Исследование наилучших приближений непрерывных периодических функций тригонометрическими полиномами


























































































































































































































































































































































































































































































Исследование наилучших приближений непрерывных периодических функций тригонометрическими полиномами
Государственный комитет Российской Федерации по высшему образованию
Саратовский ордена Трудового Красного Знамени государственный университет им. Н.Г.Чернышевского
Кафедра математического анализа
ИССЛЕДОВАНИЕ НАИЛУЧШИХ ПРИБЛИЖЕНИЙ НЕПРЕРЫВНЫХ ПЕРИОДИЧЕСКИХ ФУНКЦИЙ ТРИГОНОМЕТРИЧЕСКИМИ ПОЛИНОМАМИ
ДИПЛОМНАЯ РАБОТА
студентки 524 группы механико-математического факультета
Чуркиной Любови Васильевны
Научный руководитель
к.ф.-м.н, доцент
Тимофеев В. Г.
Заведующий кафедрой
доктор ф.-м.н., профессор
Прохоров Д.В.
г.Саратов-1996 г.
Оглавление.
Наименование
Стр.
Введение
3
§1. Некоторые вспомогательные определения
7
§2. Простейшие свойства модулей нерперывности
20
§3. Обобщение теоремы Джексона
24
§4. Обобщение неравенства С.Н.Бернштейна
27
§5. Дифференциальные свойства тригонометрических полиномов, аппроксимирующих заданную функцию
30
§6. Обобщение обратных теорем С. Н. Бернштейна и Ш. Валле-Пуссена
34
§7. Основная теорема
44
§8. Решение задач
47
Литература
50
Введение
Дипломная работа посвящена исследованию наилучших приближений непрерывных периодических функций тригонометрическими полиномами. В ней даются необходимые и достаточные условия для того, чтобы наилучшие приближения имели заданный (степенной) порядок убывания.
Дипломная работа носит реферативный характер и состоит из “Введения” и восьми параграфов.
В настоящей работе мы рассматриваем следующие задачи:
При каких ограничениях на непрерывную функцию F(u) (-1 u +1) её наилучшие приближения En [F;-1,+1] обыкновенными многочленами имеют заданный порядок (n-1 )?
При каких ограничениях на непрерывную периодическую функцию f (x) её наилучшее приближение En[f] тригонометрическими полиномами имеют заданный порядок (n-1 )?
Подстановка u=cos(x) сводит задачу 1 к задаче 2. Достаточно, следовательно, рассматривать лишь задачу 2.
Мы ограничимся случаем, когда N , для некоторого , где - функция сравнения р-го порядка и для 0<<
С.Н.Бернштейн, Д.Джексон и Ш.Валле-Пуссен получили зависимости между оценками сверху для En[f] и дифференциальными свойствами f. Некоторые дополнения к их теоремам доказаны А.Зигмундом. нам предстоит, поэтому, получить зависимости между дифференциальными свойствами f и оценками En[f] снизу. Впервые задачами типа 1 занимался С.Н.Бернштейн. А именно, им получено ассимптотическое равенство:
,
где - некоторое число.
Наша основная теорема формулируется следующим образом:
Пусть N Для того чтобы
необходимо, чтобы для любого натурального k>, и достаточно, чтобы для некоторого натурального k>
где
Изложим теперь кратко содержание каждого из параграфов работы.
