Дослідження дзета-функції Римана



























































































































































































































































































































































































































Курсова робота: Дослідження дзета-функції Римана
Зміст
Введення
Розділ 1
Розділ 2
Розділ 3
Список літератури
Введення
Функція - одне з основних понять у всіх природниче наукових дисциплінах. Не випадково ще в середній школі діти одержують інтуїтивне уявлення про це поняття. Зі шкільної лави наш багаж знань поповнюється відомостями про такі функції як лінійна, квадратична, статечна, показова, тригонометричні й інших. У курсі вищої математики коло відомих функцій значно розширюється. Сюди додаються інтегральні й гіперболічні функції, Ейлерови інтеграли (гама- і бета-функції), тета-функції, функції Якоби й багато інших.
Що ж таке функція? Строгого визначення для неї не існує. Це поняття є в математиці первинним. Однак, під функцією розуміють закон, правило, по якому кожному елементу якоїсь множини X ставиться у відповідність один або кілька елементів множини Y. Елементи множини X називаються аргументами, а множини Y – значеннями функції. Якщо кожному аргументу відповідає одне значення, функція називається однозначної, якщо більше одного – то багатозначної. Синонімом функції є термін «відображення». У найпростішому випадку множина X може бути підмножиною поля дійсних R або комплексних C чисел. Тоді функція називається числовий. Нам будуть зустрічатися тільки такі відображення.
Функції можуть бути задані багатьма різними способами: словесним, графічним, за допомогою формули. Функція, що ми будемо розглядати в цій роботі, задається через нескінченний ряд. Але, незважаючи на таке нестандартне визначення, по своєму поданню у вигляді ряду вона може бути добре вивчена методами теорії рядів і плідно застосована до різних теоретичних і прикладних питань математики й суміжних з нею наук.
Звичайно ж, мова йде про знамениту дзета-функцію Римана, що має найширші застосування в теорії чисел. Уперше ввів неї в науку великий швейцарський математик і механік Леонард Ейлер і одержав багато хто її властивості. Далі активно займався вивченням дзета-функції німецький математик Бернгард Риман. На честь його вона одержала свою назву, тому що він опублікував декілька винятково видатних робіт, присвячених цієї функції. У них він поширив дзета-функцію на область комплексних чисел, знайшов її аналітичне продовження, досліджував кількість простих чисел, менших заданого числа, дав точну формулу для знаходження цього числа за участю функції й висловив свою гіпотезу про нулі дзета-функції, над доказом або спростуванням якої безрезультатно б'ються кращі розуми людства вже майже 150 років.
Наукова громадськість уважала й уважає рішення цієї проблеми однієї із пріоритетних задач. Так Давид Гильберт, що виступав на Міжнародній Паризькій математичній конференції 1900 року з підведенням підсумків розвитку науки й розглядом планів на майбутнє, включив гіпотезу Римана в список 23 проблем, що підлягають рішенню в новому сторіччі й здатних просунути науку далеко вперед. А на рубежі століть, в 2000 році американський The Clay Mathematics Institute назвав сім задач, за рішення кожної з яких буде виплачений 1 мільйон доларів. У їхнє число також потрапила гіпотеза Римана.
