Создание функциональной модели вычисления минимума заданной функции методом парабол
Введение
1 Постановка задачи
2 Математические и алгоритмические основы решения задачи
3 Функциональные модели и блок-схемы решения задачи
4 Программная реализация решения задачи
5 Пример выполнения программы
Заключение
Список использованных источников и литературы
ВВЕДЕНИЕ
Задачи поиска максимума эквивалентны задачам поиска минимума, так как требуется лишь поменять знак перед функцией. Для поиска минимума необходимо определить интервал, на котором функция могла бы иметь минимум. Для этого можно использовать графическое представление функции, аналитический анализ аппроксимирующей функции и сведения о математической модели исследуемого процесса (т.е. законы поведения данной функции).
Методы, использующие исключение отрезков, основаны на сравнении функций в двух точках пробного отрезка, учитываются лишь значения функции в этих точках.
Учесть информацию о значениях функции между точками позволяют методы полиномиальной аппроксимации. Их основная идея заключена в том, что функция аппроксимируется полиномом, а точка его минимума служит приближением к минимуму. Разумеется, в этом случае кроме свойства унимодальности (т.е. наличия единственного минимума на рассматриваемом отрезке), необходимо на функцию наложить и требования достаточной гладкости для ее полиномиальной аппроксимации.
Для повышения точности поиска минимума можно как увеличивать степень полинома, так и уменьшать пробный отрезок. Поскольку первый прием приводит к заметному увеличению вычислительной работы и появлению дополнительных экстремумов, обычно пользуются полиномами второй (метод парабол) или третьей (метод кубической интерполяции) степени.
Целью данной курсовой работы является рассмотрение метода парабол для поиска минимума функции.
1 Постановка задачи
Функция имеет локальный минимум при некотором , если существует некоторая конечная ξ-окрестность этого элемента, в которой
, .
Требуется, чтобы на множестве X функция f(x) была по крайней мере кусочно-непрерывной.
Точка, в которой функция достигает наименьшего на множестве X значения, называется абсолютным минимумом функции. Для нахождения абсолютного минимума требуется найти все локальные минимумы и выбрать наименьшее значение.
Задачу называют детерминированной, если погрешностью вычисления (или экспериментального определения) функции f(x) можно пренебречь. В противном случае задачу называют стохастической.
Требуется вычислить минимум заданной функции методом парабол.
В этом методе вычисляется значение функции сразу в трех близлежащих точках , , , где h – малое число. Через эти три точки проводится интерполяционная парабола:
.
Минимум параболы достигается при , т.е. при . Для трех точек получаем систему трех линейных уравнений для коэффициентов a, b, c. Находим a и b и тогда:
.
Пример 1. Найти минимум функции методом парабол на промежутке [-5; 3] с требуемой точностью 0,0001.
Решение:
k номер итерации
1
-3,872291
0,010093
2
-3,871639
0,000004
Таблица 1. Пример 1
Так как < , следовательно минимум x = -3,871639.
Рисунок 1. Функция
Пример 2. Найти минимум функции методом парабол на промежутке [-2; -1] с требуемой точностью 0,0001.
Решение:
k номер итерации
1
-1,882843
0,831300
2
-1,919519
-0,009568
3
-1,919112
-0,000004
Таблица 2. Пример 2
Так как < , следовательно минимум x = -1,919112.
Рисунок 2. Функция
Пример 3. Найти минимум функции методом парабол на промежутке [-1; -0,5] с требуемой точностью 0,00001.
Решение:
k номер итерации
1
-0,497419
0,116021
2
-0,451529
-0,003278
3
-0,450185
-0,000003
Таблица 3. Пример 3
Так как < , следовательно минимум x = -0,450185.
Рисунок 3. Функция
2 Математические и алгоритмические основы решения задачи
Пусть имеет первую и вторую производную. Разложим в ряд Тейлора в некоторой точке , ограничиваясь при этом тремя членами разложения:
. (3)
Иными словами, аппроксимируем нашу функцию в точке , параболой (рисунок 1). Для этой параболы можно аналитически вычислить положение экстремума как корень уравнения первой производной от (3):
.
Пусть минимум аппроксимирующей параболы находится в точке . Тогда вычислив значение функции , мы получаем новую точку приближения к минимуму.
Рисунок 4. Поиск минимума функции методом парабол
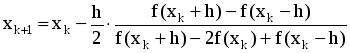
Обычно в практических реализациях данного метода не используют аналитический вид первой и второй производных . Их заменяют конечно-разностными аппроксимациями. Наиболее часто берут симметричные разности с постоянным шагом h:
Это эквивалентно аппроксимации функции параболой, проходящей через три близкие точки
, , .
Окончательное выражение, по которому можно строить итерационный процесс, таково:
(4)
Данный метод отличается от других методом поиска минимума высокой скоростью сходимости. Вблизи экстремума, вплоть до расстояний , сходимость практически не отличается от квадратичной. Однако алгоритм требует постоянного контроля сходимости. Например, итерационный процесс будет сходиться к минимуму, если:
знаменатель формулы
должен быть > 0. Если это не так, нужно сделать шаг в обратном направлении, причем достаточно большой. Обычно в итерационном процессе полагают
.