В §1 даётся ряд вспомогательных определений, которые понадобятся в дальнейшей работе.
В §2 выводятся основные свойства модулей непрерывности высших порядков. Почти все эти свойства используются в дальнейшем тексте.
§3 посвящен обобщению теоремы Джексона. Как известно, Джексон доказал следующую теорему: если f имеет непрерывную r-ую производную f (r) , то
Таким образом, теорема Джексона дает оценку сверху для наилучших приближений, если известны дифференциальные свойства аппроксимируемой функции.
В 1947 г. появилась работа С.Н.Бернштейна [1]. Одна из теорем этой работы содержит в качестве следствия такое предложение: пусть
Тогда
В §3 доказываем:
(*)
В §4 формулируется доказанное в работе С.Б.Стечкина [2] обобщение известного неравенства С.Н.Бернштейна [3], [4] для производных от тригонометрического полинома. Мы приводим затем ряд следствий из нашего неравенства (*). Они играют существенную роль при доказательстве теорем §5.
В §5 рассматривается следующая задача. Пусть тригонометрический полином tn , близок в равномерной метрике к заданной функции f или последовательность полиномов {tn} достаточно хорошо аппроксимирует заданную функцию f. Как связаны тогда дифференциальные свойства f с дифференциальными свойствами tn?
Если tn , образуется из f посредством регулярного метода суммирования рядов Фурье, то ответ тривиален: для того чтобы , необходимо и достаточно, чтобы равномерно относительно n. (fHk[], если ).
Оказывается, что этот результат сохраняется и для полиномов наилучшего приближения: для того, чтобы равномерно относительно n.
Отметим еще один результат параграфа: для того чтобы , необходимо и достаточно чтобы
.
§6 посвящён “обратным теоремам” теории приближения.
Известно предложение: пусть
.
Тогда, если не целое, r=[], =-r, то f имеет нерперывную производную .
Случай целого рассмотрен Зигмундом. В этом случае
.
Нетрудно показать, что эти два предложения эквивалентны следующему: пусть 0<<k и
.
Тогда
.
В работе [3] С.Н.Бернштейн доказал также эквивалентность условий и .
Мы переносим эти теоремы на условия вида
,
где N
Кроме того, в этом параграфе доказано, например, такое предложение: пусть k - натуральное число и
;
для того, чтобы , необходимо и достаточно выполнение условия
.
В конце параграфа даются уточнения теорем Валле-Пуссена.
В §7 доказывается основная теорема. Мы даём здесь же оценку En[f] снизу, если
.
Именно, тогда
Случай =0 установлен С.Н.Бернштейном [3].
В §8 мы рассматриваем несколько решений задач с использованием различных модулей непрерывности.
§1. Некоторые вспомогательные определения.
В работе рассматриваются непрерывные функции f с периодом 2 и их приближение тригонометрическими полиномами. Через tn(x) обозначается тригонометрический полином порядка не выше n, а через tn*(x)=tn*(x,f)-тригонометрический полином, наименее уклоняющийся от f среди всех tn(x). Мы полагаем и пишем
Введём ряд определений.
Определение 1. При каждом фиксированном классом Липшица порядка называется множество всех непрерывных функция f, модуль непрерывности каждой из которых удовлетворяет условию
где С8-какая-нибудь положительная постоянная, которая не зависит от и которая, вообще говоря, является различной для разных функций. Этот класс обозначается H или Lip
Определение 2. Обозначим при фиксированном натуральном r через W(r)L класс функций f, которая имеет абсолютно непрерывные производные до (r-1) порядка и у которой r-я производная принадлежит классу L.
Определение 3. Для непрерывной на [a,b] функции f (x) назовём модулем непрерывности первого порядка или же просто модулем непрерывности функцию f;, определённую на [0, b-a] при помощи следующего равенства:
(1.1)
или, что то же самое,
(1.1’)
Свойства модуля непрерывности:
есть функция, монотонно возрастающая;
есть функция непрерывная;
есть функция полуаддитивная в том смысле, что для любых и
(1.2)
Доказательство. Свойство 1) вытекает из определения модуля непрерывности.
Свойство 2) вытекает из того, что при больших нам приходится рассматривать sup на более широком множестве значений h. Свойство 4) следует из того, что если мы число представим в виде h=h1+h2, и , то получим
Из неравенства (1.2) вытекает, что если то т.е.