Розділ 1
Отже, приступимося до вивчення цієї важливої й цікавої дзета-функції Римана. У даній главі ми одержимо деякі властивості функції в речовинній області, виходячи з її визначення за допомогою ряду.
Визначення. Дзета-функцією Римана ζ(s) називають функцію, що будь-якому дійсному числу s ставить у відповідність суму ряду
(1)
якщо вона існує.
Основною характеристикою будь-якої функції є область визначення. Знайдемо неї для нашої функції.
Нехай спочатку s≤0, тоді s=−t, де t належить множині ненегативних дійсних чисел R+ {0}. У цьому випадку й ряд (1) звертається в ряд , що, мабуть, розходиться як при t>0, так і при t=0. Тобто значення s≤0 не входять в область визначення функції.
Тепер нехай s>0. Для дослідження збіжності ряду (1) скористаємося інтегральною ознакою Коші. При кожному s розглянемо функцію , де , що є на проміжку безперервної, позитивної й монотонно убутної. Виникає три різних можливості:
0<s<1. Тоді , тому ряд (1) розходиться й проміжок (0;1) не входить в область визначення дзета-функції;
s=1. Одержуємо, тобто при s=1 дзета-функція Римана також не визначений;
s>1. У цьому випадку
. Ряд (1) сходиться.
Узагальнивши результати, знаходимо, що область визначення дзета-функції є проміжок . На цьому проміжку функція виявляється безперервної нескінченне число раз.
Доведемо безперервність функції ζ(s) на області визначення. Візьмемо довільне число s0>1. Перепишемо ряд (1) у вигляді . Як було вище показане, ряд сходиться, а функції при s>s0 монотонно убувають і все разом обмежено одиницею. Виходить, по ознаці Абеля для s>s0 ряд (1) сходиться рівномірно. Використовуючи теорему про безперервність суми функціонального ряду, одержуємо, що в будь-якій крапці s>s0 дзета-функція безперервн. Через довільність s0 ζ(s) безперервна на всій області визначення.
Тепер по членним диференціюванням ряду (1), поки формально, знайдемо похідну дзета-функції Римана:
(2).
Щоб виправдати цей результат, досить упевнитися в тім, що ряд (2) рівномірно сходиться на проміжку й скористатися теоремою про диференціювання рядів. Використовуємо той же прийом. Зафіксуємо будь-яке s0>1 і представимо ряд (2) у вигляді для s>s0. Множники , починаючи з n=2, монотонно убувають, залишаючись обмеженими числом ln 2. Тому по ознаці Абеля ряд (2) сходиться рівномірно при s>s0, а значить і при будь-якому s>1. Яке би значення s>1 не взяти його можна укласти між і , де , а ; до проміжку застосовна вищевказана теорема.
Таким же шляхом можна переконатися в існуванні для дзета-функції похідних всіх порядків і одержати їхні вираження у вигляді рядів:
.
Спробуємо побудувати наочне зображення функції у вигляді графіка. Для цього вивчимо спочатку її поводження на нескінченності й в околиці крапки s=1.
У першому випадку, через рівномірну збіжність ряду (1), по теоремі про по членний перехід до межі, маємо . При n=1 межа дорівнює одиниці, інші межі дорівнюють нулю. Тому .
Щоб досліджувати випадок , доведемо деякі допоміжні оцінки.
По-перше, відомо, що якщо для ряду існує безперервна, позитивна, монотонно убутна функція , певна на множині , така, що , і має первісну , то остача ряду оцінюється так: , де . Застосовуючи вищесказане до ряду (1), знайдемо, що необхідна функція
, а й . Звідси, підставляючи в подвійну нерівність, маємо
(3). У лівій нерівності покладемо n=0, тоді , тобто . У правом же візьмемо n=1 і одержимо , далі , і, нарешті, . Переходячи в нерівностях до межі при , знаходимо .
Звідси, зокрема, треба, що . Дійсно, покладемо . Тоді , тобто . Тому . З того, що , а , випливає доказуване твердження.
