Геометрические задачи приводящие к дифференциальным уравнениям

















































































































































































































































































Федеральное агентство по образованию
Елабужский Государственный Педагогический Университет
Физико-математический факультет
Кафедра алгебры и геометрии
Курсовая работа
на тему:
«Геометрические задачи, приводящие к дифференциальным уравнениям»
Елабуга 2009
Оглавление
При изучении геометрических задач не всегда удается непосредственно установить прямую зависимость между величинами, описывающими тот или иной эволюционный процесс. Однако в большинстве случаев можно установить связь между величинами (функциями) их изменения относительно других (независимых) переменных величин, т.е. найти уравнения, в которых неизвестные функции входят под знак производной. Эти уравнения называют дифференциальными.
Простейшим примером дифференциального уравнения является уравнение

где f(x) – известная, а y=y(x) – искомая функции независимого переменного х. Решения этого уравнения называют первообразными функциями для функции f(x). Например, решениями дифференциального уравнения

являются функции

где С – произвольная постоянная, причем других решений это уравнение не имеет.
Характерное свойство дифференциальных уравнений – иметь бесконечное множество решений. В этом смысле приведенный выше пример типичен. Поэтому, решив дифференциальное уравнение, описывающее эволюцию некоторого процесса, нельзя одновременно найти зависимость между величинами, характеризующими данный процесс. Чтобы выделить из бесконечного множества зависимостей ту, которая описывает именно этот процесс, надо иметь дополнительную информацию, например, знать начальное состояние процесса. Без этого дополнительного условия задача неопределенна.
Рассмотрим несколько конкретных задач, приводящих к дифференциальным уравнениям.
Допустим, что нам известно для некоторого дифференциального уравнения F(x, у, )==0 (1) семейство
F(x, у, С)==0 (2)
интегральных линий, которое покрывает некоторую замкнутую область G плоскости (х, у) так, что через каждую точку такой области проходит по крайней мере одна линия этого семейства. Требуется найти такую проходящую по G линию L, которая в каждой своей точке касается некоторой линии семейства (2) и каждого куска которой касается бесконечное множество линий этого семейства1. Такая линия L называется огибающей семейства (2). Очевидно, огибающая семейства интегральных линий будет также интегральной линией уравнения (1), так как в каждой её точке она касается некоторой интегральной кривой и, следовательно, имеет направление поля. Относительно функции F (х, у, С) нам придётся предположить, что она имеет непрерывные производные по всем своим аргументам, и сделать ещё некоторые другие предположения, о которых будет сказано несколько позже и которые в нашем тексте напечатаны курсивом.
Допустим, что искомая линия существует. Так как она в каждой своей точке (х, у) касается некоторой линии [значок С указывает то значение параметра С, при котором уравнение этой линии получается из общего уравнения (2)], то координаты её точек удовлетворяют уравнению F(x, у, С(х, у)) =0, где теперь С уже не постоянно, но в каждой точке линии L принимает свой значение (именно равное тому С, которое соответствует линии ). Будем рассматривать только такой кусок линии L, где у есть дифференцируемая функция от х (точно так же можно исследовать куски, где х есть дифференцируемая функция от у). Тогда можно считать С в предыдущем уравнении зависящим только от х и переписать это уравнение в следующем виде:
F(x,y, C(x)) = 0. (3)
Допустим, что функция С(х) дифференцируема, не постоянна ни в каком интервале рассматриваемых значений х и нам известна. Найдём тогда из уравнения (3) значение у' для удовлетворяющей этому уравнению функции у от х. Продифференцируем для этого уравнение (3) по х, считая у функцией от х. Получим
С другой стороны, если бы мы нашли у' для проходящей через ту же точку (х, у) линии семейства (2), мы получили бы
Чтобы определяемые из обоих уравнений значения у' (определить у' из этих уравнений можно, если ) были одинаковы (т. е. чтобы в этой точке линия (2) и линия (3) имели общую касательную), необходимо, чтобы было.