(1.3)
Теперь докажем свойство 3). Так как функция f (x) равномерно непрерывна на [a,b], то при и, следовательно, для любых ,
при
а это и означает, что функция непрерывна.
Определение 4. Пусть функция f (x) определена на сегменте [a,b]. Тогда для любого натурального k и любых и h>0 таких, что k-й разностью функции f в точке x с шагом h называется величина
(1.4)
а при и h>0 таких, что k-й симметричной разностью - величина
(1.4’)
Лемма 1. При любых натуральных j и k справедливо равенство
(1.5)
Доказательство. Действительно, так как при любом натуральном k
то
Лемма доказана.
Лемма 2. При любых натуральных k и n верна формула:
(1.6)
Доказательство. Воспользуемся индукцией по k. При k=1 тождество (1.6) проверяется непосредственно:
.
Предполагая его справедливость при k-1 (k2), получим
Лемма доказана.
Определение 5. Если измеримая периода (b-a) функция f(x)Lq (Lq-класс всех вещественных измеримых на [a,b] функции f(x)), то под её интегральным модулем гладкости порядка k1 понимают функцию
Лемма 3. Если то справедливо
(1.7)
Доказательство. В самом деле,
и так далее. Лемма доказана.
Определение 6. Если функция f(x) ограничена на [a,b], то под её модулем гладкости порядка k1 понимают функцию
заданную для неотрицательных значений и в случае, когда k=1, представляющую собой модуль непрерывности.
Свойства модулей гладкости:
есть функция, монотонно возрастающая;
есть функция непрерывная;
При любом натуральном n имеет место ( точное) неравенство
(1.8)
а при любом -неравенство
(1.8’)
5) Если функция f(x) имеет всюду на [a,b] непрерывные производные до (r-1)-го порядка, и при этом (r-1)-я производная , то
(1.9)
Доказательство. 1) Свойство 1) немедленно вытекает из того, что
2) Свойство 2) доказывается точно так же, как и для случая обычного модуля непрерывности.
3) Предполагая для определённости, что ’, получим
Этим непрерывность функции k() доказана.
4) Используя равенство лемму 2 §1, имеем
Этим неравенство (1.8) доказано. Неравенство (1.8’) следует из монотонности функции k(t) и неравенства (1.8).
5) Используя равенства лемму 1 и лемму 3 §1, получим
Определение 7. Пусть k-натуральное число. Будем говорить, что функция есть модуль непрерывности k-го порядка функции f, если
где -конечная разность функции f k-го порядка с шагом h:
Среди модулей непрерывности всех порядков особенно важное значение имеют случаи k=1 и k=2. Случай k=1 является классическим; вместо мы будем писать просто и называть эту функцию модулем непрерывности; функцию мы будем называть модулем гладкости.
Определение 8. Зададим натуральное число k. Будем говорить, что функция -есть функция сравнения k-го порядка, если она удовлетворяет следующим условиям:
определена для ,
не убывает,
,
Нетрудно показать, что если f 0, то есть функция сравнения k-го порядка (см. Лемму 5 §2).
Определение 9. Зафиксируем натуральное число k и функцию сравнения k-го порядка . Будем говорить, что функция f принадлежит к классу , если найдётся константа С10>0 такая, что
Вместо будем писать просто Hk.
Если для последовательности функций {fn} (n=1,2,...)
где С10 не зависит от n, то будем писать: равномерно относительно n.
Понятие классов является естественным обобщением классов Липшица и классов функций, имеющих ограниченную k-ю производную.
Определение 10. Зафиксируем число >0 и обозначим через p наименьшее натуральное число, не меньше чем (p=-[-]). Будем говорить, что функция принадлежит к классу , если она
1) есть функция сравнения p-го порядка и
2) удовлетворяет условию: существует константа С11>0 такая, что для
Условие 2) является небольшим ослаблением условия « не убывает». Функции класса N будут играть основную роль во всём дальнейшем изложении.
Определение 11. Будем говорить, что функция имеет порядок , если найдутся две положительные константы С12 и С13 такие, что для всех t, для которых определены функции и ,
.
При выполнении этих условий будем писать
.
