Решение задач исследования операций



























































Курсовая работа
по дисциплине
Исследование операций
Руководитель:
Плотникова Н. В.
«____» ___________ 2005 г.
Автор:
Студент группы ПС-346
Попов А. Е..
«____» ___________ 2005 г.
Работа защищена
с оценкой
«____» ___________ 2005 г.
Оглавление
1 Условия задач 3
2 Решение задач исследования операций 4
2.1 Решение задачи 1 4
2.2 Решение задачи 2 8
2.3 Решение задачи 3 12
2.4 Решение задачи 4 17
1 Условия задач
2 Решение задач исследования операций
2.1 Решение задачи 1
Для составления математической модели задачи введём переменные:
– количество горючего, доставляемое со склада A на бензоколонку 1
– количество горючего, доставляемое со склада A на бензоколонку 2
x3a – количество горючего, доставляемое со склада A на бензоколонку 3
x1b – количество горючего, доставляемое со склада B на бензоколонку 1
x2b – количество горючего, доставляемое со склада B на бензоколонку 2
x3b – количество горючего, доставляемое со склада B на бензоколонку 3
x1c – количество горючего, доставляемое со склада C на бензоколонку 1
x2c – количество горючего, доставляемое со склада C на бензоколонку 2
x3c – количество горючего, доставляемое со склада C на бензоколонку 3
На складах A, B, C находится 90, 60, 90 тонн горючего соответственно, следовательно, можно записать:
На каждую заправку нужно оправить одинаковое количество горючего, равное (90+60+90)/3:
В соответствии со стоимостями перевозок запишем целевую функцию, которую необходимо минимизировать:
Имеем классическую транспортную задачу с числом базисных переменных, равным n+m–1 , где m–число пунктов отправления, а n – пунктов назначения. В решаемой задаче число базисных переменных равно 3+3-1=5.
Число свободных переменных соответственно 9-4=4.
Примем переменные x1a, x1b, x2a, x2с, x3с в качестве базисных, а переменные x1c, x2b, x3а, x3b в качестве свободных (данный выбор позволяет легко выразить базисные переменные через свободные).
Далее в соответствии с алгоритмом Симплекс метода необходимо выразить базисные переменные через свободные:
Следующий шаг решения – представление целевой функции через свободные переменные:
В задании требуется найти минимум функции L. Так как коэффициент при переменной x1c меньше нуля, значит найденное решение не является оптимальным.
Составим Симплекс таблицу:
bi
x3a
x2b
x3b
x1c
L
630
-10
-3
1
-1
0
-4
4
1
-1
x1a
20
-10
0
1
-1
0
-1
1
1
-1
x1b
60
0
0
0
1
0
1
0
0
0
x2a
70
10
1
-1
1
0
1
-1
-1
1
x2c
10
10
-1
-1
0
0
-1
-1
1
1
x3c
80
0
1
0
0
0
1
0
0
0
Выбор в качестве разрешающей строки х2с обусловлен тем, что именно в этой строке отношение свободного члена к переменной х1с минимально. Выполним необходимые преобразования над элементами Симплекс таблицы:
bi
x3a
x2b
x3b
x2c
L
620
-2
-1
0
-1
x1a
10
1
-1
0
-1
x1b
60
0
1
1
0
x2a
80
0
1
0
1
x1c
10
-1
0
-1
1
x3c
80
1
0
1
0
Все коэффициенты при свободных переменных неположительные, следовательно, найденное решение является оптимальным. Запишем его:
x1a=10; x1b=60; x1c=10;
x2a=80; x2b=0; x2c=0;
x3a=0; x3b=0; x3c=80;
L=620;
Для проверки правильности вычислений можно составить транспортную таблицу:
A
B
C
1
10
60
10
80
2
80
0
0
80
3
0
0
80
80
90
60
90
После анализа таблицы можно сделать вывод, что вычислительных ошибок при расчетах сделано не было.
Ответ:
x1a=10 x1b=60 x1c=10
x2a=80 x2b=0 x2c=0
x3a=0 x3b=0 x3c=80
L=620
2.2 Решение задачи 2
Составим систему ограничений исходя из условия задачи
Целевая функция задачи имеет вид:
Пусть переменные x1 и x2 - свободные, а переменные x3, x4 и x5 – базисные.