Чтобы это произведение было равно 0, надо, чтобы по крайней мере один из его множителей обращался в 0. Если на некотором интервале, это будет означать, что С постоянно, что противоречит предположению. Поэтому для огибающей должно быть (4)
Легко видеть и обратное: именно, что, если при сохранении всех сделанных допущений относительно F(x, у, С) уравнения (3) и (4) определяют у(х) и С(x), как дифференцируемые функции от х, причём С(х) ни в каком интервале рассматриваемых значений х не постоянна, то у = у(х) будет огибающей семейства (2).
Замечание 1. Так как в постановке задачи х и у были совершенно равноправны, то в её решении роли х и у можно поменять.
Замечание 2. Огибающая семейства интегральных линий некоторого дифференциального уравнения 1-го порядка всегда является существенно особой интегральной линией для этого уравнения, так как из каждой её точки по одному направлению выходят по крайней мере две интегральные линии.
Пример 1. На всей плоскости (x, y) дано семейство кривых
(5)
Оно состоит из кубических парабол, полученных из однойсдвигом, параллельным оси .
Приравнивая нулю, получим . Отсюда С = — х. Подставляя это в уравнение семейства, получим линию у = 0, которая, очевидно, является огибающей семейства (5)
Замечание. Если бы мы написали уравнение нашего семейства в виде
то было бы = -1 и наш метод не дал бы огибающей, которая на самом деле существует. Это происходит потому, что теперь не существует при у = 0.
Пример 2. На всей плоскости (х, у) задано семейство кривых
(6)
Приравнивая нулю , получим .
Отсюда С= -x. Подставляя это в уравнение (6), получим у = 0.
Но легко видеть, что ось x-ов не является огибающей семейства (6) (см. рисунок). Это происходит только потому, что при у = 0
Пример 3. Семейство окружности
(7)
покрывает полоску между прямыми х = ±1. Приравнивая нулю , получим 2(у + С) = 0. Отсюда С = -у. Подставляя это вместо С в уравнение семейства, получим х = ±1.
Каждая из этих прямых является огибающей семейства (7) (см. рис.).
Допустим, что точки А и В (см. рисунок) соединены тонкой, абсолютно гладкой, проволокой, форма которой изображается кривой y = f(x). Пусть, далее, вдоль этой кривой свободно скользит некоторый груз под действием силы тяжести. Тогда время, в которое этот груз достигнет точки В, будет зависеть от формы кривой. Существует некоторая кривая, для которой груз достигнет точки В в кратчайшее время.
Эта кривая называется «брахистохроной». Задача состоит в том, чтобы найти форму этой кривой.
Для решения задачи необходимо найти выражение, для количества времени, затрачиваемого на скольжение груза по любой проволоке. Удобнее всего использовать для этого три закона из области механики:
1) Потенциальная энергия груза пропорциональна его высоте над поверхностью земли. Фактор пропорциональности равен массе т, умноженной на ускорение силы тяжести g.
2) Кинетическая энергия движущегося тела пропорциональна квадрату скорости. Фактор пропорциональности равен .
3) Сумма потенциальной и кинетической энергии тела постоянна, если они не сообщают энергии некоторому другому телу, Эго положение носит название «принципа сохранения энергии». В нашей задаче отсутствуют силы трения, и значит груз не теряет энергий при скольжении вдоль проволоки. Поэтому сумма его кинетической энергии и потенциальной энергии mg() есть величина постоянная. Получаем уравнение:
где α—неизвестная постоянная2.