Определение 12. Ядром Дирихле n-го порядка называется функция
(1.10)
Это ядро является тригонометрическим полиномом порядка n и при этом
(1.10’)
Определение 13. Ядром Фейера n-го порядка называется функция
(1.11)
Ядро Фейера Fn(t) является средним арифметическим первых n ядер Дирихле, и значит, является тригонометрическим полиномом порядка (n-1). Так что имеют место равенства
(1.11’)
(1.11’’)
где Dk(t)-ядра Дирихле.
Определение 14. Ядром Джексона n-го порядка называется функция
(1.12)
Свойства ядер Джексона.
а) При каждом n ядро Jn(t) является чётным неотрицательным тригонометрическим полиномом порядка 2n-2 вида
,
где jk=jk(n) - некоторые числа
б)
в)
г)
Доказательство.
а) Учитывая, что для ядер Fn(t) Фейера имеют место равенства
получим
где jk(k=1,2,...,2n-2) -некоторые числа, и в частности, в силу ортогональности тригонометрической системы функций найдем
Этим свойство а) доказано.
б) Это равенство следует из равенства, полученного для j0.
в) Так как при любом и при (**), то
г) Совершенно аналогично случаю в) получим
Что и требовалось доказать.
Определение 15. Ядром типа Джексона порядка n называется функция
, (1.13)
n=1,2,3,...,k-натуральное, где
(1.13’)
Ядра типа Джексона обладают следующими свойствами:
а)
б) При фиксированном натуральном k и произвольном n ядро Jn,k(t)
является чётным неотрицательным тригонометрическим полиномом порядка k(n-1)
в) n2k-1, т.е. существуют постоянные С14>0 и С15>0, такие, что при всех n=1,2,3,... будет
г) При любом >0 имеет место неравенство
д) При любом натуральном
Доказательство свойств ядер типа Джексона.
а) Это свойство вытекает из равенств определения
б) Это свойство следует из 1-го неравенства определения и из того, что в силу равенств (1.11) и (1.11‘’) будет
(1.14)
где - некоторые целые числа.
в) Учитывая неравенства (**), будем иметь
(1.15)
С другой стороны
(1.15‘)
г) Это неравенство вытекает из первого равенства определения и неравенства (1.15‘)
д) Действительно, с одной стороны, в силу неравенств (1.15‘) и (**)
(1.16)
где A-const, а с другой стороны, учитывая соотношение (1.15), неравенств (**) и из неравенства sintt, при всех t0 (***), имеем
(1.16‘)
A1-const. Неравенства (1.16) и (1.16‘) равносильны условию, что и требовалось доказать.
§2. Простейшие свойства модулей нерперывности.
Этот параграф носит вспомогательный характер. Здесь устанавливается несколько простейших свойств модуля нерперывности высших порядков. Все рассматриваемые здесь функции f1, f2, ... - непрерывны.
ЛЕММА 1. Для любого натурального k и любого 0
(2.1)
Доказательство: по определению,
Лемма доказана.
ЛЕММА 2. Пусть f и l -натуральные числа, lТогда для любого 0
(2.2)
и
(2.3)
Доказательство: Положим
Тогда для 0lимеем
откуда
Отсюда при l=0 вытекает, что
,
а при 0<l<k
Полагая в (2.3) l=1, находим, что
Из этого неравенства видно, что для любого натурального k
. (2.4)
ЛЕММА 3. Для любого натурального k модуль непрерывности k-го порядка является непрерывной функцией от .
Доказательство: Пусть Имеем
Отсюда
и
Таким образом
и так как при , то отсюда вытекает непрерывность функции , и лемма доказана.
ЛЕММА 4. Пусть k и p-натуральные числа. Тогда для любого
(2.5)
Доказательство: Индукция по k даёт формулу
Отсюда
и
Лемма доказана.
ЛЕММА 5. Пусть k-натуральное число, Тогда
(2.6)
Если кроме того 0<то
(2.7)
Доказательство: Докажем сперва неравенство (2.6). Рассмотрим случай для . Найдём натуральное число p из условий
(2.8)
Тогда p-1, и так как -является неубывающей функцией от , то принимая во внимание (2.5) и (2.8), получим
Рассмотрим случай для . Найдём натуральное число p из условий
(2.9)
Тогда p, и так как -является неубывающей функцией от , то принимая во внимание (2.5) и (2.9), получим
,
и неравенство (2.6) доказано. Неравенство (2.7) вытекает из (2.6), так как для 0<
Неравенство (2.7) показывает, что для любой f0 и любого натурального k
(2.10)
Лемма доказана.