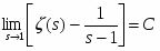
Можна, однак, одержати ще більш точний результат для оцінки поводження дзета-функції в околиці одиниці, чим наведені вище, що належить Дирихле. Будемо відштовхуватися від очевидного при довільному n рівності . Додамо до всіх частин нерівностей (3) суму й віднімемо . Маємо . Нехай тут s прагне до одиниці. За правилом Лопиталя легко обчислити й . Ми поки не знаємо, чи існує межа вираження при , тому, скориставшись найбільшою й найменшою межами, напишемо нерівності так:
. Через довільність n візьмемо . Перше й останнє вираження прагнуть до Ейлерової постійного C (C 0,577). Виходить, а, отже, існує й звичайна межа й .
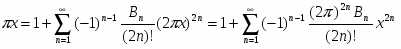
Знайдені вище межі дозволяють одержати лише приблизне подання про вид графіка дзета-функції. Зараз ми виведемо формулу, що дасть можливість нанести на координатну площину конкретні крапки, а саме, визначимо значення , де k – натуральне число.
Візьмемо відоме розкладання , де - знамениті числа Бернуллі (по суті, через нього ці числа й визначаються). Перенесемо доданок у ліву частину рівності. Ліворуч одержуємо cth , а в правій частині - , тобто cth . Заміняємо на , одержуємо cth .
З іншого боку, існує рівність cth , з якого cth . Підстановкою замість знаходимо cth . Якщо , то для будь-якого N і по теоремі про додавання нескінченної множини статечних рядів cth .
Дорівняємо отримані розкладання:
, отже . Звідси негайно треба формула
(4), де - k-е число Бернуллі. Вона зручна тим, що ці числа добре вивчені й для них складені великі таблиці.
Тепер, виходячи з отриманих результатів, можна побудувати ескіз графіка дзета-функції Римана, що досить добре відбиває її поводження на всій області визначення.
Леонард Ейлер, що вперше розглянув дзета-функцію, одержав чудове розкладання її в нескінченний добуток, що іноді теж приймають за визначення:
, де pi – i-е простої число (4).
Доведемо тотожність ряду (1) і добутку (4). Згадавши формулу суми геометричної прогресії, одержуємо рівність
Якщо перемножити кінцеве число таких рядів, що відповідають всім простим числам, що не перевершують заданого натурального числа N, то частковий добуток, що вийшов, виявиться рівним , де символ * означає, що підсумовування поширюється не на всі натуральні числа, а лише на ті з них (не вважаючи одиниці), які у своєму розкладанні містять тільки прості числа менші N. Тому що перші N натуральних чисел цією властивістю володіють, то
(5).
Сума містить не всі числа, більші N+1, тому, мабуть, . З (5) одержуємо
(6).
Через збіжність ряду (1), вираження праворуч, що представляє його остача після N-Го члена, прагне до нуля при N прагнучої до нескінченності, а є добуток (4). Значить із нерівності при , що й було потрібно довести.
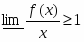
Формула (4) важлива тому, що вона зв'язує натуральний ряд, представлений множиною значень аргументу дзета-функції, із множиною простих чисел. Ще один крок у цьому напрямку ми зробимо, оцінивши , а саме показавши, що , де залишається обмеженим при .
З (4) треба, що , де N, а при . Візьмемо логарифм від обох частин рівності, тоді . Натуральні логарифми під знаком суми розкладаються в ряд: . Підставивши отримані розкладання в рівність і спрямувавши N до нескінченності, маємо . Залишається довести обмеженість останнього доданка. Ясно, що . Остання рівність справедливо, тому що . Далі, мабуть, , що й завершує доказ.
На цьому закінчимо виклад властивостей дзета-функції Римана для дійсного аргументу, тому що найбільший теоретичний і прикладний інтерес представляє випадок викладений у другому розділі.
Розділ 2
Всі результати першого розділу, що стосуються дзета-функції Римана, були отримані в припущенні, що її аргумент s – дійсне число. Однак, найвидатніші дослідження й численні важливі додатки стали можливі лише після включення в область визначення функції комплексних чисел. Уперше розглянув дзета-функцію як функцію мнимого аргументу німецький математик Бернгард Риман, що глибоко вивчив її властивості й широко застосовував її в теорії чисел. На честь його функція одержала свою назву.