Далее, следует отметить, что груз движется все время в направлении касательной к проволоке. Следовательно, v есть скорость, с которой проходится дуга s, . Подставляя это выражение в (1), находим:
Следовательно, время пути представляется интегралом:
Выражая ds через х, получаем:
Это и есть тот интеграл, минимум которого мы должны найти. Пусть y = f(x) есть уравнение искомой кривой, а у = f(х) + ε(х) уравнение соседней кривой. Обозначим время движения вдоль этой последней кривой через t+dt, где
Нужно проинтегрировать член, зависящий от по частям, и принять во внимание, что ε исчезает в концах интервала интеграции. После того, как это будет сделано, подынтегральное выражение сведется к произведению двух множителей. Один из них есть ε, как и ранее, и является произвольным, Так как весь интеграл должен исчезать, то обращается в нуль другой множитель, что приводит к дифференциальному уравнению:
Возможно решить это уравнение после выполнения указанного дифферен- цирования, но оказывается проще сделать это сразу для уравнения (3). Так как процесс интеграции, который мы сейчас применим, оказывается полезным при решении практических задач, то мы проведем его шаг за шагом.
Прежде всего заметим, что уравнение не содержит х. Поэтому заменяем эквивалентным ему символом . Собирая все члены, содержащие , в левую часть, приводим уравнение к виду:
В левой части уравнения выражение, стоящее перед знаком почти равно выражению под знаком . Если бы они вполне совпадали, то левая часть была бы произведением функции на ее производную и интеграл от левой части равнялся бы квадрату этой функции. Умножаем поэтому обе части уравнения на такой фактор, чтобы указанное условие было выполнено.
Очевидно, что этот множитель есть:
В правой части вместо показателя войдет при этом 2. Произведя эту замену, мы тотчас же можем проинтегрировать уравнение. Получим:
Это уравнение легко разрешить относительно ; получим в результате:
откуда:
Вычисление этого интеграла упрощается, если произвести замену переменного:
при этом интеграл будет равен:
Уравнения (4) и (5) определяют вместе искомую брахистохрону в функции вспомогательной переменной, или «параметра», θ. Если дадим этому параметру частное значение, можем найти значение х из уравнения (5), а соответствующее значение y=f(x) из (4). Очевидно, что давая ряд значений θ, мы получим ряд точек на брахистохроне. Кривая, которая при этом получится, есть циклоида, изображенная на рисунке. Можем исключить θ из уравнений (4) и (5) и получить таким образом кривую в обычной форме:
Но удобнее пользоваться параметрическими уравнениями (4) и (5), вместо этого сложного уравнения.
Задача о брахистохроне с фиксированной абсциссой правого конца
Задача. Среди гладких кривых, начинающихся в точке (а, А)= (0, 0) и оканчивающихся на прямой x = b > 0, найти кривую наискорейшего спуска.
Решение. Время спуска Т(у) на кривой Y=y(x) определяется интегралом
Лагранжевыми кривыми в данном случае являются циклоиды вида
Условие трансверсальности в данном случае принимает вид
Искомая циклоида должна пересекать прямую х=b ортогонально.
Вершина циклоиды необходимо лежит на прямой х=b.
Задача. Среди гладких кривых Y = y(x), начинающихся в точке (а, А) и оканчивающихся на кривой L с уравнением Y= Ф(x), найти кривую наименьшей длины, т.е. найти расстояние от (а, А) до кривой L.
Решение. Длина s(y) кривой
Y = y(x), y(a) = A, y[ β(λ) ] = Ф[ β, λ ]
определяется интегралом
s(y)=.
Лагранжевыми кривыми в данном случае являются, очевидно, прямые
.
Условие трансверсальности
принимает вид:
или
1 + = 0.
Следовательно, искомая прямая Y = y(x) должна пересекать кривую L ортогонально.
Из проведенных рассуждений также следует, что отрезок наименьшей длины, соединяющей кривые и должен быть ортогональным и к и к .
