивает доступ к следующим базам данных:
- БД готовых проектов;
- БД насосов;
- БД фильтров;
- БД катализаторов;
- БД теплоносителей;
В данной СУБД применяются диалог типа "заполнение бланка" . Диалог данного вида применяется для заполнения соответствующей базы данных.
БД хранятся в распространенном формате dBase for Windows.
- Подсистема подбора вспомогательного оборудования.
Работа данной и последующих подсистем происходит на компьютере Pentium III-600, 10Gb, 128Мb RAM. Для создания подсистем также необходимы: монитор SVGA 15”, источник бесперебойного питания Smart-UPS 420, мышь Genius Net Mouse 3x, клавиатура Mitsumi PS/2. Выбор данной конфигурации компьютера обуславливается также, как и было описано выше, требованиями операционной системы и программных приложений.
Эта подсистема предназначена для подбора пользователем оптимальных элементов вспомогательного оборудования.
Она реализуется с помощью следующего пакета прикладных программ:
- программа подбора фильтра;
- программа подбора электродвигателя.
В работе подсистемы применяется диалог типа "меню" и типа "заполнение бланка"
- Подсистема выбора теплоносителя.
Данная подсистема необходима для выбора теплоносителя для реактора получения малеинового ангидрида посредством каталитического окисления бензола. Выбор теплоносителя обеспечивает программа выбора теплоносителя. Математическим обеспечением ей служит алгоритм выбора теплоносителя. Применяемый диалог с пользователем - диалог типа "меню" и типа "заполнение бланка".
- Подсистема выбора катализатора.
Данная подсистема предназначена для выбора катализатора для трубчатого реактора производства малеинового ангидрида. Это осуществляется с помощью программы выбора катализатора. Эта программа использует алгоритм выбора катализатора. Лингвистическое обеспечение для этой подсистемы служит - диалог типа "меню" ,а также диалог типа "заполнение бланка".
- Подсистема решения задачи оптимизации.
Данная подсистема реализуется с помощью следующих программ:
- программа для решения математической модели;
- программа для решения задачи оптимизации.
Данные программы написаны на объектно ориентированном языке программирования С++. При работе данная подсистема применяет диалог "вопрос-ответ" для утверждения полученного результата у пользователя и системы "заполнения бланков" и "меню" для коррекции исходных данных.
В данной подсистеме для решения поставленных задач применяются следующие методы решения:
метод конечных разностей, который используется для решения математической модели ;
метод Ньютона для систем нелинейных дифференциальных уравнений, который используется для решения задачи оптимального проектирования.
4 ОПИСАНИЕ МЕТОДИКИ АВТОМАТИЗИРОВАННОГО ПРОЕКТИРОВАНИЯ
Функциональная схема САПР представлена в приложении В.
На начальном этапе пользователю предлагается ввести исходные данные с помощью диалога типа "заполнения бланков" (для ввода необходимых данных) и диалога типа меню (для выбора необходимой точности). Эти данные проверяются на корректность. Затем по ним ищется готовый проект, если проект найден, то выводится вся графическая и текстовая документация согласно введенным данным.
В случае, если нет готового проекта для введенных данных, то выполняется поиск и расчет необходимой информации. Этот этап подразделяется на следующие этапы:
1) выбор теплоносителя (на этом этапе подбирается оптимальный теплоноситель);
2) выбор катализатора (здесь подбирается оптимальный катализатор);
3) решение математической модели статики и задачи оптимального проектирования;
4) анализ результатов оптимизации. Если данные приемлемы, то происходит переход на пункт 5, иначе данные корректируются и происходит переход на пункт 1;
5) подбор фильтра (здесь подбирается оптимальный фильтр);
6) подбор насоса (здесь подбирается оптимальный насос);
7) компоновка результатов проектирования;
8) сохранение готового проекта в базе данных готовых проектов;
9) формирование документации;
10) вывод результатов на печатающее устройство.
5 ОБЕСПЕЧЕНИЯ
5.1 Математическое обеспечение
Математическое обеспечение САПР - объединяет в себе математические модели проектируемых объектов, методы и алгоритмы выполнения проектных процедур. Для разработки многотоннажного производства малеинового ангидрида каталитическим окислением бензола целесообразно использовать методы математического моделирования /5,6/.
Математическая модель процесса позволяет определить оптимальные конструктивные и режимные параметры и разработать высокоэффективный промышленный реактор. Кинетическую модель окисления бензола в малеиновый ангидрид можно представить схемой, представленной на рисунке 2:
3 2 1 Б Q
М
где Б — бензол; М — малеинивый ангидрид; Q — продукты сгорания: 1, 2 и 3 — маршруты образования продуктов.
Рисунок 2 – Схема кинетического окисления бензола
Скорости образования продуктов определяются из выраженнй:
, (5.1)
где w1,w2 и w3 — скорости соответствующих стадий.
При выводе кинетических уравнений принимали дискретную неоднородность поверхности катализатора /7/. Последнюю можно представить состоящей из трех типов активных центров, различающихся энергией связи кислород — катализатор.
В процессе катализа происходят обратимая адсорбция окисляемого соединения на окисленной поверхности, взаимодействие адсорбированной молекулы с поверхностным кислородом и десорбция продукта. Протекание реакции тормозится органическими компонентами газовой фазы вследствие их обратимой адсорбции. Кислородные вакансии быстро заполняются кислородом из газовой фазы, вследствие этого наблюдается нулевой порядок по кислороду. В соответствии с указанными представлениями на основе теории стационарных реакций /8/ были выведены уравнения для расчета скоростей по маршрутам:
, (5.2)
Di=CQ,СM,СБ, (5.3)
где i — номер маршрута;
CБ - концентрация соответственно бензола;
СМ — концентрация малеинового ангидрида;
CQ – концентрация продуктов сгорания;
Ai,Bi,Di и Fi — константы скоростей i-гo маршрута.
Экспериментальные данные по скоростям образования продуктов были получены на лабораторном безградиентном мембранном реакторе.
Реактор для получения малеинового ангидрида из бензола представляет собой вертикальный трубчатый аппарат с неподвижным слоем катализатора. Объем тепла осуществляется расплавом солей, циркулирующим в межтрубном пространстве. При математическом моделировании нужно установить влияние изменения режимных и конструктивных параметров процесса на эффективность работы реактора. Кроме того, необходимо определить структуру математической модели, наиболее точно соответствующую экспериментальным данным, и найти математическую модель (описывающую с достаточной точностью процесс в реакторе), которую можно применить при оптимизации процесса.
На рисунке 3 изображена структурная схема объекта.
Трубчатый
реактор
C6H6 + O2 C4H2O3 + CO2 + H2O
Рисунок 3 - Структурная схема объекта.
Объект представляет собой «черный ящик», на вход которого подается бензоловоздушная смесь, а на выходе - малеиновый ангидрид в смеси с водой и углекислым газом.
5.1.1 Принятие допущений
- В связи с тем, что длина реактора значительно превышает его диаметр, будем использовать гидродинамическую модель “Идеальное вытеснение”.
- Плотность реакционной смеси не меняется по длине трубы.
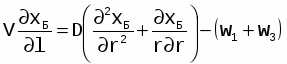
5.1.2 Математическая модель
w1
В проектируемом объекте происходят следующие реакции:
w2
C6H6 + 4О2 2C4H2O3,
w3
C4H2O3 + 2O2 СО2 + 2СО2 + Н2О, (5.4)
C6H6 + 6О2 3СО + 3СО2 + 3Н2О
Кинетику этих реакций уравнений можно представить в виде:
,
,
, (5.5)
,
xБ = СБ/Со,
хМ = CМ/Co,
хQ = CQ/Со
Граничные условия:
,
,
,
, (5.6)
,
,
0 < r R,
0 < l L
Кинетические константы:
A1 = 2,6127 с—1,
А2 = 0,2079 с—1,
A3 = 0,3189 с—1,
B1 = 5,1413 м3/(моль*с),
B2 = 4,6351 м3/(моль*с),
В3 = 0.8173 m3/(моль*с), (5.7)
F1 = 0,0056 м3/(моль*c),
F2 = 0,0219 м3/(моль*c),
F3 = 0,0121 м3/(моль*c),
D1 = 0,1328 м3/(моль*с),
D2 = 0,1085 м3/(моль*с),
D3 = 0,0678 м3/(моль*с)
где co — начальная концентрация бензола;
l — координата по длине трубки;
Ср — объемная теплоемкость потока;
hi — тепловые эффекты стадий;
К — коэффициент теплопередачи через стенку трубки;
- коэффициент теплопередачи от стенки к хладагенту;
Тх — температура хладагента;
Т — температура катализатора;
dtр — диаметр трубки;
V — линейная скорость газа;
D - коэффициент эффективной радиальной диффузии;
r — координата по радиусу трубки;
L – максимальная длина трубки;
R – максимальный радиус трубки.
Для peшeния системы уравнений (5.5) использовали конечно разностный метод. Время расчета 2 - 10 секунд.
5.1.3 Метод решения уравнений математической модели
Полученную систему дифференциальных уравнений (5.2) второго порядка будем решать по конечно разностной схеме , так как метод конечных разностей является одним из эффективных методов решения систем нелинейных дифференциальных уравнений /9/.
5.1.4 Выбор варьируемых параметров и критерия оптимизации
Концентрация малеинового ангидрида - СМ(t,l,r) это функция, зависящая от температуры смеси t, длины l и радиуса трубы рактора r. Из-за свойств катализаторов, взрыво- и пожаробезопасности малеинового ангидрида, увеличения проскока бензола температурный режим задают. Таким образом будем варьировать только длину l и радиус r трубок реактора.
Критерием оптимизации выбрана выходная концентрация малеинового ангидрида исходя из предположений, что на стоимость производства в основном влияет себестоимость сырья.