Далее необходимо представить систему ограничений в стандартном виде. Для этого проведем ряд преобразований:
Подставим выражения для x3 и x4 в третье уравнение системы ограничений:
Упростим полученное выражение и выразим x5:
Теперь можно представить систему ограничений в стандартном виде:
Необходимо также выразить целевую функцию через свободные переменные:
Теперь можно заполнить Симплекс-таблицу
bi
x1
x2
L
1
-1
-3
x3
2
-1
2
x4
2
1
1
x5
1
1
-1
Исходя из того, что все свободные члены положительны, можно сделать вывод о том принятое решение является опорным.
Далее нужно выбрать разрешающий элемент. В качестве разрешающего столбца целесообразно принять столбец x1, так как коэффициент при x1 в целевой функции меньше коэффициента при x2. Разрешающей строкой будет строка x5, так как отношение свободного члена этой строки к коэффициенту при x1 минимально. Отметим найденный разрешающий элемент в таблице, а также заполним необходимые клетки:
bi
x1
x2
L
1
1
-1
1
-3
-1
x3
2
1
-1
1
2
-1
x4
2
-1
1
-1
1
1
x5
1
1
1
1
-1
-1
Перерисуем таблицу с учётом замены x2 на x3:
bi
x5
x2
L
2
1
-4
x3
3
1
1
x4
1
-1
2
x1
1
1
-1
Коэффициент при х2 в целевой функции отрицателен, значит необходимо произвести ещё одну замену. В качестве разрешающей строки примем x3. Таким образом, разрешающим будет элемент, стоящий на пересечении строки x3 и столбца x2.
bi
x5
x2
L
2
12
1
4
-4
4
x3
3
3
1
1
1
1
x4
1
-6
-1
-2
2
-2
x1
1
3
1
1
-1
1
В итоге получим:
bi
x5
x3
L
14
5
4
x2
3
1
1
x4
-5
-1
0
x1
4
2
1
Коэффициенты при свободных переменных в целевой функции положительны, значит, найденное решение является оптимальным.
Ответ:
x1=4
x2=3
x3=0
x4=-5
x5=0
L=14
2.3 Решение задачи 3
Условие задачи задано в виде транспортной таблицы:
ПН
ПО
B1
B2
B3
запасы
A1
50
15
10
300
A2
21
30
20
100
A3
18
40
25
200
A4
23
22
12
800
A5
25
32
45
200
заявки
500
300
800
Применим к задаче метод «Северо-Западного угла». Для этого заполним таблицу начиная с левого верхнего угла без учёта стоимости перевозок:
ПН
ПО
B1
B2
B3
запасы
A1
300
300
A2
100
100
A3
100
100
200
A4
200
600
800
A5
200
200
заявки
500
300
800
В таблице заполнено n+m-1=7 клеток, значит найденное решение является опорным. Далее необходимо улучшить план перевозок в соответствии со стоимостями доставки грузов. Для этого используем циклические перестановки в тех циклах, где цена отрицательна.
ПН
ПО
B1
B2
B3
запасы
A1
50
300
15
10
300
A2
21
100
30
20
100
A3
18
100
40
100
25
200
A4
23
22
200
12
600
800
A5
25
32
45
200
200
заявки
500
300
800
В данной таблице в верхней части ячейки указана стоимость перевозки, а в нижней количество перевозимого груза. Прямоугольником выделен отрицательный цикл γ1=25+22-40-12=-5. Минимальное значение перевозок, стоящих в отрицательных вершинах равно k1=100. В итоге получим уменьшение стоимости перевозки:
ΔL1=-5*100=-500
Транспортная таблица примет следующий вид:
ПН
ПО
B1
B2
B3
запасы
A1
50
300
15
10
300
A2
21
100
30
20
100
A3
18
100
40
25
100
200
A4
23
22
300
12
500
800
A5
25
32
45
200
200
заявки
500
300
800
γ2=12+32-45-22=-23 k2=200 ΔL2=-23*200=-4600
ПН
ПО
B1
B2
B3
запасы
A1
50
300
15
10
300
A2
21
100
30
20
100
A3
18
100
40
25
100
200
A4
23
22
100
12
700
800
A5
25
32
200
45
200
заявки
500
300
800
γ3=10+18-50-25=-47 k3=100 ΔL3=-47*100=-4700
ПН
ПО
B1
B2
B3
запасы
A1
50
200
15
10
100
300
A2
21
100
30
20
100
A3
18
200
40
25
200
A4
23
22
100
12
700
800
A5
25
32
200
45
200
заявки
500
300
800
γ4=10+23-12-50=-29 k4=200 ΔL4=-29*200=-6800
ПН
ПО
B1
B2
B3
запасы
A1
50
15
10
300
300
A2
21
100
30
20
100
A3
18
200
40
25
200
A4
23
200
22
100
12
500
800
A5
25
32
200
45
200
заявки
500
300
800
Отрицательных циклов в транспортной таблице больше нет. Следовательно, можно предположить, что найденное решение является оптимальным. Для проверки применим метод потенциалов.