Геодезические линии на кривой поверхности
Рассмотрим точки А и В на поверхности, изображенной на рисунке. Среди всех кривых, которые мы можем провести на этой поверхности из точки А в точку В, существует одна кратчайшая. Она называется геодезической. Эту геодезическую линию мы и будем отыскивать. Один из способов определить эту геодезическую есть определение ее проекции на плоскость ху. Уравнение проекции А'В' вместе с уравнением поверхности вполне определяют геодезическую линией. Пусть уравнение поверхности есть z = Ф(x, y).
Тогда, если х и у получат приращения dx и dy, то z получит приращение:
Следовательно, для элемента длины дуги ds имеем:
Предположим, что точки А и В соединены произвольной кривой, проекция которой на плоскость ху есть у = у(х). Тогда длина кривой равна:
Минимум этого интеграла мы ищем.
В качестве примера рассмотрим случай параболического цилиндра, изображенного на следующем рисунке; его
z = b
Отсюда
т. е. (1) обращается в
Можно получить из этого интеграла дифференциальное уравнение геодезической линии обычным способом, который был уже подробно разъяснен, так что не стоит этого повторять. Это уравнение будет:
Легко решить это уравнение. Решение дает семейство кривых на поверхности, обладающих тем свойством, что если на какой-нибудь из кривых мы отметим пару точек, то расстояние по этой кривой между этими точками меньше расстояния между ними по любой другой кривой. Если мы хотим найти геодезическую линию, проходящую через две заданные точки, то, выбирая координаты этих заданные точки, точек в качестве граничных значений, можем определить постоянные интеграции в общем решении.
Задача. Определить линию наименьшей длины, соединяющую точки (a, и (b, по поверхности G(x, y, z) = 0.
Решение. Длина пространственной кривой у = у(х), z = z(x), определяется интегралом
s(y, z)=.
Строим функцию Лагранжа:
F*=
Для определения экстремали получаем систему Эйлера
λ = 0
λ = 0
которую следует решать с учетом уравнения связи G = 0 и граничных условий.
Задача о криволинейной трапеции с наибольшей площадью
Задача. Среди кривых y, соединяющих точки (a, A) и (b, B), где A, B>0, и имеющих заданную длину l, >+,найти такую, чтобы криволинейная трапеция, ограниченная сверху этой кривой, имела наибольшую площадь. Другими словами, найти максимум функционала
s(y)=
при граничных условиях
y(a)=A, y(b)=B
и изопериметрической связи
=l.
Решение. Вспомогательная функция имеет в данном случае вид
.
Функционал является специальным, ибо не содержит x явно, поэтому вариационное уравнение Эйлера для этого функционала имеет первый интеграл
или
y-.
Для интегрирования последнего уравнения введем вспомогательный параметр t, пологая . Тогда
И поэтому dx= λ cos t dt или x= λ sin t+
Таким образом,
.
или
.
Экстремалями являются окружности. Постоянные обычным образом определяется из граничных условий и изопериметрической связи.
Задача разрешима, если дуга окружности длины l, соединяющая точки (a, A) и (b, B), не выходит из полосы ax b.
Кривая провеса гибкой нерастяжимой нити
В двух точках и на одном уровне и на расстоянии друг от друга подвешена нить. Требуется найти форму, которую примет эта нить под действием силы тяжести. Пусть кривая на рисунке изображает эту форму, и рассмотрим какой-нибудь элемент длины ds3.
Одно из основных предложений механики состоит в том, что этот элемент должен быть в равновесии под действием сил, действующих на него. Эти силы суть:
a) его собственный вес, являющийся силой, действующей вертикально вниз;
b) натяжение нити в нижнем конце, действующее в направлении касательной в этой точке;
c) натяжение нити в верхнем конце, действующее в направлении касательной в этой точке.