ЛЕММА 6. Пусть f имеет r-ю производную f(r). Тогда
(2.11)
и для любого натурального k
(2.12)
Доказательство: Оба неравенства непосредственно вытекают из формулы
Если k=0, то мы получаем формулу (2.11). Лемма доказана.
§3. Обобщение теоремы Джексона.
Здесь будет получено небольшое усиление теоремы Джексона о наилучших приближениях периодических функций тригонометрическими полиномами.
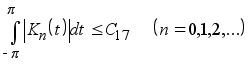
Лемма 7. Пусть дано натуральное число k. Существует последовательность ядер{Kn(t)}(n=0,1,...), где Kn(t) есть тригонометрический полином порядка не выше n, удовлетворяющая условиям:
(3.1)
(3.2)
(3.3)
Эту лемму можно считать известной. Как показывает простой подсчет, совершенно аналогичный проводившемуся Джексоном, в качестве ядер Kn(t) можно взять ядра Джексона достаточно высокой степени, то есть положить
где k0-целое, не зависит от n, натуральное p определяется из неравенства
,
а bp выбираются так, чтобы была выполнена нормировка (3.1).
Лемма 8. Если последовательность ядер {Kn(t)} удовлетворяет всем условиям предыдущей леммы, то
(3.4)
Доказательство. Имеем, пользуясь (3.2) и (3.3)
Лемма доказана.
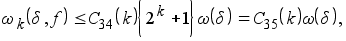
Теорема 1. Пусть k-натуральное число. Тогда
(3.5)
Доказательство. Пусть последовательность ядер {Kn(t)} (n=1,1,2,...) удовлетворяет всем условиям леммы 7. Положим
Очевидно, есть тригонометрический полином порядка не выше n-1. Оценим Имеем
Поэтому
(3.6)
Оценим последний интеграл. Полагая в неравенстве (2.6) , получим, что
Отсюда и из (3.4) следует:
Подставляя эту оценку в (3.6), получаем утверждение теоремы. Теорема доказана.
Следствие 1.1. Пусть k-натуральное число, r-целое неотрицательное. Тогда
(3.7)
В самом деле, согласно (2.12)
и применение теоремы 1 даёт (3.7).
§4. Обобщение неравенства С.Н.Бернштейна.
В этом параграфе формулируется одно обобщение неравенства С.Н.Бернштейна для производных от тригонометрического полинома.
Теорема 2. Пусть . Тогда для любого натурального k
(4.1)
и неравенство обращается в неравенство в том и только в том случае, если
Доказательство этого неравенства опубликовано в работе С.Б.Стечкина [2].
Отметим несколько следствий из этого неравенства.
Следствие 2.1. (неравенство С.Н.Бернштейна):
(4.2)
Полагая в (4.1) , получаем
(это неравенство доказано С.М.Никольским [5]) но по лемме 2 §2,
откуда и следует (4.2).
Два последних неравенства одновременно обращаются в равенство только в случае, если
Следствие 2.2. Пусть . Тогда
(4.3)
Первое неравенство совпадает с утверждением теоремы 2, а второе вытекает из оценки
(4.4)
Таким образом, для средний член в (4.3) заключен между двумя пределами, зависящими только от .
Следствие 2.3. Пусть . Тогда
(4.5)
В частности,
(4.6)
Следствие 2.4. Пусть Тогда
(4.7)
В частности, для имеем
(4.8)
В самом деле, из (4.4) или (2.12) следует:
и остается воспользоваться неравенством (4.5).
Следствие 2.5. Пусть Тогда
. (4.9)
Вторая половина неравенства совпадает со следствием 2.4, а первая непосредственно вытекает из (2.7).
§5. Дифференциальные свойства тригонометрических полиномов, аппроксимирующих заданную функцию.
В этом параграфе устанавливается, что если тригонометрический полином tn(x) близок к заданной функции f, то его модули непрерывности можно оценить через модули непрерывности f.
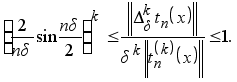
Теорема 3. Зафиксируем натуральные числа k и n и пусть
(5.1)
Тогда для любого
(5.2)
(5.3)
(5.4)
и
(5.5)
Предварительные замечания. Неравенства (5.2) и (5.4) предпочтительнее для больших , а (5.3)-для малых. Если , то (5.2) сильнее, чем (5.4); однако (5.4) имеет более симметричную форму и часто удобнее в приложениях.