Таким образом необходимо найти такое значения длины l и радиуса трубы реактора r , при которой концентрация малеинового ангидрида СM будет максимальной.
5.1.5 Постановка задачи оптимального проектирования
Найти l и r трубы реактора производства малеинового ангидрида, при которых CМ max,
уравнения связи:
,
,
, (5.8)
,
xБ = СБ/Со,
хМ = CМ/Co,
хQ = CQ/Со
Граничные условия:
,
,
,
, (5.9)
,
,
0 < r R,
0 < l L
Кинетические константы:
A1 = 2,6127 с—1,
А2 = 0,2079 с—1,
A3 = 0,3189 с—1,
Е1 = 11503,5 кал/моль,
Е2 = 24913,7 кал/моль,
E3 = 19744.1 кал/моль, (5.10)
B1 = 5,1413 м3/(моль*с),
B2 = 4,6351 м3/(моль*с),
В3 = 0.8173 m3/(моль*с),
F1 = 0,0056 м3/(моль*c),
F2 = 0,0219 м3/(моль*c),
F3 = 0,0121 м3/(моль*c),
D1 = 0,1328 м3/(моль*с),
D2 = 0,1085 м3/(моль*с),
D3 = 0,0678 м3/(моль*с)
5.1.6 Описание метода оптимизации.
Методом оптимизации был выбран метод Ньютона. Метод Ньютона является одним из самых эффективных методов второго порядка /10/.
Идея метода в следующем – в окрестности имеющегося приближения хn исходная задача заменяется некоторой вспомогательной линейной задачей.
Последняя задача выбирается так, чтобы погрешность замены имела более высоки порядок малости чем первый в окрестности имеющегося приближения. За следующее приближение принимают решение этой же вспомогательной задачи. Метод Ньютона записывается в виде:
(5.11)
так, как
, (5.12)
то
(5.13)
, (5.14)
(5.15)
где H(x) – матрица Гессе,
- градиент функции f(x).
5.1.7 Результат оптимизации
В результате решения задачи оптимизации с точностью 0.0001 были получены следующие данные: оптимальная длина l = 2,0246 м, диаметр трубы реактора d = 0,0223 м при концентрации С = 0,6816 моль/м3. Точка оптимума показана в приложении Г.
Экспериментальные данные были получены в интегральном реакторе с длиной трубки 3 м и радиусом 0.025 м при температуре хладагента 410°С и начальной концентрации бензола 0,9 моль/м3. Результаты опытов показали, выходная концентрация малеинового ангидрида составляет 0.5936 моль/м3; расчетные данные при этих условиях: выходная концентрация 0.5885 моль/м3. Это свидетельствует о том, что данная модель позволяет достаточно точно воспроизвести результаты экспериментов.
При сравнении экспериментальных данных с данными, полученными в результате оптимизации было отмечено ,что разработанный трубчатый реактор превосходит по концентрации малеинового ангидрида аналогичные существующие реакторы на 5-8%.
5.2 Техническое обеспечение
Техническое обеспечение САПР - представляет собой совокупность взаимосвязанных и взаимодействующих технических средств, предназначенных для выполнения автоматизированного проектирования.
Для продуктивной работы необходимо обрабатывать данные с максимальной скоростью. Для обеспечения быстрого доступа к ним, требуются быстрые каналы связи. Кроме этого комплекс технических средств должен обеспечивать ввод и вывод, контроль, хранение, восстановление и модификация информации. Выполнение расчетных работ, обеспечение диалога с пользователем. Поэтому в качестве вычислительной техники было решено взять персональные компьютеры на базе семейства процессоров Pentium III. Многие САПР базируются на этих машинах. Огромное количество фирм в данный момент занимаются изготовлением программного обеспечения и периферийного оборудования для компьютеров этого класса. Компьютеры имеют открытую модульную структуру и позволяют модернизировать их с минимальными затратами. Помимо всех перечисленных достоинств они имеют достаточную производительность при сравнительно низкой цене. А это является немаловажным критерием при выборе технических средств.
Быстродействие - одно из преимуществ нового процессора, а также новые инструкции для быстрых «интеллектуальных» вычислений. Процессор Pentium III отличается от своих предшественников наличием семидесяти новых инструкций, названных потоковыми SIMD - расширениями Internet. Плоды такой новой разработки сделали доступным программистам, применяющих новые инструкции, создание еще боле производительных программ. Это нововведение может оказаться очень полезным в широком ряде приложений.
Из всего многообразия, предоставленного фирмой Intel, мной выбраны следующие модели: PentiumIII-600, SDRAM128Mb, HDD10Gb, FDD3,5 , 8Mb; PentiumIII-600, SDRAM64Mb, HDD10Gb, FDD3,5, 4Mb.
Предлагаемая в данном разделе техника предлагается из соображений экономии и качества работы. Теоретически возможно использование всех компьютеров семейства IBM PC-совместимых компьютеров, на которых будет функционировать используемая операционная система - Windows 2000, а также следующие программные продукты: графическая система подготовки чертежей AutoCAD 2000, оболочка для объектного языка программирования Borland Delphi 4.0, пакет программ редактирования текстовой информации и доступа к данным Microsoft Office 2000 и сервисных программ для работ в сети. Также данные компьютеры должны обеспечивать быстродействие этих программ.
Для работы с программой AutoCad 2000 дисплей должен иметь достаточно высокое разрешение и рекомендуемый объем видеопамяти должен быть не менее 8 Мбайт для поддержки максимальной разрешающей способности дисплея. Все это необходимо для реализации графических возможностей, предоставляемые операционной системой Windows 2000 , поэтому был выбран дисплей SVGA 17”, который поддерживает большинство видеорежимов и обеспечивает необходимое качество изображения.
Рассмотренное оборудование является компактным, занимает мало места, не требовательно к микроклимату в помещении и не требуют специальной отдельной комнаты для их установки.
Персональные компьютеры объединены в локальную вычислительную сеть. Необходимость использование локальной вычислительной сети обуславливается следующими факторами:
- осуществляется быстрый обмен данными между станциями, что необходимо для эффективного функционирования САПР.
- возможность использования в САПР только одного графопостроителя, подключенного к одной из станций, в результате чего отпадает необходимость устанавливать графопостроители в каждом отделе. При этом значительно снижаются затраты на приобретение технических средств.
- блокировка файлов и записей, защита информации, создание буферов печати и обеспечение связи между процессами, повышение производительности поддержкой аппаратных и программных средств различных поставщиков. Обоснование выбора: сеть обладает высокой производительностью, поддерживается операционными системами Windows NT (95, 98, ME, 2000), UNIX, Linux, FreeBSD и отличается высокой скоростью передачи данных.
Краткие технические характеристики ЛВС:
топология - общая шина;
скорость передачи данных - 10 Мбит/с;
количество станций - до 30;
удаленность - до 185 м.
В качестве среды передачи данных используется коаксиальный кабель РК-50, который обеспечивает высокую помехозащищенность сети. При отказе работы одной из станций работоспособность всей сети сохраняется. На каждой станции устанавливается сетевой адаптер.
Для вывода на печать текстовой документации выбран лазерный принтер HP Laser Jet 2100.
Краткие технические характеристики HP Laser Jet 2100:
разрешение - 1440 dpi;
быстродействие - 8 стр/мин;
память - 1 – 8 Мб.
То обстоятельство, что в принтере использована лазерная технология печати позволяет быстро выводить на печать изображения самого высокого качества. Принтер подключается к параллельному порту (LPT) компьютера через соединительный кабель, входящий в комплект принтера. Возможно подключение к последовательному (COM) порту.
Устройство ввода "мышь" необходимo при работе с операционной системой Windows 2000, пакетом AutoCad. Устройство ввода "мышь" подключается к последовательному порту компьютера.
В состав одной из станций (подсистема ввода-вывода) входит плоттер. В проекте применен рулонный плоттер Disign Jet 430c фирмы Hewlett Packard, модель 330А1. Плоттер HP Disign Jet 430c может подключаться как к последовательному, так и к параллельному порту компьютера.
Плоттер занимает мало места, при этом позволяет выводить чертежи формата А1,A2,A3,A4.
Краткие технические характеристики графопостроителя HP Disign Jet 430c:
- шаг вычерчивания - 0,025 мм ;
- скорость приема данных - 1200,2400,5800,9600 Бод.
С целью надежной работы технических средств компьютеры подключаются к питающей сети через блок бесперебойного питания мощностью 200 Вт. Современные компьютеры и мониторы, как правило, оборудованы системой Green Star, которая позволяет экономить энергию при длительной работе компьютера в автономном режиме. Для большего количества станций или в случае необходимости подключения к блоку бесперебойного питания других устройств (принтера, плоттера и т.д.) необходимо либо увеличить количество UPS, либо заменить его на более мощный.
5.3 Программное обеспечение
5.3.1 Общесистемное программное обеспечение
Программное обеспечение САПР - объединяет программы для систем обработки данных на машинных носителях и программную документацию, необходимую для эксплуатации программы.
Для работы проектируемой САПР взята операционная система Windows 2000 , которая входит в специальное программное обеспечение.
Используемая в разрабатываемой системе автоматизированного проектирования 32-разрядная операционная система Windows 2000 фирмы Microsoft обладает следующими возможностями: поддержка многозадачности, современный интерфейс с пользователем, поддержка сетевых возможностей, поддержка переносимости данных из одной программы в другую, поддержка 32-разрядных приложений.
Краткие технические данные для операционной системы:
- разрядность операционной системы - 32;
- минимальный объем памяти для работы - 64 Мб;
- режим многозадачности;
- защищенный режим работы;
- поддержка длинных имен файлов.
Прикладное программное обеспечение состоит из программ, которые реализуют следующие функции: решение математической модели, решение задачи оптимизации, подбор вспомогательного оборудования, подготовка и вывод документации,.