Составим систему:
Положим β2=0, тогда α4=-22
β1=1, α2=-20
β3=-10, α2=-22
α1=-20, α5=-32
Все коэффициенты α отрицательны, значит, найденный план перевозок является оптимальным.
Ответ:
x21=100;
x31=200;
x41=200;
x42=100;
x52=200;
x13=300;
x43=500.
2.4 Решение задачи 4
Составим математическую модель поставленной задачи.
Найти минимум функции f(x1,x2)
При ограничениях
Заменив знак функции f(x1,x2) на противоположный, перейдем к поиску максимума функции:
Теперь задача приведена к стандартному виду задачи квадратичного программирования. Приступим к решению.
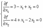
1) Определим стационарную точку
Решив систему, получим:
x1=10
x2=7
Очевидно, что данные координаты не удовлетворяют условиям ограничений. Поэтому проверять стационарную точку на относительный максимум нет необходимости.
2) Составим функцию Лагранжа:
Применив к функции Лагранжа теорему Куна-Таккера, будем иметь систему:
3) Преобразуем полученную систему:
Из уравнения 3 системы следует, что x2=6-x1:
Для обращения неравенств системы в равенства введём V1, V2, W и преобразуем систему:
4) Запишем условия дополняющей нежесткости:
5) Введем в систему уравнений искусственные переменные z1,z2:
Поставим задачу максимизации функции .
Для решения этой задачи воспользуемся Симплекс-методом. Примем переменные z1 и z2 в качестве базисных:
Составим Симплекс таблицу:
bi
x1
U1
U2
V1
V2
φ
-17M
0
-5M
0
0
0
M
0
M
0
-M
0
z1
9
8
2
3
-1
1
2
-3
-1
0
0
1
z2
8
8
3
3
1
1
-3
-3
0
0
1
1
W
0
0
-1
0
0
0
0
0
0
0
0
0
bi
x1
z2
U2
V1
V2
φ
-17M
17M
-5M
M
0
M
M
-M
M
-M
-M
M
z1
17
17/5
5
1/5
1
1/5
-1
-1/5
-1
-1/5
1
1/5
U1
8
-51/5
3
-3/5
1
-3/5
-3
3/5
0
3/5
1
-3/5
W
0
17/5
-1
1/5
0
1/5
0
-1/5
0
-1/5
0
1/5
bi
z1
z2
U2
V1
V2
φ
0
M
M
0
0
0
x1
17/5
1/5
1/5
-1/5
-1/5
1/5
U1
-11/5
-3/5
-2/5
1/2
3/5
-2/5
W
17/5
1/5
1/5
-1/5
-1/5
1/5
В итоге получим
x1=17/5
x2=6-x1=13/5
Как видно, координаты стационарной точки сильно отличаются от координат, полученных в качестве ответа. Это можно объяснить тем, что стационарная точка не удовлетворяет условиям ограничений.
Условия дополняющей нежесткости
выполняются.
Следовательно, найденное решение является оптимальным.
Найдем значения целевой функции:
=- 51/5 - 52/5 + 289/50 – 221/25 + 169/25 =
= -16.9
Ответ:
x1 = 17/5
x2 = 13/5
f(x1,x2) = -16.9
1
Нравится материал? Поддержи автора!
Ещё документы из категории информатика:
Чтобы скачать документ, порекомендуйте, пожалуйста, его своим друзьям в любой соц. сети.
После чего кнопка «СКАЧАТЬ» станет доступной!
Кнопочки находятся чуть ниже. Спасибо!
Кнопки:
Скачать документ