Доказательство. Докажем (5.2). Пользуясь (2.1), (2.2) и (5.1), имеем
Докажем (5.5). Положим в (5.2) . Тогда получим :
после чего (4.5) даёт (5.5).
(5.3) следует из (5.5) в силу (2.11).
Остаётся доказать (5.4). Пусть сперва . Тогда из (5.4) следует:
Рассмотрим, наконец, случай . Из неравенства (2.7) выводим
Подставляя эту оценку в (5.3), получаем (5.4) для .
Таким образом, теорема полностью доказана.
Следствие 3.1. Пусть для некоторого натурального k и любого натурального n
(5.6)
Тогда для любого >0
(5.7)
равномерно относительно n.
Следствие 3.2. Пусть для некоторого натурального k и любого натурального n
Тогда
(5.8)
Теорема 4. Для того, чтобы , необходимо и достаточно, чтобы
(5.9)
равномерно относительно n.
Это вытекает из теоремы 1, следствия 3.1 и того замечания что если выполнено условие (5.9), то .
Теорема 5. Для того, чтобы , необходимо и достаточно, чтобы
(5.10)
Это доказывается аналогично теореме 4, только вместо следствия 3.1 нужно воспользоваться следствием 3.2.
Неравенства теоремы 3 имеют тот недостаток, что их правые части явно зависят от константы С20. Таким образом, если вместо фиксированного номера n и одного полинома tn рассматривать последовательность полиномов {tn} (n=1,2,...), то С20 окажется, вообще говоря, независящей от n и теорема 3 даёт оценки, не равномерные относительно n. Покажем как избавиться от этого неудобства.
Теорема 6. Пусть для некоторого натурального k
(5.11)
и
(5.12)
Тогда для любого >0
(5.13)
равномерно относительно n.
Доказательство. Пусть сперва . Из неравенства (5.2) следует, что
и на основании (5.11)
(5.14)
Рассмотрим случай . Положим в (5.14) . Тогда получим
Из этого неравенства, в силу (4.7), следует, что
Но так как, по условию, , то
Отсюда
Окончательно,
и теорема доказана.
В следующем параграфе будет показано, как можно видоизменить ограничения (5.11) теоремы 6.
§6. Обобщение обратных теорем С. Н. Бернштейна и
Ш. Валле-Пуссена.
В этом параграфе обобщаются и уточняются так называемые “обратные теоремы” теории приближения. Речь идёт об оценке дифференциальных свойств функции f, если известны свойства последовательности её наилучших приближений {En}.
Лемма 9. Зададим натуральное число k, и пусть
(6.1)
и
. (6.2)
Тогда
(6.3)
Доказательство. Имеем, согласно (2.1),
Но из (2.10) и (6.2) получаем
а из (2.2) и (6.1)
Поэтому
левая часть этого неравенства не зависит от n, а поэтому
и лемма доказана.
Для получения хороших оценок обычно достаточно взять . Однако на исключена возможность, что в некоторых случаях другой выбор может оказаться предпочтительнее.
Теорема 7. Пусть k-натуральное число, функция не убывает и
(6.4)
Для того чтобы , необходимо и достаточно выполнение условия
(6.5)
Доказательство. Необходимость условия (6.5) вытекает из следствия 3.2. Установим его достаточность, для чего воспользуемся леммой 9. Получаем:
Положим здесь ; тогда для будем иметь и поэтому
и теорема доказана.
Отметим два следствия из этой теоремы.
Следствие 7.1. Пусть k-натуральное число, функция не убывает и
(6.6)
Для того чтобы , необходимо и достаточно выполнение условия
(6.7)
Следствие 7.2. Пусть k-натуральное число и Если
и
(6.8)
то
равномерно относительно n.
Это вытекает из теорем 7 и 6.
Теорема 7 показывает, что нужно добавить к условию (6.4), чтобы получить . Теперь мы получим оценки для , исходя только из условий вида (6.4). Попутно выясняется, что при некоторых дополнительных ограничениях на функцию условие (6.5) становится излишним. Суть дела в том, что при этих ограничениях (6.4) влечёт (6.5).