Для комплексної дзета-функції залишається в силі визначення, дане в главі 1, з тією лише зміною, що тепер там буде C. Виникає необхідність знайти нову область визначення. Із цією метою доведемо наступне твердження: у напівплощині ( дійсна частина числа x) ряд
(1) сходиться абсолютно.
Нехай . Підрахуємо абсолютні величини членів ряду (1), . Перший множник містить тільки речовинні числа й , тому що . До другого ж множника застосуємо знамениту формулу Ейлера, одержимо . Виходить, . Через збіжність ряду при α>1, маємо абсолютну збіжність ряду (1).
На своїй області визначення дзета-функція аналітична. Дійсно, при всякому q>0 і фіксованому α>1+q, числовий ряд мажорирує ряд з абсолютних величин , де , звідки, по теоремі Вейерштраса, треба рівномірна збіжність ряду в напівплощині . Сума ж рівномірно збіжного ряду з аналітичних функцій сама є аналітичною функцією.
Неважко показати, що всі отримані для дзета-функції формули без змін переносяться на випадок комплексного аргументу. Доказу перетерплюють незначні перетворення, пов'язані з переходом до абсолютних величин.
У зв'язку із цим зауваженням стає можливим використовувати розкладання дзета-функції в добуток , де s тепер будь-яке комплексне число, таке, що . Застосуємо його до доказу відсутності у функції корінь.
Оцінимо величину , використовуючи властивість модуля : , де як звичайно . Тому що , те, а , отже, дзета-функція в нуль не звертається.
Питання про нулі дзета-функції, а також інші прикладні питання одержують нові широкі можливості для дослідження, якщо поширити її на всю комплексну площину. Тому, зараз ми одним з багатьох можливих способів знайдемо аналітичне продовження дзета-функції й виведемо її функціональне рівняння, що характеризує й однозначно визначальне .
Для цього нам знадобиться формула
(2), що виводиться в такий спосіб. Використовуючи властивості інтегралів можна записати . Для будь-якого d при , значить і , а . . Отже, . Інтеграл можна знайти інтегруванням вроздріб, приймаючи , ; тоді , а . У результаті . Віднімемо із цього інтеграла попередній і одержимо , звідси легко треба рівність (2).
Тепер покладемо в (2) , , a і b – цілі позитивні числа. Тоді . Нехай спочатку , приймемо a=1, а b спрямуємо до нескінченності. Одержимо . Додамо по одиниці в обидві частини рівностей:
(3).
Вираження є обмеженим, тому що , а функція абсолютно інтегрувальна на проміжку при , тобто при , . Виходить, інтеграл абсолютно сходиться при , причому рівномірно в будь-якій кінцевій області, що лежить у комплексній площині праворуч від прямої . Тим самим він визначає аналітичну функцію змінної s, регулярну при . Тому права частина рівності (3) являє собою аналітичне продовження дзета-функції на напівплощину й має там лише один простий полюс у крапці з відрахуванням, рівним одиниці.
Для можна перетворити вираження (3) дзета-функції. При маємо , виходить, і . Тепер при (3) може бути записане у вигляді .
Небагато більше складними міркуваннями можна встановити, що в дійсності (3) дає аналітичне продовження дзета-функції на напівплощину . Покладемо , а , тобто первісна для . обмежено, тому що , а інтеграл і обмежений через те, що . Розглянемо інтеграл при x1>x2 і . Інтегруємо його вроздріб, прийнявши , , тоді , а по зазначеному вище твердженню . Одержуємо . Візьмемо , а . Маємо , , тому що є обмеженою функцією. Виходить,
(4).
Користуючись абсолютною збіжністю інтеграла , якщо , і обмеженістю функції , робимо висновок, що в лівій частині рівності (4) інтеграл теж сходиться при . Значить формулою (3) можна продовжити дзета-функцію й на напівплощину правіше прямій .
Неважко встановити, що для негативних , тому з (3) маємо
(5) при .