Общесистемное программное обеспечение, позволяющее осуществлять качественную работу как технических средств, так и программных продуктов, состоит из операционной системы Windows 2000.
Широкое распространение больших компьютерных сетей и потребность пользователей во взаимодействии и совместном использовании централизованных БД привели к тому, что сетевое программное обеспечение (ПО) из разряда полезного перешло в разряд необходимого. Подключившись к одной или нескольким сетям, операционная система (ОС) может повысить свои вычислительные мощности и возможности доступа к данным, разрешить пользователям взаимодействовать и совместно использовать данные, а также предоставить приложениям такие возможности, которое отдельно взятая ОС не могла бы обеспечить. Чтобы все перечисленное было реализовано эффективно, сетевое ПО встроено в ОС Windows 2000 и работает на равных правах с остальными частями исполнительной системы .
Windows 2000 представляет несколько сетевых интерфейсов, которые дают ей возможность подключаться к различным типам вычислительных систем.
Средства для распределения приложений, включая RPC и механизмы коммуникаций между процессорами, позволяют разработчикам приложений полнее использовать сетевые компьютеры, перекладывая на другие машины задачи требующие большого объема вычислений, и работая с удаленными ресурсами, как с локальными.
Благодаря своим широким возможностям ОС Windows 2000 может превращать простой настольный компьютер в расширяющуюся сеть вычислительных ресурсов.
Операционная система Windows 2000 позволяет осуществлять совместную работу различных внешних устройств и компьютера. Одним из достоинств интерфейса Windows 2000 является его универсальность, единый подход при работе с различными прикладными программами. После определения в среде Windows 2000 используемых устройств соответствующие установки для отдельных программ выполнять уже не нужно.
Windows 2000 допускает использование многозадачного режима, при котором, можно, например «заимствовать» часть изображения из одной программы и вставить ее в другу.
5.3.2 Прикладное программное обеспечение
Сложность математического обеспечения и методов принятия решений обусловили создание большого комплекса прикладных программ. Каждая из восьми подсистем в соответствии со своей спецификой имеет в своем составе необходимое программное обеспечение.
Так для подсистемы ввода-вывода исходных данных необходима программа, в которой реализуется ввод всей необходимой для проектирования информации, создание технического задания на проектирование , а также проводится экспертная оценка введенных данных на предмет целесообразности проектирования. От правильности и полноты введенных данных зависит весь дальнейший ход процесса проектирования. Поэтому в процессе автоматизированного проектирования этому этапу оказывается большое внимание в плане создания максимально дружеского интерфейса для пользователя.
В информационно-поисковую подсистему входит программа формализации данных, т.е. введенные данные преобразуются в формат, используемый в расчетных подсистемах. Возможно возникновение ситуации, что требуемая пользователю модель уже создана, поэтому нет необходимости делать одну и ту же работу дважды. Чтобы такие ситуации не возникали создана программа поиска аналогов. Первым делом, после оформления технического задания, мы проверяем не был ли когда-либо уже создан такой проект. В случае положительного ответа, пользователю выводится необходимая графическая и текстовая документация, иначе выводится сообщение, что в БД готовых проектов аналог найден не был.
В подсистеме решения задачи оптимизации используется программа расчета математической модели. Так как проектируемые модели должны быть не только оптимальными по размерам, но и одновременно энергоэкономичными, то необходима программа расчета оптимальных параметров трубок реактора. В частности это такие параметры как длина и радиус.
Подсистема формирования документации целиком и полностью предназначена для подготовки и вывода документации, поэтому для этих целей и используются: программа формирования и корректировки чертежей; программа формирования текстовой информации.
Исходный текст программ содержится приложении Д.
5.4 Информационное обеспечение
Информационное обеспечение САПР - объединяет в себе данные, необходимые для выполнения автоматизированного проектирования.
Основу системы организации и ведения информационного обеспечения САПР составляют системы управления базами данных (СУБД) и функционирующие в их среде базы данных. Систему ведения информационного обеспечения в целом можно охарактеризовать как банк данных - специальным образом организованное хранилище данных, в котором содержатся документы, описывающие стандартные проектные процедуры, типовые проектные решения, типовые элементы, а также другие данные, необходимые для проектирования.
Автоматизированный банк данных - система технических, информационных, математических, программных, лингвистических и организационных средств, предназначенных для централизованного накопления и коллективного многоаспектного использования данных. В автоматизированном банке данных часть функций реализуется программно-техническим персоналом. Концепция банка данных в целом и базы данных в частности ориентирована на реализацию рационального технологического процесса ведения и работы с данными в условиях развития фондов данных и использующих их приложений.
Потенциальные возможности банка данных при обеспечении эффективной поддержки и развития фондов данных, можно практически осуществить только при условии оптимальности выбора параметров организации базы данных, проводимого на этапе проектирования.
Решение задач рационального конструирования баз данных предполагает учет специфики конкретной предметной области, состояние которой отражается содержанием базы данных, а также множества факторов, определяющих функционирование механизмов архитектуры представления данных в СУБД.
Основу системы организации и ведения информационного обеспечения САПР составляют системы управления базами данных (СУБД) и функционирующие в их среде базы данных. Систему ведения информационного обеспечения в целом можно охарактеризовать как банк данных - специальным образом организованное хранилище данных, в котором содержатся документы, описывающие стандартные проектные процедуры, типовые проектные решения, типовые элементы, а также другие данные, необходимые для проектирования.
Для создания этих баз данных применялась система управления базами данных InterВase 5.0, которая удовлетворяет следующим требованиям:
- информационная совместимость проектирующих и обслуживающих подсистем САПР;
- возможность наращивания БД;
- обеспечение целостности данных;
СУБД применяет реляционную организацию баз данных, т.е. базы данных представляются в виде таблицы.
5.4.1 Общее описание необходимого информационного обеспечения
База данных представляет собой основное хранилище необходимой информации. Это открытая система, позволяющая изменять количество и структуру БД.
В процессе проектирования САПР трубчатых реакторов необходим следующий перечень основных баз данных:
- БД готовых проектов;
- БД фильтров;
- БД катализаторов;
- БД хладагентов;
- БД электродвигателей.
- В базе данных готовых проектов содержится информация, которая была получена в результате работы совокупности всех программ. Эти данные представляют собой список введенных параметров уже созданных моделей реакторов. Пользователь может просмотреть эти данные как пример или выбрать наиболее подходящие данные по уже созданной модели, т.е. получить уже готовый проект.
- БД фильтров содержит исчерпывающую информацию о том, какие из них можно применять в моделях реакторов при проектировании.
БД содержит следующие поля: наименование, мощность, тип, радиус улавливаемых частиц, мощность, степень очистки.
- БД катализаторов представляет собой информацию, содержащую следующие поля: название катализатора, состав, температура плавления.
- БД хладагентов реализуется следующая информация, которая представляется такими полями как наименование, состав и температура плавления.
- БД электродвигателей содержит информацию об электродвигателях в полях: наименование, мощность, номинальный вращающий момент.
5.5 Лингвистическое обеспечение
Лингвистическое обеспечение САПР - совокупность языков, применяемых для описания процедур автоматизированного проектирования и проектных решений.
Для корректной эксплуатации проектируемой системы автоматизированного проектирования необходима диалоговая подсистема ввода - вывода, которая обеспечивает интерфейс между компьютером и пользователем.
Любая САПР является человеко-машинной системой, главной задачей которой является облегчение труда людей: конструкторов, проектировщиков, чертежников. В связи с этим одним из важных критериев разрабатываемой САПР является удобство взаимодействия человека с ЭВМ. Их диалог должен строиться на взаимопонимаемых выражениях.
Задача разработчика системы автоматизированного проектирования максимально упростить работу человека, и в то же время предоставить ему все возможные средства для плодотворной работы. Лингвистическое обеспечение не упростит вычисление формул, однако сделает процесс проектирования удобным и понятным как для специалиста-проектировщика, так и для любого пользователя САПР.
Основные средства взаимодействия человека и машина - это различные диалоговые системы. САПР трубчатых реакторов для производства малеинового ангидрида использует следующие типы диалога:
1) диалог типа "меню".
Данный тип меню показан на рисунке 4. На начальном этапе работы САПР в подсистеме ввода и анализа исходных данных пользователю предоставляется возможность выбрать из меню необходимый порядок действий, т.е. осуществить ведение БД или начать оптимизационный расчет, порядок ввода данных.
Выбор в данном меню прост и не требует специальной подготовки. Для выбора значения, соответствующему определенному параметру, можно осуществлять при помощи мыши или клавиши "Tab".
Рисунок 4 - Диалог типа "меню"
Данная система организована следующим образом: на экран выводится меню и пользователю предлагается выбрать один из предложенных ему пунктов.
Диалог типа "меню" удобен для реализации любой программы. Посредством этого диалога большинство программ общаются с пользователем. С помощью него можно, например, быстро выбрать любую подсистему, закрыть программу, получить справочную информацию.
2) диалог "заполнения бланков".
Рисунок 5 - Диалог типа "заполнение бланка".
Пример данного диалога показан на рисунке 5
Этот вид диалога необходим для заполнения табличной информации.
Ввод информации пользователь может следующим образом:
- заполнение таблицы в произвольном порядке, удобном для пользователя ;
- возможность корректировки любой графы таблицы;
- постраничный просмотр вводимых данных;
- возврат к ранее введенным данным и их корректировка.
При вводе проверяется тип вводимых данных. Часть пунктов в бланках заполняются автоматически на основании уже введенной информации пользователем. Это перечень введенных параметров, приемлемые значения габаритных размеров проектируемой модели реактора и точности.