Обозначим наклоны касательных в двух концах через — θ и θ + , напряжения — через Т и T + dT и линейный вес4 нити — через т. Тогда, если три силы разложены на их х- и y- компоненты, мы получим соответственно:
Если элемент нити должен быть в равновесии, под действием этих сил необходимо, чтобы сумма компонент X и сумма компонент У были ну лями, т. е.:
Деля почленно эти уравнения, имеем:
Первое из уравнений (1) утверждает, что горизонтальная компонента натяжения одна и та же в двух концах элемента ds.
Так как элемент ds произвольно выбранный, то отсюда следует, что эта компонента одна и та же в каждой точке кривой5. Если обозначим ее через k, то (2) примет вид:
Если мы запишем это последнее в виде
и будем приближать ds и dθ к нулю, то левая часть уравнения обратится в производную tan θ. Итак:
Это и есть дифференциальное уравнение искомой кривой, выраженное, как говорят математики, во внутренней форме, т. е. оно выражает длину s, измеренную, начиная с некоторой точки, в функции наклона касательной. Для многих вопросов, однако, внутренняя форма не очень удобна, и поэтому лучше свести ее к обычной декартовой форме. Для этого нужно произвести замену обеих переменных s и θ на х и у, связанных с первыми соотношениями:
Переменное s исключается, если мы заметим, что
Это дает
Дифференцируя первое из уравнении (4) по х, мы получаем:
Результат подстановки будет поэтому:
Упростив (5), получаем:
Это и есть дифференциальное уравнение кривой провеса нити, выраженное в функции декартовых координат х и у.
Поверхность вращения наименьшей площади
Если две точки А и В (см. рисунок) связаны кривой y = f(x) и вся эта фигура вращается около оси x, то кривая образует при этом поверхность вращения.
Площадь этой поверхности зависит от формы кривой, т. е. от формы функции f(x). Существует кривая, обладающая тем свойством, что ее поверхность вращения имеет наименьшую площадь.
Задача состоит в том, чтобы найти уравнение этой кривой. Так как задача похожа на те задачи анализа, где приходится отыскивать точки максимума или минимума кривой, то полезно напомнить рассуждение, при помощи которого такие задачи решаются. Оно состоит в основном из трех шагов.
1) Абсцисса минимальной точки предполагается сначала известной и обозначается, например, буквой х.
2) Отмечается, что передвижение из точки минимума в любом направлении увеличивает функцию, другими словами, что f(x+ε) и f(xε) больше f(x).
3) Если ε очень мало, то
f(x+ε) f(x)+ε f(x — r) f(x) ε.
Одно из этих выражений больше f(x), а другое меньше, если только f (х) не обращается в нуль. Но в силу 2) этого быть не может, следовательно в точке минимума производная функция должна исчезать.
Конечно, этого одного недостаточно. Напомним, что условие 3) необходимо также для максимума, и до тех пор пока мы не рассмотрели вторую произ-водную, нельзя узнать, что именно мы получили.
Однако это все, что нужно для наших целей.
Мы решим нашу задачу путем совершенно аналогичным.
1) Предполагаем, что искомая кривая известна и что ее уравнение есть
y=f(x).
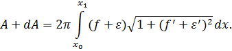
2) Если будем менять форму кривой произвольно, то площадь поверхности вращения должна при этом увеличиваться. Если обозначить разность между ординатами новой и старой кривых через ε(x), то новое уравнение будет:
y = f(x) + ε(x).
3) Можно показать, что если некоторое дифференциальное выражение не равно нулю, то площадь, описанная кривой f(х)+ε(х), будет больше площади, описанной кривой f(x), а площадь, описанная кривой f(х) ε(x), будет меньше этой последней. Отсюда дифференциальное выражение должно исчезать. Это приводит к дифференциальному уравнению, решение которого определяет искомую кривую.
После того как мы наметили таким образом нашу задачу, приступим к детальному проведению третьего шага. Прежде всего нужна написать выражение для площади поверхности вращения. Это- простая задача анализа, ответом на которую служит выражение:
Заменим теперь y = f(x) новой кривой
y = f(x) + ε(x).