З теорії рядів Фур'є відомо, що для нецілих значень x справедливе розкладання в ряд
(6).
Підставимо його в рівність (5) і інтегруємо ряд:
. Зробимо в отриманому інтегралі підстановку , звідси треба , а , і одержимо далі . Відомо, що , значить . З відомого співвідношення для гамма-функції , по формулі доповнення , отже
Отже, ми одержали функціональне рівняння дзета-функції Римана
(7),
яке саме по собі може служити засобом вивчення цієї функції, тому що цілком характеризує її, у тому розумінні, що будь-яка інша функція , що задовольняє рівності (7), а також ще деяким природним умовам, тотожна с.
Поки, щоправда, як треба з міркувань, ми довели формулу (7) для . Однак права частина цієї рівності є аналітичною функцією s і при . Це показує, що дзета-функція може бути аналітично продовжена на всю комплексну площину, причому не має на ній ніяких особливостей, крім згадуваного полюса при .
Щоб доказ був строгим, ми повинні ще обґрунтувати по членне інтегрування. Оскільки ряд (6) сходяться майже всюди і його часткові суми залишаються обмеженими, по членне інтегрування на будь-якому кінцевому відрізку припустимо. Через для кожного , залишається довести, що при . Але інтегруючи внутрішній інтеграл вроздріб маємо
. Звідси без праці виходить наше твердження.
Функціональне рівняння дзета-функції (7) може бути записано багатьма способами. Наприклад, замінимо s на 1-s, одержуємо рівносильну рівність
(8). З нього можна одержати два невеликих наслідки.
Підставимо в (8) замість s число 2m, де m – натуральне число. Маємо . По формулі (4) першого розділу , а , тому й зробивши в правій частині всі скорочення, з огляду на, що , одержимо .
Покажемо ще, що . Для цього логарифмуємо рівність (8): і результат диференціюємо . В околиці крапки s=1 , , , де З – постійна Ейлера, а k – довільна постійна. Отже, спрямовуючи s до одиниці, одержимо, тобто . Знову з формули (4) глави 1 при k=0 , виходить, дійсно, .
Розділ 3
Як уже було сказано, дзета-функція Римана широко застосовується в математичному аналізі. Однак найбільше повно важливість її виявляється в теорії чисел, де вона надає неоціненну допомогу у вивченні розподілу простих чисел у натуральному ряді. На жаль, розповідь про серйозні й нетривіальні застосування дзета-функції Римана виходить за рамки цієї роботи. Але щоб хоча б небагато представити міць цієї функції, доведемо з її допомогою кілька цікавих тверджень.
Наприклад, відомо, що простих чисел нескінченно багато. Самий знаменитий елементарний доказ належить Евклиду. Воно полягає в наступному. Припустимо, що існує кінцеве число простих чисел, позначимо їх p1, p2, … , pn... Розглянемо число p1p2…pn+1,воно не ділиться на жодне із простих і не збігається з жодним з них, тобто є простим числом, відмінним від вищевказаних, що суперечить припущенню. Виходить, кількість простих чисел не може бути кінцевим.
Інший доказ цього факту, що використовує дзета-функцію, було дано Ейлером. Розглянемо дане в першому розділі рівність (5) при s=1, одержимо , звідси й через гармонійний ряд, маємо при
(1). Якби кількість простих чисел бути кінцевим, то й цьому добутку мало кінцеве значення. Однак, отриманий результат свідчить про зворотний. Доказ завершений.
Тепер перепишемо (1) у вигляді . Опираючись на теорему про збіжність нескінченного добутку, з попереднього робимо висновок, що ряд розходиться. Ця пропозиція дає деяку характеристику росту простих чисел. Підкреслимо, що воно набагато сильніше твердження про гармонійний ряд, тому що тут мова йде лише про частину його членів, тим більше що в натуральному ряді є як завгодно довгі проміжки без простих чисел, наприклад: , , … , ...
Незважаючи на свою простоту наведені вище пропозиції важливі в концептуальному плані, тому що вони починають низку досліджень усе більше й більше глибоких властивостей ряду простих чисел, що триває донині. Спочатку, основною метою вивчення дзета-функції саме й було дослідження функції , тобто кількості простих чисел не переважаючих x. Як приклад формули, що зв'язує й , ми зараз одержимо рівність
(2).