6. ОХРАНА ТРУДА
Охрана труда и безопасность жизнедеятельности является одним из важнейших вопросов при проектировании, а также при создании нормальных климатических условий для работы оборудования.
Все многообразие законодательных актов, мероприятий и средств, включенных в понятие охраны труда, направлено на создание таких условий труда, при которых воздействие на работающих опасных и вредных производственных факторов сведено к минимуму.
Труд рабочих и служащих должен быть организован таким образом, чтобы каждый трудящийся по своей специальности и квалификации имел закрепленное за ним рабочее место, своевременно, до начала работы, был ознакомлен с его содержанием. Необходимо, чтобы условия труда были здоровыми и безопасными, оборудование и инструменты исправными. Необходимо строго соблюдать требования техники безопасности и производственной санитарии.
Помещения ВЦ, их размеры (площадь, объем) должны в первую очередь соответствовать количеству работающих и размещаемому в них комплексу технических средств. В них предусматривают соответствующие параметры температуры, освещения, чистоты воздуха, обеспечивают изоляцию от производственных шумов.
Электрические установки, к которым относятся практически все оборудование ЭВМ, представляют для человека большую потенциальную опасность, так как в процессе эксплуатации или проведения профилактических работ человек может коснуться частей, находящихся под напряжением. Специфическая опасность электроустановок: токоведущие проводники, корпуса стоек ЭВМ и прочего оборудования, оказавшегося под напряжением в результате повреждения (пробоя) изоляции, не подают каких-либо сигналов, которые предупреждали бы человека об опасности. Реакция человека на электрический ток возникает лишь при протекании последнего через тело человека.
6.1 Общие санитарно-гигиенические требования к устройству ВЦ
Стоит отметить, что помещения ВЦ и их размеры должны соответствовать количеству работающих людей и размещенному в них комплексу технических средств. При проектировании ВЦ необходимо учитывать такие параметры, как температура, освещение, чистота воздуха, изоляция от производственных шумов и т.д.
Согласно санитарным нормам СН 245-71, объем производственного помещения на одного работающего должен составлять не менее 15 м3; площадь помещения выгороженного стенами или глухими перегородками не менее 4.5 м2.
К помещениям машинного зала предъявляются особые требования.
Высота зала на технологическим полом до подвесного потолка должна быть 3–3.5м. Расстояние между подвесным и основным потолками при этом должно быть 0.5–0.8м. Высоту подпольного пространства принимают равной 0.2–0.6м (при прокладке в нем воздуховодов – не менее 0.3м, а при наличии только кабелей – не менее 0.15–0.2м.).
6.2 Неблагоприятные факторы и средства защиты от них
Существует множество неблагоприятных факторов, которые присутствуют на различного рода предприятиях, в том числе и на ВЦ, и влияют не только на физическое состояние, но и как следствие этого – на производительность труда. К таким неблагоприятным факторам относятся: шумовое воздействие, вибрация, электрические и магнитные поля, электромагнитные поля, статическое напряжение и т.п.
Рассмотрим подробнее воздействие этих факторов на человека и средства борьбы с ними.
Шум оказывает на человека вредное физиологическое действие, которое заключается не только в повреждении слухового аппарата, но и в отрицательном влиянии на нервную систему, вызывая замедление психологических реакций. Под влиянием шума значительно снижается производительность труда, причем снижается тем больше, чем сложнее трудовой процесс и чем больше в нем элементов умственного труда, который, как известно, преобладает на ВЦ. Шум на рабочих местах персонала и в производственных помещениях создается внутренними источниками шума: техническими средствами (моторами лентопротяжных механизмов, печатающими устройствами, особенно матричными, устройствами подготовки данных и т.д.), встроенными вентиляторами, центральными установками вентиляции и кондиционирования воздуха, преобразователями напряжения и т.д. Стоит отметить, что на современном этапе развития техники вычислительные центры могут использовать малошумные технические средства, т.к. в последнее время производителями вычислительной и бытовой техники этому моменту уделяется большое внимание, однако, проблема шума на некоторых ВЦ все еще имеет место. Для измерения и исследования шума служат такие устройства, как шумомеры. Исследования показали, что шум вреден человеку начиная с уровня 65-70 дБ. Вредное влияние шума увеличивается в связи с длительным его воздействием, что имеет место в условиях работы на ВЦ.
Наиболее эффективным мероприятием по борьбе с шумом на ВЦ является, конечно, рассредоточение устройств, издающих особенно громкие звуки и шумы, по отдельным помещениям, а также отделение помещений с высоким уровнем шума от других помещений с высоким уровнем шума от других помещений звукоизолирующими перегородками.
Производственный шум на ВЦ можно снизить также с помощью специальных архитектурно-планировочных решений: шумогасящих элементов конструкции двойного пола и подвесного потолка. В качестве дополнительных мер защиты от шума машинных залов рекомендуется специальная облицовка стен и колонн звукопоглощающими перфорированными щитами с прокладкой из пористых поглотителей шума. Звукопоглощающая облицовка стен и потолков при этом должна выполняться из несгораемых или трудно сгораемых материалов. Благодаря применению такой облицовки стен уровень шума снижается на 6 дБ, т.е. сила звука уменьшается примерно на 30 %.
Помимо акустических колебаний, передающихся по воздуху, на ВЦ могут присутствовать также и механические колебания, передающиеся через конструкции и почву. Эти колебания называются вибрацией. При достаточно больших амплитудах колебаний, вызванных неуравновешенным положением машин, у человека возникают ощущения вибрации или сотрясения. Под воздействием вибрации происходит изменение в нервной и костно-суставной системах, повышение артериального давления и т.д. Измерение вибрации производится электрическим виброметром. Защита от вибрации заключается в их устранении, т.е. при установке оборудования необходимо особое внимание уделять уравновешиванию положения машин. Возможно также использование специальных подставок и ковриков для устранения незначительной вибрации.
Одним из самых актуальных для ВЦ неблагоприятных факторов является электромагнитное излучение. Электромагнитное поле можно рассматривать, как состоящее из 2-х полей: электрического и магнитного. Можно также считать, что в электроустановках электрическое поле возникает при напряжениях на токоведущих частях, а магнитное – при прохождении тока по этим частям. Допустимо считать, что при малых частотах, в том числе 50 Гц, электрическое и магнитное поля не связаны, поэтому их можно рассматривать раздельно, как и оказываемое ими влияние на человека. Известно, что в любой точке электромагнитного поля поглощенная человеком энергия магнитного поля примерно в 50 раз меньше поглощенной им энергии электрического поля. Механизм биологического действия на организм человека изучен недостаточно. Известно, что нарушение регуляции физиологических функций организма обусловлено воздействием на различные отделы нервной системы. Наряду с биологическим действием электрическое поле обуславливает возникновение разрядов между человеком и металлическим предметом, имеющим иной, чем человек, потенциал. Очевидно, что прикосновение человека к металлическому предмету сопровождается прохождением через человека в землю разрядного тока, который вызывает болезненные ощущения и иногда сопровождается искровым разрядом. Зачастую ток, проходящий через человека может достигать опасных для жизни значений. Компьютер является основным источником низкочастотного электромагнитного излучения, которое считается наиболее опасным. Самым надежным способом защиты от этого вида излучения является использование стеклянных фильтров для мониторов, которые, в свою очередь, защищают и от электростатического заряда и от бликов на экране. Большинство фильтров из класса “Полная защита” изготавливаются из специального кристаллического стекла с добавками и дополнительными покрытиями.
6.3 Анализ потенциальной опасности на проектируемом объекте
Как уже отмечалось выше, работники ВЦ сталкиваются с воздействием таких физических опасных и вредных производственных факторов, как повышенный уровень шума, повышенная температура внешней среды, отсутствие или недостаток естественного света, недостаточная освещенность рабочей зоны, электрический ток, статическое электричество и др. Многие сотрудники ВЦ связаны с воздействием таких психофизиологических факторов, как умственное перенапряжение, перенапряжение зрительных и слуховых органов, монотонность труда, эмоциональные перегрузки и т.д.
Воздействие всех этих факторов приводит к снижению работоспособности и к различным осложнениям в восприятии внешних воздействий. Длительное нахождение человека в зоне комбинированного воздействия различных неблагоприятных факторов может привести к профессиональному заболеванию.
Как показывает анализ травматизма среди работников ВЦ, несчастные случаи в основном происходят от воздействия физических опасных производственных факторов при заправке носителя информации на вращающийся барабан при снятом кожухе, а также при выполнении сотрудниками несвойственных для них работ (погрузочно-разгрузочных, монтаж оборудования и др.). На втором месте – случаи, связанные с воздействием электрического тока.
В современных ЭВМ очень высокая плотность размещения элементов электронных схем, а также присутствует близкое расположение соединительных проводов и кабелей. При протекании по ним электрического тока выделяется значительное количество теплоты, что может привести к повышению температуры и плавлении изоляции проводов, их оголению, короткому замыканию и следствием этого может стать пожар.
6.4 Общие требования безопасности к оборудованию ВЦ
Конструктивные элементы интерьера вычислительного центра должны отвечать не только эстетическим требованиям, но и требованиям безопасности. К основным конструктивным элементам, необходимым для нормального функционирования ВЦ и обеспечения безопасности относятся: подвесные потолки, обшивка стен, остекленные перегородки из алюминиевого профиля, полы, различные конструктивные детали (карнизы, пристенные доски, радиаторные щиты и т.д.).
Потолки во всех производственных помещениях необходимо выполнять в виде подшивной и подвесной конструкции, снабженной звукопоглощающим и светорассеивающим покрытием. Подвесной потолок выполняет одновременно две функции: с одной стороны, выступает в роли несущей и декоративной конструкции здания, а с другой – служит для равномерного распределения приточного воздуха и звукопоглощающим экраном.