При вращении этой кривой получим площадь:
Если ε есть малое изменение у, и выбрано так, что ε тоже мало, то
а следовательно:
Члены, не написанные в (1), содержат степени ε порядка выше первого и могут быть поэтому отброшены. Если dA не равно нулю, то оно меняет знак при изменении знака е. Это означает, что площадь поверхности вращения для новой кривой меньше, чем для самой кривой, что, конечно, противоречит предположению, что она давала наименьшую площадь. Отсюда dA должно обращаться в нуль.
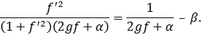
Уравнение (1) является в некотором смысле эквивалентным выражению εf(х) для случая анализа. Однако между ними есть существенная разница. В дифференциальном исчислении ε входит только множителем, и поэтому произведение могло равняться нулю только при исчезновении второго множителя. Для уравнения (1) в этой его форме мы не можем этого утверждать. Оно должно быть так изменено, чтобы исчезло . Прежде всего наш интеграл состоит из двух частей, одна из которых содержит ε, а другая .
Оставляем первый интеграл без изменения, а второй интегрируем по частям:
Так как условия задачи требуют, чтобы каждая интегральная кривая проходила через точки А и В, то ε(х) должно исчезать для обоих пределов интеграции. Поэтому первый член правой части равенства (2) обращается в нуль. Подстановка оставшегося члена в уравнение (1) дает искомое необходимое условие минимума в виде:
Теперь, как в случае дифференциального исчисления εf(x), подинтегральная функция состоит из двух множителей: ε(x), которое произвольно, и выражения в скобках, содержащего только f(x) и ее производные. Так же как и в случае задачи дифференциального исчисления, последние фактор должен обратиться в нуль. Действительно, предположим обратное. Тогда в некоторых интервалах между оно отрицательно, в других положительно. Так как ε(х) произвольная функция6, то она может быть выбрана положительной там, где другой множитель отрицателен, и отрицательной в остальных точках. Тогда (3) будет отрицательным и площадь поверхности уменьшится. Итак, мы приходим к заключению, что искомая кривая y = f(x) должна удовлетворять дифференциальному уравнению:
Уравнение это настолько просто, что его решение предоставляем читателю. Следует отметить, что это уравнение второго порядка и поэтому может удовлетворять двум граничным условиям. Так как в задаче даются как раз два граничных условия—точки А и В,—то наш результат вполне соответствует поставленной задаче.
Особенный исторический интерес имеет так называемая задача Дидоны. По преданию, Дидона, попав в немилость своему брату Пигмалиону, собрала все деньги, какие могла, и убежала на южный берег Средиземного моря. Там она заключила сделку с царем Иарбасом на покупку такого количества земли, сколько можно было отмерить при помощи шкуры вола.
С остроумием и хитростью, которых всегда достаточно в мифологии, она разрезала кожу на тонкие ремешки, связала их друг с другом и окружила при помощи их место Карфагена. С характерной для финикиян настойчивостью в достижении поставленной цели, она не соединила концы, а поместила их на берегу моря. Задумав свой блестящий план, она встретилась с задачей, каким образом так расположить ремень, чтобы охватить им наивыгоднейшую часть земли, которая может быть максимальной или нет, в зависимости от обстоятельств.
Задача Дидоны состоит, таким образом, в следующем: задана кривая (берег моря), известна цена земли (изменяющаяся с изменением места); как провести кривую заданной длины, чтобы стоимость площади между этими двумя кривыми была максимальной?
Чтобы иллюстрировать метод изучения изопериметрических задач, решим задачу Дидоны для простейшего случая, именно предположим, что земля имеет всюду одинаковую ценность и что берег моря прямолинейный. Кроме того предположим, что концы веревки помещены в две заданные точки, расстояние между которыми равно X7. Задача сводится к определению кривой заданной длины, ограничивающей максимальную площадь.
Следовательно, эта кривая удовлетворяет двум условиям, изложенным на ее длину и на площадь, которую она ограничивает. Выбирая берег моря за ось х и помещая один из концов веревки в начало координат, мы можем записать эти условия в виде равенств:
Первый интеграл имеет заданное значение, второй должен быть сделан наибольшим, путем выбора соответствующей функции f(x).