Спочатку скористаємося розкладанням дзета-функції в добуток: . З логарифмічного ряду , з огляду на, що , приходимо до ряду . Виходить, .
Тепер обчислимо інтеграл у правій частині (2). Тому що при , те . У внутрішньому інтегралі покладемо , тоді й , звідси .У проміжку інтегрування , тому вірно розкладання й . Одержуємо . Тепер . Якщо зрівняти отримане значення інтеграла з поруч для , то побачимо, що вони тотожні й рівність (2) доведено.
Використовуємо формулу (2) для доказу однієї дуже серйозної й важливої теореми, а саме одержимо закон розподілу простих чисел, тобто покажемо, що .
Як історична довідка відзначу, що великий німецький математик Карл Фрідріх Гаус емпірично встановив цю закономірність ще в п'ятнадцятирічному віці, коли йому подарували збірник математичних таблиць, що містить таблицю простих чисел і таблицю натуральних логарифмів.
Для доказу візьмемо формулу (2) і спробуємо дозволити це рівняння відносно , тобто звернути інтеграл. Зробимо це за допомогою формули обігу Мелина в такий спосіб. Нехай . Тоді
(3). Цей інтеграл має потрібну форму, а не вплине на асимптотику . Дійсно, тому що , інтеграл для сходиться рівномірно в напівплощині , що легко виявляється порівнянням з інтегралом . Отже, регулярна й обмежена в напівплощині . Те ж саме справедливо й відносно , тому що .
Ми могли б уже застосувати формулу Меллина, але тоді було б досить важко виконати інтегрування. Тому колись перетворимо рівність (3) у такий спосіб. Диференціюючи по s, одержуємо . Позначимо ліву частину через і покладемо , , ( , і думаємо рівними нулю при ). Тоді, інтегруючи вроздріб, знаходимо при , або .
Але безперервна й має обмежену варіацію на будь-якому кінцевому інтервалі, а тому що , те ( ) і ( ). Отже, абсолютно інтегрувальна на при . Тому при , або при . Інтеграл у правій частині абсолютно сходиться, тому що обмежено при , поза деякою околицею крапки . В околиці й можна покласти , де обмежена при , і має логарифмічний порядок при . Далі, . Перший член дорівнює сумі відрахувань в особливих крапках, розташованих ліворуч від прямої , тобто . У другому члені можна покласти , тому що має при лише логарифмічну особливість. Отже, . Останній інтеграл прагне до нуля при . Виходить,
(4).
Щоб перейти обернено до , використовуємо наступну лему.
Нехай позитивна й не убуває й нехай при . Тоді .
Дійсно, якщо - дане позитивне число, те ( ). Звідси одержуємо для кожного . Але тому що не убуває, то . Отже, . Думаючи, наприклад, , одержуємо .
Аналогічно, розглядаючи , одержуємо , виходить, що й було потрібно довести.
Застосовуючи лему, з (4) маємо, що , , тому й теорема доведена.
Таким чином, ми з'ясували основні характеристики функції-дзета-функції: властивості функції в речовинній області, розподілу простих чисел у натуральному ряді й дослідження функції-дзета-функції як функції мнимого аргументу.
Список літератури
1.Титчмарш Е.К. Теорія функції-дзета-функції Римана. К., 2000 р.
2.Фихтенгольц Г.М. Курс диференціального й інтегрального вирахування. – К, 2004
3.Привалов І.І. Введення в теорію функцій комплексного змінного. - К., 2003.
4.Айерленд К., Роузен М. Класичне введення в сучасну теорію чисел. – К., 1997.
5.Шафаревич З.О. Теорія чисел. – К., 2000
Нравится материал? Поддержи автора!
Ещё документы из категории математика:
Чтобы скачать документ, порекомендуйте, пожалуйста, его своим друзьям в любой соц. сети.
После чего кнопка «СКАЧАТЬ» станет доступной!
Кнопочки находятся чуть ниже. Спасибо!
Кнопки:
Скачать документ