В конструктивных решениях подвесных потолков предусматриваются варианты установки и крепления различных светильников, как встроенных, так и подвесных. Вес светильников и других устройств должен передаваться на несущие элементы подвесного потолка. Светильники крепятся к потолку, а пространство, образуемое между покрытием здания и подвесной конструкцией высотой 300-800мм, используется для размещения воздуховодов, электросиловых и сигнальных кабелей, устройств противопожарной автоматики.
6.4.1 Ограждения, блокировочные и предохранительные устройства
Ограждения, блокировочные и предохранительные устройства выполняют функции защиты от многих неблагоприятных факторов и возможных опасных ситуаций, к которым относятся поражение электрическим током и пожары.
В качестве материалов звукоизолирующих ограждений используются строительные материалы (кирпич, стеклоблоки), а также дерево и твердые пластмассы. Их звукоизолирующая способность зависит от размеров, массы, материала конструкций, числа слоев, наличия сквозных отверстий, проемов, а также от спектра шума. Низкочастотные шумы требуют тяжелых конструкций, а высокочастотные шумы могут устраняться сравнительно тонким ограждением.
Для защиты от воздействия электрического тока при пробое изоляции используются устройства непрерывного контроля за изоляцией. При снижении сопротивления изоляции до предельно допустимой величины прибор подает звуковой или световой сигнал. К блокировочным устройствам электробезопасности можно отнести устройства защитного отключения (УЗО), принцип действия которых заключается в постоянном контроле некоторой входной величины, связанной с параметрами электробезопасности, сравнении ее с нормативной и отключение контролируемой электроустановки от сети при повышении входной величиной нормативной.
Для противопожарной безопасности также используют оградительные конструкции, блокировочные и предохранительные устройства.
На ВЦ для предотвращения распространения огня с одной части здания на другую устраивают противопожарные преграды в виде противопожарных стен, перегородок, перекрытий, зон, тамбур-шлюзов, дверей, окон, люков, клапанов. Для обнаружения, оповещения и ликвидации пожаров используют системы автоматической пожарной и охранно-пожарной сигнализации, а также автоматические установки пожаротушения и системы противодымной защиты зданий повышенной этажности.
6.4.2 Разводка информационных и силовых сетей
Для обеспечения ВЦ электроэнергией необходимо иметь основной и резервный кабельные вводы.
При установке компьютеров в машинном зале кабели прокладывают по одному из следующих вариантов:
1) кабель укладывают в канал, который предусматривается в полу, сверху канал накрывают съемными листами. Такой способ прокладки кабеля является трудоемким и ограничивает перестановку существующего или установку нового оборудования, но распространен из-за своей сравнительной простоты исполнения;
2) прокладывают кабель по поверхности пола с соответствующей защитой его от повреждения. При этом способе прокладки кабеля портится общий вид пола, появляется опасность поражения обслуживающего персонала электрическим током и т.д.;
3) пропускают кабель через отверстие в полу; кабель до отверстия прокладывается по нижней части перекрытия. При этом способе отсутствует необходимая гибкость в случае перестановки ЭВМ.
Стоит заметить, что питание оборудования комплекса ЭВМ от электросети освещения должно быть запрещено. В залах ЭВМ, где при наладочных и ремонтных работах могут применяться электропаяльники, следует произвести разводку сети на напряжение 6 и 36В и установить розетки. Кабели, не относящиеся к залам ЭВМ и помещений архивов машинных носителей информации, не должны прокладываться через данные залы и помещения. Подводка питания к устройствам ЭВМ ведется в каналах или под съемными полами.
В каждом помещении, где устанавливается электронно-вычислительное оборудование, предусматриваются отдельные устройства одновременного включения и отключения оборудования от электросети.
6.5 Классификация объекта по взрывной, взрывопожарной и пожарной опасности
Пожарная опасность производственных зданий и помещений определяется особенностями выполняемого в них технологического процесса, свойствами применяемых веществ и материалов, а также условиям их обработки. По взрывопожарной и пожарной опасности помещения и здания подразделяются на категории А, Б, В, Г и Д. Вопрос отнесения производства к той или иной категории является исключительно важным, т.к. от этого зависит принятие соответствующих нормативов по огнестойкости строительных конструкций, планировке зданий, оснащенности устройствами противопожарной защиты и др.
Проектируемый объект относится к категории пожарной опасности В, т.к. в помещении ВЦ находятся твердые горючие и трудно горючие вещества и материалы, в том числе и пыли. Существует также несколько классов пожароопасности: П-I,П-II,П-IIа и П-III. В данном случае объект относится к классу пожароопасности П-III из-за наличия горючих твердых веществ.
6.6 Электробезопасность
На ВЦ основное оборудование представляет собой электроустановки, которые представляют собой реальную опасность поражения электрическим током. Опасность поражения электрическим током может возникнуть в результате нарушения правил по эксплуатации, а также случайного прикосновения без защитных средств к токоведущим частям или металлическим нетоковедущим частям, оказавшимся под напряжением из-за неисправности изоляции или заземляющих устройств, и т.п. Особую опасность представляют корпуса стоек ЭВМ и другого оборудования. Реакция человека на электрический ток возникает только при протекании тока по телу человека.
Исключительно важное значение для предотвращения электротравматизма имеет правильная организация обслуживания действующих электроустановок ВЦ, проведение ремонтных, монтажных и профилактических работ.
6.6.1 Характеристика используемой электроэнергии
ВЦ отличается большим разнообразием используемых видов сетей, уровнем их напряжения и рода тока. Так, основное питание ВЦ осуществляется от трехфазной сети частотой 50 Гц, напряжением 380/220 В. Для питания же отдельных устройств используются однофазные сети как переменного, так и постоянного тока с напряжением от 5 до 380 В.
Наибольшую опасность представляет двухполюсное (двухфазное) прикосновение. Однако, как показывает анализ случаев электротравматизма при эксплуатации промышленных установок, двухполюсное касание встречается относительно редко. Значительно чаще имеет место однополюсное (однофазное) прикосновение в изолированных и глухо-заземленных сетях.
Проходя через тело человека, электрический ток оказывает на него сложное воздействие, вызывая термическое, электролитическое, механическое и биологическое действие. Любое из перечисленных воздействий тока может привести к электрической травме, т. е. к повреждению организма, вызванному воздействием электрического тока.
Как показывает статистика электротравматизма, в исходе поражения током большое значение имеет его путь. Поражение будет более тяжелым, если на пути тока оказываются сердце, грудная клетка, головной и спинной мозг.
6.6.2 Классификация помещения по опасности поражения электрическим током
Электрооборудование ВЦ в основном относится к установкам напряжением до 1000В, исключение составляют лишь экранные пульты, дисплеи, электронно-лучевые трубки которых имеют напряжение в несколько киловольт.
Окружающая среда помещения, в котором находится оборудование ВЦ, воздействует на электрическую изоляцию приборов, устройств, электрическое сопротивление тела человека и может создавать условия для поражения обслуживающего персонала электрическим током. В этом отношении различают производственные помещения с повышенной опасностью, особо опасные и без повышенной опасности.
К помещениям с повышенной опасностью относят помещения, характеризующиеся наличием в них одного из условий: относительная влажность воздуха длительно превышает 75% (сырое помещение); имеется токопроводящая пыль; повышенная температура воздуха (выше +35С); возможность одновременного прикосновения человека к имеющим соединение с землей металлическим конструкциям зданий, с одной стороны, и к металлическим корпусам электроустановок или токоведущим частям, с другой; токопроводящие полы.
Особо опасными являются помещения, имеющие повышенную влажность, так называемые особо сырые помещения, в которых относительная влажность воздуха близка к 100% (потолок, стены, оборудование покрыты влагой), или содержащие постоянно химически активную среду, которая разрушает изоляцию электрооборудования, а также помещения, в которых возможно одновременное действие двух условий, определяющих помещение с повышенной опасностью.
В данном случае проектируемый объект относится к помещениям без повышенной опасности, т.к. в нем отсутствуют условия, создающие повышенную или особую опасность.
6.6.3 Меры электробезопасности, используемые в проекте
Известно, что применение только одних организационных и технических мероприятий по предупреждению поражения электрическим током не может в полной мере обеспечить необходимую электробезопасность при эксплуатации электроустановок. Существует ряд технических средств защиты от поражения электрическим током. К таким средствам относятся защитное заземление, защитное зануление, выравнивание потенциалов, защитное отключение, электрическое разделение сети, двойная изоляция и т.д.
В данном проекте в качестве средства защиты от поражения электрическим током было выбрано защитное заземление.
Защитное заземление – это преднамеренное электрическое соединение с землей или ее эквивалентом металлических нетоковедущих частей, которые могут оказаться под напряжением. Под защитным заземлением понимают совокупность заземлителя и заземляющих проводников. Различают искусственные и естественные заземлители. В качестве естественных заземлителей используют стальные трубопроводы, металлические оболочки кабелей, железобетонные фундаменты и т.д. Искусственные же выполняются из горизонтальных или вертикальных проводников.
6.6.4 Расчет заземляющего контура
Проектом предусматривается групповой тип заземления, выполненный из горизонтальных электродов, уложенных параллельно друг другу на одинаковой глубине. Вид заземлителя – горизонтальная полоса, длиной (L) – 50м, сечением (ВxH) - 30x5мм, глубина размещения в грунте (h) - 0.4м, измеренное удельное сопротивление грунта (ризм) 400Ом*м.
Расчет заземляющего контура заключается в следующей последовательности шагов:
Вычисление сопротивления контурного заземления в однородной земле:
, (6.1)
ррасч = ризм* Ψ (6.2)
где Ψ – сезонный коэффициент, определяемый и из справочной литературы.
В данном случае для II климатической зоны и горизонтального электрода длиной 50 м коэффициент Ψ=3.
