Контрольная работа























































№385. Вычислить несобственные интегралы или установить их расходимость.
По определению несобственного интеграла имеем:
Интеграл сходится.
№301. Найти неопределенный интеграл.
Представим подинтегральную функцию в виде слагаемых
№522. Даны дифференциальные уравнения второго порядка, допускающие понижение порядка. Найти частное решение, удовлетворяющее указанным начальным условиям.
Понизим порядок дифференциального уравнения, т.е. введем новую функцию , тогда
и получаем уравнение
Это линейное уравнение первого порядка.
Введем новые функции u=u(x) и v=v(x).
Пусть , тогда , т.е.
(1)
Предположим, что функция такова, что она обращает в тождественный нуль выражение, стоящее в круглых скобках уравнения (1) т.е., что она является решением дифференциального уравнения.
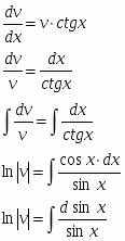
это уравнение с разделяющимися переменными
Здесь
Подставляем значение v в уравнение (1), получаем
Следовательно,
а т.к. , то
решим отдельно интеграл
, тогда
общее решение данного дифференциального уравнения.
Найдем частное решение при заданных условиях
Т.к. , то
Т.к. , то
- частное решение при заданных условиях.
№543. Даны линейные неоднородные дифференциальные уравнения второго порядка с постоянными коэффициентами. Найти частное решение, удовлетворяющее указанным начальным условиям.
Составим характеристическое уравнение
Т.к. , то общее решение запишется в виде
Найдем частное решение т.к. в правой части стоит , то
Найдем и
Подставим значение и в данное уравнение, получим:
Общее решение данного дифференциального уравнения.
Найдем частное решение при заданных начальных условиях
, т.к. , то
, т.к. , то
решаем систему
и
- частное решение при заданных начальных условиях.
Нравится материал? Поддержи автора!
Ещё документы из категории математика:
Чтобы скачать документ, порекомендуйте, пожалуйста, его своим друзьям в любой соц. сети.
После чего кнопка «СКАЧАТЬ» станет доступной!
Кнопочки находятся чуть ниже. Спасибо!
Кнопки:
Скачать документ