Пусть искомая кривая, удовлетворяющая поставленным требованиям, имеет уравнение у=f(x), длина ее равна , а ограничиваемая ею площадь равна . Попытаемся применить наш прежний метод и сравним кривую y=f(x) с кривыми у =f(x) ε(x), где ε(х) мало, но в остальном произвольно.
Очевидно, нельзя уже сказать, что + dA — новая площадь дли кривой сравнения — меньше чем . Действительно, кривая сравнения может оказаться длиннее прежней и поэтому заключить большую площадь. Другими словами, наше прежнее рассуждение не годится и мы должны найти новый метод исследования.
Для этой цели рассмотрим вместо кривой Дидоны длины , новую кривую длины + dL, где dL может быть как положительно, так и отрицательно. Предположим, что новая кривая так расположена, что ограничивает максимальную площадь, которая будет больше или меньше , в зависимости от знака dL. Обозначим, наконец, вновь полученную площадь через8 А + ΔА, а отношение (или предел этого отношения при dL стремящемся к нулю) через λ. Мы можем теперь утверждать, что если мы изменим длину кривой на величину dL, то наибольшая площадь, которую она при этом может ограничивать, будет равна Aо + λ dL.
Вернемся теперь к произвольной кривой сравнения у =f(x) + ε(x), и пусть эта кривая имеет длину L0 + dL, большую, меньшую или равную Lo. Обозначим через Ао + dA площадь, ограниченную этой новой кривой. Какова бы ни была эта площадь, она не может быть больше A0 + λdL, так как по предположению это—максимальная площадь, для кривой длины Lo + dL. Отсюда следует, что
dA λdL,
или
dA λdL 0.
Это приводит к теореме:
Как бы мы не изменили кривую y = f(x), изменяя ее длину или нет, величина dAλdL никогда не является положительной. Но если dAλdL не положительно, то АλL не может быть больше для новой кривой, чем для прежней. Мы можем, следовательно, высказать полученную теорему в более выразительной форме:
Кривая, для которой величина А наибольшая по сравнению с кривыми той же длины, делает наибольшей величину АλL. по сравнению с кривыми произвольной длины.
Поэтому решить задачу максимума для А с ограничением, что длина кривых сравнения L , равна Lo, — то же самое, что решить задачу максимума для АλL без всяких ограничений на кривые сравнения. Правда, правильное решение задачи получится только в том случае, если λ выбрана правильно, а так как невозможно определить λ, не зная решения задачи, то может показаться, что мы ничего не достигли нашим рассуждением.
Мы увидим, однако, что, предполагая пока λ неизвестной постоянной, мы найдем в дальнейшем способ ее определения. Итак, интеграл, максимум которого требуется найти, есть:
Обычные преобразования приводят к дифференциальному уравнению:
решение которого
+=λ
Это — уравнение круга, радиуса λ, с центром в точке (α, β). В него входят три произвольных постоянных α, β и λ, но мы имеем три условия для их определения, так как кривая должна проходить через точки (0,0), (X, 0) и должна иметь длину L.
Простейший способ определения постоянных— геометрический. Известно, что центр круга, проходящего через две точки А и В, лежит на перпендикуляре, делящем хорду АВ пополам. Отсюда а равняется . Так как гипотенуза и один из катетов треугольника ADC известны, то легко вычислить другой катет.
Итак, получаем для β значение . Наконец, есть величина угла АС В, измеренного в радианах. Угол ACD равен половине этого угла, и его синус равен
Это дает нам уравнение:
откуда можно определить λ. Уравнение трансцендентное и его нельзя решить алгебраическим методом. Его можно решить приближенно путем догадки или с помощью рядов. Так, например, если L равно 1,25 X, λ оказывается равным , а следовательно, β=-0,234Х. Это как раз тот круг, который изображен на рисунке.
Данная курсовая работа состоит из введения, основной части, заключения и списка использованной литературы.