Иногда ради упрощения расчетов полагают
,
однако это существенно уменьшает скорость сходимости.
2) если это не так, то от следует сделать шаг
,
с .
Если и при этом условие убывания не выполнено, уменьшают τ и вновь делают шаг.
3 Функциональные модели и блок-схемы решения задачи
Функциональные модели и блок-схемы решения задачи представлены на рисунке 5, 6.
Используемые обозначения:
X0, MIN_VAL – начальная точка;
H, MAX_VAL – конечная точка;
EPS – требуемая точность;
FN – функция для вычисления минимума;
X1 – вспомогательная точка;
X2 – вспомогательная точка;
XN – вспомогательная точка;
F_X0 – функция от начальной точки X0;
F_X1 – функция от вспомогательной точки X1;
F_X2 – функция от вспомогательной точки X2;
F_XN – функция от вспомогательной точки XN;
Q – рабочая переменная;
A – рабочая переменная;
B – рабочая переменная;
C – рабочая переменная;
D – рабочая переменная;
Z – рабочая переменная;
K – рабочая переменная.
Рисунок 5 – Блок-схема решения задачи для функции PARABL_METHOD
Рисунок 6 – Функциональная модель решения задачи для поиска минимума
4 Программная реализация решения задачи
;ЗАГРУЖАЕМ ФУНКЦИЮ, МИНИМАЛЬНОЕ И МАКСИМАЛЬНОЕ ЗНАЧЕНИЕ,
;ТРЕБУЕМУЮ ТОЧНОСТЬ ИЗ ФАЙЛА
(LOAD "D:\\FUNCTION.TXT")
;ОЪЯВЛЯЕМ ФУНКЦИЮ PARABL_METHOD ДЛЯ ПОИСКА МИНИМУМА ФУНКЦИИ
;X0 - НАЧАЛЬНАЯ ТОЧКА
;H - КОНЕЧНАЯ ТОЧКА
;EPS - ТОЧНОСТЬ ВЫЧИСЛЕНИЯ
;FN - ФУНКЦИЯ ДЛЯ ВЫЧИСЛЕНИЯ МИМИМУМА
(DEFUN PARABL_METHOD (X0 H EPS FN)
;ОБЪЯВЛЯЕМ ПЕРЕМЕННЫЕ
;---------------------
;ТРИ ВСПОМОГАТЕЛЬНЫЕ ТОЧКИ
(DECLARE (SPECIAL X1))
(DECLARE (SPECIAL X2))
(DECLARE (SPECIAL XN))
;ФУНКЦИИ ОТ ТОЧЕК
(DECLARE (SPECIAL F_X0))
(DECLARE (SPECIAL F_X1))
(DECLARE (SPECIAL F_X2))
(DECLARE (SPECIAL F_XN))
;ВСПОМОГАТЕЛЬНЫЕ ПЕРЕМЕННЫЕ
(DECLARE (SPECIAL Q))
(DECLARE (SPECIAL A))
(DECLARE (SPECIAL B))
(DECLARE (SPECIAL C))
(DECLARE (SPECIAL D))
(DECLARE (SPECIAL Z))
;---------------------
;УСТАНАВЛИВАЕМ ПЕРВУЮ ТОЧКУ
(SETQ X1 (+ X0 H))
;УСТАНАВЛИВАЕМ ВТОРУЮ ТОЧКУ
(SETQ X2 (+ X0 (* 2 H)))
;ВЫЗЫВАЕМ ФУНКЦИЮ FN
;ВЫЧИСЛЯЕМ ЗНАЧЕНИЯ ФУНКЦИИ В ВЫБРАННЫХ ТОЧКАХ
(SETQ F_X0 (FUNCALL FN X0))
(SETQ F_X1 (FUNCALL FN X1))
(SETQ F_X2 (FUNCALL FN X2))
(DO
((K 0))
;МАКСИМАЛЬНОЕ КОЛИЧЕСТВО ШАГОВ 10000 (>= K 10000)
((>= K 10000))
;ВЫПОЛНЯЕМ ДЕЙСТВИЯ СОГЛАСНО АЛГОРИТМУ ПОИСКА МИНИМУМА МЕТОДОМ ПАРАБОЛ
(SETQ Q (/ (- X0 X1) (- X1 X2)))
(SETQ A (+ (- (* Q F_X0) (* (* Q (+ 1 Q)) F_X1)) (* Q Q F_X2)))
(SETQ B (+ (- (* (+ (* 2 Q) 1) F_X0) (* (+ 1 Q) (+ 1 Q) F_X1)) (* Q Q F_X2)))
(SETQ C (* (+ 1 Q) F_X0))
(SETQ D (SQRT (- (* B B)(* 4 A C))))
(IF (> (ABS (+ B D)) (ABS (- B D)))
(SETQ Z (+ B D))
(SETQ Z (- B D))
)
(SETQ XN (- X0 (/ (* (- X0 X1) 2 C) Z)))
(SETQ F_XN (FUNCALL FN XN))
;ПРОВЕРЯЕМ ДОСТИГЛИ ЛИ МЫ ТРЕБУЕМОЙ ТОЧНОСТИ
(IF (< (ABS F_XN) EPS) (SETQ K 10000))
;ЗАДАЕМ НОВЫЕ ЗНАЧЕНИЯ ТОЧКАМ
(SETQ X2 X1)
(SETQ X1 X0)
(SETQ X0 XN)
;ВЫЧИСЛЯЕМ ЗНАЧЕНИЯ ФУНКЦИЙ В ТОЧКАХ