Лемма 10. Пусть
(6.9)
где . Тогда для любого натурального k
(6.10)
Доказательство. Зафиксируем натуральное число n, определим натуральное p из условий
и построим последовательность номеров положив
Для оценки представим в таком виде:
Так как , то отсюда
(6.11)
Оценим Ul(k). Имеем для l=1,2,...,p
откуда
Но есть тригонометрический полином порядка не выше nl. Поэтому по неравенству С.Н. Бернштейна,
(6.12)
Заметим теперь, что, в силу определения последовательности {nl},
и для
Поэтому, пользуясь ещё монотонностью последовательности {Fn}2 находим, что для
(6.13)
При помощи (6.11), (6.12) и (6.13) находим окончательно:
и лемма доказана.
Теорема 8. Для любого натурального k и любого
(6.14)
Доказательство. Имеем
Отсюда, по лемме 10,
Воспользуемся теперь леммой 9. Получаем:
Если , то . Кроме того,
Поэтому для
и теорема доказана.
Мы обращаемся теперь к рассмотрению вопроса о том, при каких ограничениях на {En} условие (6.4) влечёт
Теорема 9. Зададим натуральное число k; пусть и . Для того чтобы , необходимо и достаточно выполнение условия
(6.15)
Доказательство. Необходимость условия (6.15) вытекает из теоремы 1. Докажем его достаточность. Согласно теореме 8, для
Положим здесь и заметим, что тогда для и, в силу условия ,
Поэтому для
и теорема доказана.
Следствие 9.1. Пусть и . Тогда для всех натуральных классы эквивалентны.
Следствие 9.2. Пусть и . Если
то для любого фиксированного натурального
равномерно относительно n.
Рассмотрим теперь следующий вопрос. как связаны приближения функции f с приближениями и дифференциальными свойствами её производных f (r)?
Теорема 10. Зададим натуральное число r, и пусть
(6.16)
где
(6.17)
Тогда f имеет непрерывную производную f(r) и
(6.18)
С.Н.Бернштейн [3] доказал такую теорему: если ряд сходится, то функция f имеет непрерывную производную f (r). Рассмотрение этого доказательства С.Н.Бернштейна показывает, что на самом деле им установлено следующее, более общее предложение: пусть выполнены условия (6.16) и (6.17). Тогда функция f имеет непрерывную производную f(r) и равномерно относительно x. В ходе доказательства теоремы 10 мы вновь установим это предложение.
Доказательство. при . Поэтому равномерно относительно x. Отсюда следует, что если {nk} (k=0,1,2,...) есть возрастающая последовательность номеров, то
Зафиксируем натуральное число n и положим
Тогда будем иметь
(6.19)
где
Докажем, что формулу (6.19) можно продифференцировать почленно r раз, т.е.
(6.20)
Для этого достаточно установить, что ряд справа равномерно сходится. Прежде всего, оценим . Имеем
откуда
Оценим теперь . По неравенству С.Н.Бернштейна,
Пользуясь этой оценкой, получаем:
Но
Поэтому
(6.21)
Итак, доказана сходимость ряда , а вместе с этим установлена и формула (6.20). Из (6.20) и (6.21) вытекает, что
и теорема доказана.
В некоторых случаях оценка (6.18) может быть упрощена. Пусть, например,
(6.22)
Тогда
Поэтому при выполнении условия (6.22) вместо (6.18) можно написать
Следствие 10.1. Пусть r-натуральное число и сходится ряд
Тогда
(6.23)
Теорема 11. Пусть r-натуральное число и для функции f сходится ряд
Тогда для любого натурального k и любого
(6.24)
Доказательство. Имеем
Отсюда, по лемме 10,
Далее, согласно теореме 10,
Воспользуемся теперь леммой 9. Получаем
Заметим, что
Таким образом, если , то
и теорема доказана.
§7. Основная теорема.
Обратимся теперь к рассмотрению следующего вопроса: каковы необходимые и достаточные условия того, чтобы
где -заданная невозрастающая функция?
Насколько нам известно, эта задача не была до сих пор решена даже для случая . Мы решим её для функций сравнения .
Лемма 11. Пусть и для некоторого натурального
(7.1)
Тогда существует такая константа с>0, что
(7.2)
Доказательство. Согласно (7.1), найдутся две такие константы С60>0 и C61>0, что
(7.3)
Последнее из этих неравенств, теорема 1 и теорема 3 влекут неравенство
(7.4)
В силу (2.1) и (2.2), имеем
Отсюда
Пользуясь (7.3) и (7.4), находим, далее
(7.5)
Вспомним теперь, что . Это даёт нам для
Подставляя эту оценку в (7.5), получаем
(7.6)
Мы можем без ограничения общности считать, что здесь . Положим в (7.6)
Тогда получим окончательно
и лемма доказана.