Целью курсовой работы являться рассмотрение геометрических задач и приведение их к дифференциальным уравнениям.
В ходе выполнения данной курсовой работы мы пришли к тому, что часть дифференциальных уравнений разрешимы явно, а часть уравнений явно неразрешимы.
Таким образом, из вышесказанного можно сделать вывод, что цель курсовой работы достигнута.
Список использованной литературы
Арнольд В. И. Обыкновенные дифференциальные уравнения. – М.: Наука, 1984. – 271 с.
Богданов Ю. С. Лекции по дифференциальным уравнениям. – Минск: Вышейшая школа, 1977. – 239 с.
Еругин Н. П., Штокало И. З., Бондаренко П. С. И др. Курс обыкновенных дифференциальных уравнений. – Киев: Вища школа, 1974. – 471 с.
Краснов М. Л. Обыкновенные дифференциальные уравнения. – М.: Высшая школа, 1983. – 128 с.
Матвеев Н. М. Дифференциальные уравнения: Учеб. Пособие для студентов пед. ин-тов по физ.-мат. спец. – М.: Просвещение, 1988. – 256 с.
Матвеев Н. М. Сборник задач и упражнений по обыкновенным дифференциальным уравнениям. – Минск: Вышейшая школа, 1987. – 319 с.
Матвеев Н. М. Методы интегрирования обыкновенных дифференциальных уравнений. – Минск: Вышейшая школа, 1974. – 766 с.
Петровский И. Г. Лекции по теории обыкновенных дифференциальных уравнений. – М.: 1952 Ленинград.
Понтрягин Л. С. Обыкновенные дифференциальные уравнения. – М.: Наука, 1970. – 331 с.
Самойленко А. М., Кривошея С. А., Перестюк Н. А. Дифференциальные уравнения, примеры и задачи. – Киев: Вища школа, 1984. – 408 с.
Смирнов М. М. Дифференциальные уравнения в частных производных второго порядка. – М.: Наука, 1964. – 205 с.
Тихонов А. Н., Васильева А. Б., Свешников А. Г. Дифференциальные уравнения. – М.: Наука, 1972. – 724 с.
Тихонов А. Н., Самарский А. А. Уравнения математической физики. – М.: Наука, 1972. – 724 с.
Торнтон Фрай. Элементарный курс дифференциальных уравнений. – М.: 1933 Ленинград.
Федорюк М. В. Обыкновенные дифференциальные уравнения. – М.: Наука, 1979. – 352 с.
1 Предполагаются различными те линии семейства (2), которым соответствуют различные С.
2 Она зависит от , высоты в точке A, которую мы можем сделать произвольной подходящим выбором начала координат.
3 На самом деле этот элемент есть приращение длины дуги и обозначается в дифференциальном исчислении через Δs. Однако в физических исследованиях, если такое приращение будет стремиться к нулю, пользуются сразу символом диференциала. Это редко приводит к недоразумениям и часто оказывается олез-ным, давая рассуждению большую наглядность.
4 Т.е. вес на единицу длины.
5 Это есть, вместе с тем, наименьшее натяжение для точек кривой, а именно — натяжение внизу, где вертикальная компонента натяжения исчезает.
6 Мы только предполагали ε и очень малыми. Однако и эти ограничения не необходимы и были сделаны только для упрощения рассуждения.
7 Если точки О и X слишком близки между собой, то может случиться, что придется протягивать веревку под точками берега вне интервала (OX), и интегралы в написанной форме не верны. Мы не будем рассматривать этих случаев; мы будем считать у однозначной функции х.
8 Мы пишем ΔA вместо dA, так как хотим сохранить последний символ для приращения площади при переходе к произвольной кривой.
Нравится материал? Поддержи автора!
Ещё документы из категории математика:
Чтобы скачать документ, порекомендуйте, пожалуйста, его своим друзьям в любой соц. сети.
После чего кнопка «СКАЧАТЬ» станет доступной!
Кнопочки находятся чуть ниже. Спасибо!
Кнопки:
Скачать документ