(SETQ F_X2 F_X1)
(SETQ F_X1 F_X0)
(SETQ F_X0 F_XN)
;УВЕЛИЧИВАЕМ СЧЕТЧИК
(SETQ K (+ K 1))
)
;ВОЗВРАЩАЕМ МИНИМУМ ФУНКЦИИ
XN
)
;ВЫЗЫВАЕМ ФУНКЦИЮ PARABL_METHOD
(SETQ MIMIMUM (PARABL_METHOD MIN_VAL MAX_VAL EPS (FUNCTION FUNC)))
;ЗАПИСЫВАЕМ РЕЗУЛЬТАТ
(SETQ OUTPUT_STREAM (OPEN " D:\MINIMUM.TXT" :DIRECTION :OUTPUT))
;ЗАПИСЫВАЕМ МИНИМУМ
(PRINT 'MIMIMUM OUTPUT_STREAM)
(PRINT MIMIMUM OUTPUT_STREAM)
;ЗАКРЫВАЕМ ФАЙЛ
(TERPRI OUTPUT_STREAM)
(CLOSE OUTPUT_STREAM)
5 Пример выполнения программы
Пример 1.
Рисунок 7 – Входные данные
Рисунок 8 – Выходные данные
Пример 2.
Рисунок 9 – Входные данные
Рисунок 10 – Выходные данные
Пример 3.
Рисунок 11 – Входные данные
Рисунок 12 – Выходные данные
ЗАКЛЮЧЕНИЕ
Проблема повышения качества вычислений, как несоответствие между желаемым и действительным, существует и будет существовать в дальнейшем. Ее решению будет содействовать развитие информационных технологий, которое заключается как в совершенствовании методов организации информационных процессов, так и их реализации с помощью конкретных инструментов – сред и языков программирования.
Итогом работы можно считать созданную функциональную модель вычисления минимума заданной функции методом парабол. Данная модель применима к детерминированным задачам, т.е. погрешностью экспериментального вычисления функции f(x) можно пренебречь. Созданная функциональная модель вычисления минимума заданной функции методом парабол и ее программная реализация могут служить органической частью решения более сложных задач.
СПИСОК ИСПОЛЬЗОВАННЫХ ИСТОЧНИКОВ и литературы
Бронштейн, И.Н. Справочник по математике для инженеров и учащихся втузов [Текст] / И.Н. Бронштейн, К.А. Семендяев. – М.: Наука, 2007. – 708 с.
Кремер, Н.Ш. Высшая математика для экономистов: учебник для студентов вузов. [Текст] / Н.Ш.Кремер, 3-е издание – М.:ЮНИТИ-ДАНА, 2006. C. 412.
Калиткин, Н.Н. Численные методы. [Электронный ресурс] / Н.Н. Калиткин. – М.: Питер, 2001. С. 504.
Поиск минимума функции [Электронный ресурс] – Режим доступа: http://solidbase.karelia.ru/edu/meth_calc/files/12.shtm
Семакин, И.Г. Основы программирования. [Текст] / И.Г.Семакин, А.П.Шестаков. – М.: Мир, 2006. C. 346.
Симанков, В.С. Основы функционального программирования [Текст] / В.С. Симанков, Т.Т. Зангиев, И.В. Зайцев. – Краснодар: КубГТУ, 2002. – 160 с.
Степанов, П.А. Функциональное программирование на языке Lisp. [Электронный ресурс] / П.А.Степанов, А.В. Бржезовский. – М.: ГУАП, 2003. С. 79.
Хювенен Э. Мир Лиспа [Текст] / Э. Хювенен, Й. Сеппянен. – М.: Мир, 1990. – 460 с.
Нравится материал? Поддержи автора!
Ещё документы из категории информатика:
Чтобы скачать документ, порекомендуйте, пожалуйста, его своим друзьям в любой соц. сети.
После чего кнопка «СКАЧАТЬ» станет доступной!
Кнопочки находятся чуть ниже. Спасибо!
Кнопки:
Скачать документ












