ρрасч = 400*3 = 1200 Ом*м
Определение сопротивления группового контура:
(6.3)
где n - число полос (неизвестно);
m - коэффициент использования параллельно уложенных горизонтальных полос (определяется из справочной лиитературы).
Стоит отметить, что значение ρгп не должно превышать значение 4 Ом.
Определяем ориентировочно количество полос по формуле:
n≈ρго/ρгп=58.25/4 =14.56 ≈15 (6.4)
Для горизонтального электрода длинной 50м при расстоянии между полосами в 2.5м, коэффициент использования полос равен 0.23.
Уточняем количество полос, необходимых для безопасного заземляющего контура:
(6.5)
6.7 Производственное освещение
К современному освещению ВЦ предъявляются высокие требования как гигиенического, так и технико-экономического характера. Правильно спроектированное и выполненное освещение обеспечивает высокий уровень работоспособности, оказывает положительное психологическое воздействие на работающих, способствует повышению производительности труда. На производстве используется два вида освещения: естественное и искусственное.
При проектировании естественного и искусственного освещения помещений надлежит руководствоваться требованиями строительных норм и правил. Нормативным документом по искусственному освещению являются СНиП II-А.9-71, согласно которым определяется разряд зрительных работ и нормы освещенности, и СНиП II-А.4-71, по которому общее искусственное освещение, предназначенное для постоянного пребывания людей, должно обеспечиваться газоразрядными лампами.
6.7.1 Расчёт естественного освещения
Естественное освещение подразделяют на боковое одностороннее или двустороннее, осуществляемое через окна; верхнее, через аэрационные и зенитные фонари; комбинированное.
На ВЦ, как правило, применяют одностороннее боковое естественное освещение. В машинных залах дисплеи должны располагаться подальше от окон и желательно сбоку.
Нормирование естественного освещения выполняется по коэффициенту естественного освещения:
к.е.о. = Eр/Ен, (6.6)
где Ер – освещенность рабочего места, Лк;
Ен –освещенность вне помещения (на улице),Лк.
В России различают 5 световых зон. Тамбовская область находится в 3-ей зоне, которая является базовой.
Для того чтобы рассчитать естественное освещение необходимо знать площадь помещения. Минимальная площадь помещения определяется как:
S = SminN, (6.7)
где Smin - норма площади, т.е. минимальная площадь на одного работника;
N - количество работающих в помещении.
Для рабочего помещения конструкторского бюро Smin=7м2; количество человек, эксплуатирующих разрабатываемую САПР равно 2. Для обеспечения большего комфорта выберем площадь на одного работника в размере 10 м2:
S=10*2=20 м2.
Высоту помещения с учётом оптимальных условий примем H=3,5м.
Рассчитаем объём помещения:
V=S*H=20*3,5=70м3. (6.8)
Проверим соответствие объёма помещения заданной норме:
Vmin=V/N=70/2=35м3>15м3, (6.9)
следовательно высота помещения выбрана верно.
Из условия соотношения сторон помещения 1:1,5 определим длину и ширину помещения:
S=(1,5*B)*B, (6.10)
откуда ширина помещения равна:
, (6.11)
длина соответственно равна:
A = S/B = 20/4 =5м. (6.12)
Рассчитаем высоту остекления:
H0 = Н-0,8-0,3 = 3,5-0,8-0,3 = 2,4м, (6.13)
где Н - высота помещения;
0,3м - расстояние от потолка;
0,8м - расстояние от пола.
Переплет проемов - алюминиевый двойной.
Рассчитаем площадь световых проемов:
S0=Sп*lmin*0*kl/(100*0*r1), (6.14)
где Sп - площадь пола помещения, 20м2;
lmin - нормированная минимальная величина К.Е.О. для бокового освещения 2%;
0 - световая характеристика окна и отношения длин сторон, 16;
kl - коэффициент, учитывающий затенение окон противостоящими зданиями, 1,3;
0 - общий коэффициент светопропускания, зависящий от загрязненности воздуха помещения, положения остекления, вида переплетов окон, 0,3;
rl - коэффициент, учитывающий отражение света от стен и потолка, 5,5.
S0=20*2*16*1,3/(100*0,3*5,5)=5м2
Вычислим длину остекления:
L0 = S0/H0 = 5/2,4 = 2,1м < 8м (6.15)
следовательно применяем неполное остекление.
6.7.2 Расчет искусственного освещения
Норма освещенности для разряда зрительной работы IVa Ен=300Лк. Затенения рабочих мест нет.
Используем потолочные светильники типа УСП 35 с двумя люминесцентными лампами типа ЛБ-40, световой поток 3120Лм, мощность лампы 40Вт, напряжение питания 220В, 50Гц.
Находим расчетную высоту светильника над рабочим местом:
h=H-hc-hp, (6.16)
где hc- расстояние от потолка до светильника, равное 0,2м;
hp - высота стола, равная 0,8м.
Подставляя соответствующие значения в вышеуказанную формулу получаем высоту подвеса равную:
h=3,5-0,2-0,8=2,5м.
Расстояние между светильниками:
Светильники располагаются параллельно короткой стороне помещения в несколько рядов.
Lc=1,1·*h (6.17)
Подставляя соответствующие значения в эту формулу получим:
Lc=1,1*2,5=2,75м.
Расстояние между стенами и крайними рядами светильников:
Lck=(0,3*0,5)*Lc (6.18)
При Lc=2,75м это расстояние составит 1,3м.
Число рядов светильников nр:
nр=B/Lc (6.19)
Получаем число рядов светильников nр=4/2,752.
Индекс помещения:
(6.20)
где S - площадь помещения;
h - расчетная высота подвеса;
А и B - длина и ширина помещения.
Получаем:
Из справочных данных находим - коэффициент использования излучаемого светильниками светового потока при коэффициентах отражения:
- от потолка 70%;
- от стен 50%;
- от пола 10%;
- = 0.39.
Число светильников в ряду nc:
, (6.21)
где k - коэффициент запаса при искусственном освещении газоразрядными лампами помещений обыкновенных и жилых зданий (учитывается запыленность светильника), равный 1,5;
z - коэффициент неравномерности освещения, Z = 1,2;
Фс - световой поток от одной лампы;
n - число ламп в светильнике.
Округляя в большую сторону до ближайшего целого числа, принимаем nc=3.
Общая длина светильников в ряду.
Длина одного светильника УСП 35 с двумя лампами ЛБ-40 равна 1,27м. Отсюда общая длина светильников в ряду составит 3,83м. Светильники в ряду будут располагаться на расстоянии:(5-3,83)/5=0,3м от стен помещения и друг друга.
Фактический световой поток ФФ:
(6.22)
Подставляя соответствующие значения, получаем:
Фф=3076,92Лм
Отклонение светового потока:
(6.23)
Отклонение 9,11% допустимо (не превышает 10%), следовательно, выбранную схему искусственного освещения можно принять к исполнению.
Вычислим мощность осветительной установки:
P = Pл*n*nс*nр (6.24)
P = 40*2*3*2 = 480Вт.
6.8 Кондиционирование
Под кондиционированием воздуха понимается процесс поддержания параметров воздушной среды в допустимых пределах, который обеспечивает надежную работу ЭВМ, длительное хранение носителей информации и комфортные условия работы обслуживающего персонала.
Технические особенности работы ЭВМ требуют специального подхода к выбору, проектированию и эксплуатации устройств кондиционирования воздуха.
Так как в машинном зале ВЦ выделяется большее количество теплоты, чем в административных помещениях, то кондиционеры работают в течение всего года только на охлаждение.
При организации кондиционирования воздуха на ВЦ ставятся более жесткие ограничения в отношении температуры, влажности и содержания пыли в воздухе и учитывается возможность использования пространства под технологическим полом и над подвесным потолком.
Микроклимат производственных помещений определяется действующими на организм человека сочетаниями температуры, влажности и скорости движения воздуха. Для создания и подержания оптимального искусственного микроклимата в помещениях, отвечающего санитарно-гигиеническим и технологическим требованиям, применяется кондиционирование воздуха.
Расчет кондиционирования.
Определение суммарного количества избыточного тепла:
, (6.25)
где - тепловыделение от электрооборудования;
- тепловыделение от людей;
- тепловыделение от солнечной энергии через остекленные проемы;
- тепловыделение от искусственного освещения.
Определение избыточного тепла от работающего оборудования
, (6.26)
где N - суммарная мощность электрооборудования в кВт.
, (6.27)
где k1 = 0,7 - коэффициент использования АРМ;
k2 = 0,4 - коэффициент использования принтера;
k3 = 0,2 - коэффициент использования плоттера;
NАРМ = 0,42кВт - потребляемая мощность АРМ;
Nпр. = 0,12кВт - потребляемая мощность принтера;
Nпл. = 0,15кВт - потребляемая мощность плоттера;
n1 = 2 - количество АРМ;
n2 = 1 - количество принтеров;
n3 = 1 - количество плоттеров.
N = 2*0,42*0,7 + 1*0,12*0,4 + 1*0,15*0,2 = 1,01кВт,
QЭл = 860*1,01 = 868,6 ккал/час.
Определение тепловыделения от людей, занятых в процессе проектирования можно определить по следующей формуле:
, (6.28)
где n - число сотрудников, занятых проектированием;
Q1 - тепловыделение от одного человека, равное 70ккал/час (при t=20°С физически легкой работе).
При численности персонала - три человека, находим, что Qл равно 210 ккал/час.
Определение тепловыделения от солнечной энергии через остекленные проемы:
, (6.29)
где FО - площадь стеклового покрытия окна, FО=SО;
q0 - величина солнечной радиации, поступающей через 1м2 поверхности остекления. Для окон с двойным остеклением и алюминиевым переплетом q0=145Ккал/час;
- коэффициент, зависящий от поверхности остекления.