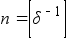
Основная теорема. Пусть . Для того чтобы
(7.7)
необходимо, чтобы для всех натуральных , и достаточно, чтобы для некоторого натурального
. (7.8)
Доказательство. Пусть имеет место (7.7), т.е. найдутся две положительные константы С67 и С68, для которых
(7.9)
Тогда, по теореме 1 и в силу первой половины неравенства (7.9), для любого k имеем
т.е.
Отсюда, в силу ,
и если , то, ввиду монотонности и ,
Далее, из второй половины неравенства (7.9) и теоремы 9 вытекает существование константы С72 такой, что для любого
Этим заканчивается доказательство необходимости условия (7.8).
Пусть имеет место (7.8):
(7.10)
с С73>0. Тогда по теореме 1 и в силу второй половины неравенства (6.10),
а по лемме 11,
где С77>0.
Таким образом, установлена достаточность условия (7.8), и основная теорема полностью доказана.
Приведём в заключение обобщение леммы 11 на тот случай, когда оценки сверху и снизу имеют разные порядки.
Теорема 12. Пусть и
(7.11)
Тогда
(7.12)
Доказательство. Имеем, как при доказательстве леммы 11,
Положим здесь
Тогда получим, что
Теорема доказана.
§8. Решение задач.
Пример 1. Пусть Тогда при каждом
Пример 2. Пусть график функции f(x) имеет вид, изображённый на рис.8.1. Тогда график функции показан на рис.8.2.
Рис. 8.1. Рис. 8.2.
Пример 3. Пусть при
и пусть - периодическое продолжение функции на всю ось.
Рис. 8.3.
Рис. 8.4.
Тогда если функцию рассматривать на сегменте длины так, что (рис. 8.3)
то (рис. 8.4)
т.е. модуль непрерывности функции в точке не достигает своего наибольшего значения и, следовательно, отличается от модуля непрерывности этой функции на всей оси.
Пример 4. При функция
является модулем непрерывности.
Пример 5. При функция
является модулем непрерывности.
Пример 6. При имеем так что при всех будет
.
Литература.
Бернштейн С.Н. О свойствах однородных функциональных классов // Доклады Ак. Наук СССР,-1947.-№57.-с.111-114.
Стечкин С.Б. О порядке наилучших приближений непрерывных функций // Доклады Ак. Наук СССР,-1949.-№65.-с.135-137.
Бернштейн С.Н. О наилучшем приближении непрерывных функций посредством многочленов данной степени // Сообщ. Харьк. Матем. о-ва (2), -1912.-№13.-с.49-144.
Бернштейн С.Н. Экстремальные свойства полиномов и наилучшее приближение непрерывных функций одной вещественной переменной. Часть I,-М.-Л.,-1937.
Никольский С. Обобщение одного неравенства С.Н.Бернштейна // Доклады Ак. Наук СССР,-1948.-№65.-с.135-137.
Гончаров В.Л. Теория интерполирования и приближения функций.-М.-Л.,-1934.
Дзядык В.К. Введение в теорию равномерного приближения функций полиномами. -М.: Наука.-1977.-с.512.
Стечкин С.Б. О порядке наилучших приближений непрерывных функций // Доклады Ак. Наук СССР,-1949.-№65.-с.135-137.
Тиман А.Ф. Теория приближения функций функций действительного переменного. -М.:ГИФМЛ,-1960.-с. 624.
Ахиезер Н.И. Лекции по теории аппроксимаций.-М.:ГИТТЛ,-1947.-324.
Арестов В.В. О равномерной регуляризации задачи вычисления значений оператора // Математические заметки,-т.22.-1977.-№2.-с.231-243.
Стечкин С.Б. О порядке наилучших приближений непрерывных функций // Изв. АН СССР-Математика,-1931.-№15.-с.219-242.
Нравится материал? Поддержи автора!
Ещё документы из категории математика:
Чтобы скачать документ, порекомендуйте, пожалуйста, его своим друзьям в любой соц. сети.
После чего кнопка «СКАЧАТЬ» станет доступной!
Кнопочки находятся чуть ниже. Спасибо!
Кнопки:
Скачать документ