Для обычно загрязненного стекла =0,8. Итак находим:
Qост = 7,6*145*0,8 = 881,6ккал/час.
На 50м2 площади помещения приходится 1кВт тепловыделения от освещения.
NОсв = 30/50 = 0,6кВт,
QОсв = 0,6кВт*860 = 529ккал/час
Определяем общего избыточного тепла:
Q = 868,6+210+881,6+529 = 2490ккал/час.
Определение величины необходимого воздухообмена:
(6.30)
где с = 0.24ккал/кг, теплоемкость сухого воздуха;
= 1.205кг/м3, Плотность проточного воздуха;
tв = 23оС, температура воздуха внутри помещения;
tн = 15оС, температура воздуха, поступающего из кондиционера.
Подставляя в вышеуказанную формулу соответствующие значения, получаем:
W = 1076,2м3/час
Определение кратности воздухообмена К:
, (6.31)
где V - объем помещения.
Так как К больше 1 делаем вывод о необходимости кондиционирования воздуха.
Выбор кондиционера.
Кондиционер БК-1500 типа КБ-05-01.93, оконный. Технические характеристики:
- производительность по воздуху - 200м3/час;
- производительность по холоду - 1500ккал/час.
Определение необходимого количества кондиционеров.
Q/QХ=2490/1500=1,66
где QХ - производительность выбранного кондиционера по холоду.
Делаем вывод, что для поддержания необходимого микроклимата в помещении достаточно двух кондиционеров БК-1500.
6.9 Средства пожаротушения
Существует множество способов тушения пожаров. К ним относятся: охлаждение горящих веществ путем нанесения огнетушащих средств (воды, пены и др.); разбавление концентрации горючих веществ инертным газом (азотом, углекислым газом); изоляция горящих веществ от зоны горения нанесением пены, песка, кошмы; химическое торможение реакции горения путем орошения флегматизирующими веществами. Эффективность этих методов зависит от стадии развития пожара, масштабов загорания, особенностей горения материалов.
Стоит отметить, что применение установок тушения пожара с использованием воды, пены и сухих химических порошков на ВЦ нежелательно из-за наличия дорогостоящей аппаратуры.
В данном проекте предусмотрено наличие ручных углекислотных огнетушителей ОУ-5. Такие огнетушители обычно устанавливаются в помещениях ВЦ из расчета один огнетушитель на 40-50м2 площади, но не менее двух в помещении. Так как площадь проектируемого объекта составляет 30м2, то двух огнетушителей на помещение ВЦ будет достаточно.
Обязательным средством ликвидации пожаров в начальной стадии являются также пожарные краны, которые устанавливаются в коридорах, на площадках лестничных клеток, у входов т.е. в доступных и заметных местах. Напор воды должен обеспечивать радиус действия, достаточный для достижения наиболее удаленной и возвышенной части здания, но не менее 6 м.
На ВЦ необходимы также устройства пожарной автоматики, которые предназначены для обнаружения, оповещения и ликвидации пожаров. Они включают в себя системы автоматической пожарной и охранно-пожарной сигнализации, автоматические установки пожаротушения (АУП), системы противодымной защиты зданий повышенной этажности. Стоит отметить, что нежелательно использовать водяные, водно-химические и пенные автоматические установки пожаротушения из-за наличия дорогостоящего оборудования. Для тушения пожара на ВЦ следует применять газовые АУП, которые снабжаются звуковой и световой предупредительной сигнализацией. В качестве газа в них используется фреон. Для расчета необходимого количества АУП используют формулу:
m=V*qн*k, (6.32)
где V = 30м3 – объем помещения;
qн = 0.22кг/м3 – нормативная массовая огнетушащая концентрация вещества для помещений с категорией В;
k = 1.2 – коэффициент потери хладона.
m = 30*0.22*1.2 = 7.92
Таким образом, в проектируемом помещении ВЦ необходимо установить 8 устройств автоматического пожаротушения.
7. ТЕХНИКО-ЭКОНОМИЧЕСКОЕ ОБОСНОВАНИЕ ПРОЕКТА
САПР трубчатых реакторов для производства малеинового ангидрида предназначена для замены уже существующего процесса ручного проектирования.
Для подтверждения целесообразности внедрения САПР необходимо рассчитать экономический эффект, то есть тот дополнительный доход, который можно получить при внедрении САПР. Этот эффект определяется отношением полученного результата к затратам, вызвавшим этот результат. Экономический эффект рассчитывается за определенный расчетный период. Расчетный период включает в себя несколько временных отрезков, которым соответствуют определенные капитальные вложения:
- предпроизводственные капитальные вложения;
- единовременные капитальные вложения;
- текущие эксплуатационные затраты.
Начинается расчетный период в момент открытия финансирования научно-исследовательских работ, а заканчивается в момент окончания периода эффективного функционирования.
Период эффективного функционирования определяется в первую очередь моральным износом. Он зависит от вида продукта и от технического уровня. Для САПР период эффективного функционирования составляет ta=2 года.
В зависимости от степени новизны создаваемой САПР, возможны два варианта:
- создание принципиально новой САПР для объектов, ранее не выпускаемых и не используемых в промышленности;
- создание САПР, заменяющей соответствующий процесс ручного проектирования.
Разрабатываемая в данной работе САПР соответствует второму варианту.
В этом случае для расчета экономического эффекта возможны два подхода:
- количество проектов за год как в условиях ручного, так и автоматизированного проектирования принимаются одинаковыми и определяются исходя из условий полной загрузки комплекса САПР;
- количество проектов, разрабатываемых за год с использованием САПР, превышает количество проектов при ручном проектировании за счет снижения трудоемкости разработки одного проекта.
Будем вести расчет исходя из второго подхода. В этом случае расчетная формула эффекта имеет вид:
, (7.1)
где Зг1, Зг2 - годовые затраты до и после внедрения графической подсистемы САПР, соответственно, руб.;
Рг1, Рг2 - годовой результат (стоимость реализованных проектов) до и после внедрения подсистемы, соответственно, руб.;
Кр - норма реновации основных фондов, определяемая с учетом фактора времени;
Ен - норматив приведения разновременных затрат и результатов, численно равный коэффициенту эффективности капитальных вложений (Ен = 0,15).
Норма реновации основных фондов определяется по формуле:
, (7.2)
где tсл - срок службы подсистемы (1-2 года).
Принимаем tсл = 2 года. Получаем по формуле (7.2) Кр=0,5.
Годовые затраты определяются по формуле:
, (7.3)
где Иг - годовые текущие издержки при моделировании объектов, руб.;
Кt - единовременные затраты, руб.;
Кпр - предпроизводственные затраты, руб.;
аt = 1; at1 = 1,15 - коэффициенты приведения к текущему году.
При автоматизированном моделировании в составе годовых затрат учитываются:
- Иг - годовые затраты на стадии разработки моделей в условиях графической подсистемы без учета амортизационных отчислений, руб.;
- Кt - затраты на приобретение комплекса технических средств графической подсистемы САПР, руб.;
- Кпр - затраты на создание комплекса технических и программных средств, руб.
При ручном моделировании в составе годовых затрат учитываются только затраты на стадии моделирования макета (Иг).
Стоимость реализованных проектов рассчитывается по формуле:
, (7.4)
где Цпр - цена проекта, руб.;
N - количество реализуемых проектов в год, шт.
Расчет единовременных затрат.
При определении единовременных затрат известно, что организация не располагает необходимыми техническими средствами для создания графической подсистемы САПР и их требуется приобрести.
Величина единовременных затрат определяется по формуле:
, (7.5)
где К0 - капитальные затраты на основные средства вычислительной техники, руб.;
КВ - капитальные затраты на вспомогательное оборудование, руб.;
КС - капитальные затраты на строительные работы, связанные с внедрением графической подсистемы САПР, руб., принимаем равным 0;
1,133 - коэффициент, учитывающий затраты на доставку и монтаж основного и вспомогательного оборудования.
Капитальные затраты на основные средства определяются из сметы спецификаций которые показаны в таблице 7.1:
Таблица 7.1 - Смета спецификаций
Наименование
технических средств
Количество,
шт
Цена,
Руб
Стоимость,
руб
АРМ на базе Pentium III 600/10Gb/8Mb AGP/CD-ROM 52x
1
21200
21200
АРМ на базе Pentium III 600/10Gb/4Mb AGPx
1
20100
20100
Плоттер HP Design Jet 430c
1
11190
11190
Принтер HP Laser Jet 2100
1
45000
45000
Источники бесперебойного питания SMART-UPS 420
2
550
1100
Итого
98590
Получаем Ко = 98590 руб. Капитальные затраты на вспомогательное оборудование можно принять в размере 10% от капитальных затрат на основные средства.
Кв = 0,1*98590 = 9859 руб.
Кс = 0
Kt = (98590 + 9859)*1.133 = 122873 руб.
Расчет стоимости одного машино-часа работы комплекса технических средств САПР.
Стоимость часа машинного времени рассчитывается по формуле:
, (7.6)
где Зэкс - сумма затрат по эксплуатации средств вычислительной техники, руб.;
Тэф - эффективный фонд времени работы оборудования (за год), руб.
Сумма затрат на эксплуатацию средств вычислительной техники определяется по формуле:
, (7.7)
где Зм = 985,90 руб. - затраты на основные и вспомогательные материалы (в размере 1% от стоимости оборудования), руб;
Зэ - затраты на электроэнергию, руб.;
Зз - затраты на зарплату работников (с учетом отчислений на социальные нужды в размере 35,6%), руб.;
За - сумма годовых амортизационных отчислений, руб.;
Зрто - затраты на ремонт и техническое обслуживание оборудования, руб.;
Зпр - прочие расходы, руб.
Затраты на электроэнергию рассчитываются по формуле:
, (7.8)
где Мi - установленная мощность i-го вида оборудования, квт. (таблица 7.2);
Тэфi - эффективный фонд времени работы i-го вида оборудования (за год), час.;
Цквт/ч - цена одного киловатт-часа электроэнергии, руб. cоставляет 0,63 руб.;
Км - коэффициент использования мощности, равный 0,9.
Таблица 7.2 - Затраты электроэнергии устройствами
-
Наименование
технических средствMi,
Квт
Tэф i,
Час
АРМ на базе Pentium III 600
0,42
1500
Принтер HP Laser Jet 2110
0,12
500
Плоттер HP Desk Jet 430c
0,12
750
ИПБ Smart-UPS 420
0,05
1500
Зэ = (0,42*1500*2 + 0,12*750 + 0,05*1500*2 +
+ 0,12*500)*0,605*0,9 = 850 руб.
Затраты на зарплату персонала определяются по формуле:
, (7.9)
где Омес i - месячный оклад работника i-й квалификации, руб.;
Чi - численность работников i-й квалификации, чел.;
12 - число месяцев в году;
Ксс - коэффициент, учитывающий начисления на заработную плату (отчисления на социальные нужды), равный 1,356.
Данные для расчета берутся из штатного расписания подразделения (таблица 7.3).
Таблица 7.3 – Таблица штатного расписания подразделения
Профессия
Численность, чел.
Оклад, руб.
Инженер-cистемотехник
1
2500
Инженер-дизайнер
1
2000
Инженер-конструктор
1
2000
Итого
3
6500
Зз = 12*1,356*(2500 + 2000 + 2000) = 105768 руб.
Сумма годовых амортизационных отчислений определяется по формуле:
, (7.10)
где НО, НВ - нормы амортизации на реновацию для основного и
вспомогательного оборудования, соответственно.
В соответствии с существующим законодательством нормы амортизации установлены в следующих размерах - НО = 10%, НВ= 20%.
Затраты на ремонт определяются в соответствии с нормой отчислений на ремонт, которую можно принять в размере 16% от основных капитальных вложений.
Зрто = 11830*0,16 = 1893 руб.
Прочие расходы принимаются в размере 1% от основных капитальных вложений.
Зпр = 0,01*98590 = 985,9 руб.
Зэкс = 774,35 + 1233,3 + 105768 + 9292,2 + 12389,6 + 774,35 =
= 122312,8 руб.
Определяем по формуле (7.6) Цмч (Тэф i из таблицы 7.2 равно 10250 час):
Цмч = 122312,8/10250 = 11,9 руб/час.
Расчет предпроизводственных затрат.
Предпроизводственные затраты на создание САПР определяются по формуле:
) , (7.11)
где Тпс - трудоемкость разработки программных средств графической подсистемы САПР, человеко-дни, 254;
Цмч - цена одного машино-часа работы комплекса вычислительной техники, руб.;
Омес - средний месячный оклад разработчика САПР (с учетом отчислений на социальные нужды в размере 35,6%) , руб.;
0,3 и 0,7 - коэффициенты распределения общих затрат времени на работу машины и разработчика САПР;
25,4 - среднее число рабочих дней в месяце, дни.
Кпр = 254*(0,3*11,9*8 + 0,7*1,356*2000/25,4)=26238 руб.
Затраты на ручное и автоматизированное моделирование.
Стоимость ручного моделирования определяется по формуле:
, (7.12)
где Трi - трудоемкость i-го этапа моделирования, час;
Омес - средний месячный оклад специалиста по макетированию (с учетом отчислений на социальные нужды в размере 35,6%), руб.
Омес = 1,356*3000 = 4068 руб.
Ср = 1/25.4*4068*1000 = 140175,50 руб.
Стоимость автоматизированного моделирования определяется по формуле:
, (7.13)
где Труч - трудоемкость ручных операций моделирования, человеко-часы;
Омес - средний месячный оклад моделировщика (с учетом отчислений на социальные нужды в размере 35,6%),руб.;
Тмаш - трудоемкость операций моделирования с использованием программно-технического комплекса САПР, машино-часы;
Цмч - цена одного машино-часа работы комплекса вычислительной техники, руб.
Труч = 250 человеко-часов
Тмаш = 200 машино-часов
Цмч = 11,9 руб.
ССАПР = 250*1,356*2000/25.4 + 200*11,9
ССАПР = 29072 руб.
Расчет годовых текущих издержек на разработку проекта.
Годовые текущие издержки при ручном моделировании вычисляются по формуле:
, (7.14)
где Ср - стоимость ручного моделирования, руб.;
N - число проектов, шт.
При ручном моделировании в год реально выполнить 2 проекта.
Иr = 160157,50*2 = 320315 руб.
Для ручного моделирования Цпр = 500000 руб. По формуле (7.4):
Рг = 500000*2 = 1000000 руб.
При ручном моделировании в составе годовых затрат учитываются только затраты на стадии разработки проекта (Иг).
Годовые текущие издержки при автоматизированном моделировании вычисляются по формуле:
, (7.15)
где За - сумма годовых амортизационных отчислений, руб.;
ССАПР - стоимость автоматизированного моделирования, руб.;
N - число проектов, шт.
Принимаем N = 5 шт.
За = 11830 руб.
Иr = 29233*5 – 11830 = 134335 руб.
Для автоматизированного моделирования Цпр=250000 руб. По формуле (7.4):
Рг = 250000*5 =1250000 руб.
Годовые затраты определяются по формуле (7.3):
Зг = 134335 + (0,5 + 0,15)*122873*1 + 26238*1,15*0,15 =
= 218728 руб.
По формуле (7.1) рассчитаем экономический эффект от внедрения САПР:
Эт = (1250000-218728)/0,65-(1000000-320315)/0,65 =
= 370722 руб.
Экономический эффект от внедрения САПР составил 370722 руб., что подтверждает необходимость разработки САПР. В таблицу 7.4 занесены технико-экономические показатели разработки САПР
Таблица 7.4 - Технико-экономические показатели разработки САПР.
Показатели
Ед.изм
До внед-
рения
САПР
После внедре-ния САПР
Измене-
ние показат.,%
Количество проектов
шт
2
5
150
Стоимость проекта
руб
500000
250000
-50
Стоимостная оценка результатов
руб
1000000
1250000
25
Предпроизводственные затраты
руб
26238
Единовременные затраты
руб
122873
Стоимость разработки проекта
руб
140175
29233
-79
Годовая стоимостная оценка затрат
руб
292247
218728
-25
Экономический эффект
руб
370722
ЗАКЛЮЧЕНИЕ
В результате выполнения дипломного проекта был выполнены следующие разработки:
- Поставлена задача на проектирование;
- Построена структурная схема САПР;
- Построена функциональная схема САПР;
- Разработана математическая модель трубчатого реактора;
- Поставлена задача оптимального проектирования и создана программа ее решающая;
- Разработана подсистема ввода-вывода;
- Разработана подсистема визуализации;
- Разработана информационно-поисковая подсистема;
- Разработана подсистема выбора вспомогательного оборудования;
- Разработана подсистема выбора катализатора;
- Разработана подсистема выбора хладагента;
- Разработана подсистема формирования документации.
Разработанная САПР позволяет проектировать реакторы синтеза малеинового ангидрида. Главным достоинством данной САПР является повышение качества малеинового ангидрида, значительное облегчение труда проектировщика, уменьшение затрат при проектировании.
СПИСОК ИСПОЛЬЗУЕМЫХ ИСТОЧНТКОВ
1. Молдавский Б.Л., Кернос Ю.Д., Малеиновый ангидрид и малеиновая кислота, Л. «Химия», 1976;
2. Муша Ж.Э., Гиллер С.А., Шиманская М.В. и др., Получение малеинового ангидрида парофазным окислением бензола. Л., «Химия», 1978;
3. Гуревич Д.А., Фталевый ангидрид, М. «Химия», 1968;
4. Темкин М.И. Научные способы подбора и производства катализаторов. Новосибирск. «Наука», 1964;
5. Литовка Ю.В., Кузнецов А.А., Моделирование и оптимизация технологических объектов в САПР: Лаб. практимум. Тамбов, ТГТУ, 1996;
6. Балакирев В.С., Воронов Н.В., Глазырин И.М., Ермаков Н.Н., Малыгин Е.Н., Определение коэффициентов математической модели реактора окисления бензола до малеинового ангидрида, Труды ТИХМа, Тамбов 1971;
7. Горелик А.Г, Балакирев В.С., Любарский А.Г., Ермаков Н.Н., Малыгин Е.Н., Вопросы математического моделирования и оптимизации реактора получения малеинового ангидрида из бензола, в сб. «Всесоюзная конференция по химическим реакторам», Новосибирск, 1971;
8. Иоффе И.И., Любарский А.Г. «Кинетика и катализ», 1962;
9. Самарский А., Сеточные методы. М., «Наука», 1979;
10. Иванов А.В., Численные методы. Л. «Мир», 1984.
ПРИЛОЖЕНИЕ А
СХЕМА ТЕНОЛОГИЧЕСКИХ СТАДИЙ
ПРИЛОЖЕНИЕ Б
СХЕМА САПР СТРУКТУРНАЯ
ПРИЛОЖЕНИЕ В
СХЕМА САПР ФУНКЦИОНАЛЬНАЯ
ПРИЛОЖЕНИЕ Г
РЕЗУЛЬТАТ ОПТИМИЗАЦИИ
Нравится материал? Поддержи автора!
Ещё документы из категории информатика:
Чтобы скачать документ, порекомендуйте, пожалуйста, его своим друзьям в любой соц. сети.
После чего кнопка «СКАЧАТЬ» станет доступной!
Кнопочки находятся чуть ниже. Спасибо!
Кнопки:
Скачать документ