Кручение стержней





















































































































































































































































































































































































































































































































Кручение стержней
ОГЛАВЛЕНИЕ
Введение
Глава 1. Кручение стержней имеющих в сечении правильный многоугольник
§1.1 Кручение призматических стержней
§1.2 Кручение стержней прямоугольного сечения
§1.3 Мембранная аналогия
§1.4 Кручение тонкостенных стержней открытого профиля
Глава 2. Кручение стержней имеющих в сечении круг и эллипс
§2.1 Кручение стержней круглого и эллиптического сечений
§2.2 Кручение тонкостенных труб
§2.3 Кручение круглых валов переменного диаметра
Глава 3. Кручение призматических и цилиндрических стержней
§3.1 Чистое кручение стержней постоянного сечения
§3.2 Чистое кручение круглых стержней (валов) переменного сечения
Глава 4. Задачи
Заключение
Литература
ВВЕДЕНИЕ
Данная выпускная квалификационная работа состоит из четырех глав. В первой главе излагается прямой, обратный и полуобратный методы, применяемые при решении задач о кручении стержня прямоугольного сечения. Исследованы приближенные методы решения задач о кручении более сложных сечений.
Вторая глава посвящена изучению кручения стержней в сечении имеющих форму круга или эллипса. Применяют метод перехода к полярным координатам.
В третьей главе исследуется кручение призматических и цилиндрических стержней, исследуются общие построения данной теории и их различия.
В четвертой главе изучают теоретическое применение к решению задач.
Глава 1. КРУЧЕНИЕ СТЕРЖНЕЙ, ИМЕЮЩИХ В СЕЧЕНИИ ПРАВИЛЬНЫЙ МНОГОУГОЛЬНИК
§1.1 Кручение призматических стержней
Прямой метод решения задач теории упругости, заключающийся в интегрировании основных уравнений теории упругости совместно с заданными граничными условиями, не всегда возможен. Для многих задач удобно применять так называемые обратный и полуобратный методы. При пользовании обратным методом выясняют, каким граничным условиям соответствуют некоторые функции, удовлетворяющие дифференциальным уравнениям. Таким путем можно получить ряд полезных результатов. Полуобратный метод, впервые предложенный Сен-Венаном, состоит в том, что делают некоторые допущения в отношении напряжений или перемещений. При этом дифференциальные уравнения настолько упрощаются, что решение их не представляет особых математических трудностей. Принимая те или иные допущения, мы, как правило, ограничиваем общность полученного решения; но обычно их можно формулировать таким образом, чтобы все же получить решение частных задач. Например, в рассматриваемой ниже задаче о кручении призматического стержня мы будем задаваться определенными функциями для перемещений и, v, w, сводя, таким образом, основные уравнения к одному дифференциальному уравнению. Но при таких допущениях мы можем найти решение задачи о кручении стержней только постоянного сечения; решения же для стержней, не являющихся призматическими, получить этим путем нельзя. Полуобратный метод является одним из самых эффективных методов решения задач теории упругости.
рис. 1
Предположим, что один конец стержня призматического сечения, длины L, закреплен в плоскости ху, а на другой конец действует пара, вектор-момент который направлен вдоль оси z (рис. 1). Мы полагаем, что закрепленный конец не может вращаться, но что оба конца могут свободно перемещаться друг относительно друга в направлении z. Под действием пары стержень будет закручиваться, причем образующие цилиндра будут превращаться в винтовые линии. Угол поворота любого поперечного сечения зависит от расстояния, на котором находится это сечение от закрепленного конца. При малой деформации можно считать, что угол закручивания пропорционален расстоянию между сечением и закрепленным концом. Таким образом,
z, (1)
рис. 2
где угол закручивания на единицу длины. Будем считать угол закручивания малым. Рассмотрим сечение стержня, которое находится на расстоянии z от закрепленного конца. Точка Р с координатами x, y, z в результате деформации перемещается в точку Р’(x+u, y+v, z+w). На рисунке 2 показана точка Р’1, являющаяся проекцией Р’ на плоскость xy.
Предположим, что в плоскости xy точка Р перемещается в Р’1 при повороте на угол закручивания , причем ОРОР’1= r. Если угол мал, то cos 1 и sin . Следовательно,
Подставляя значение (1), получаем
(2)
таким оказывается закон изменения u и v. В отношении w не будем пока делать никаких допущений, кроме того, что w зависит только от x и y и не зависит от z . Следовательно, можно записать
(3)
где - некоторая функция от x и y .Так как w определяет искажение (депланацию) торцевых сечений, то функцию можно назвать функцией депланацией. Необходимо выяснить, будут ли отвечать принятые выражения для перемещений, вместе с неизвестной еще функцией , напряженному состоянию, удовлетворяющему заданным граничным условиям. Эти условия в данном случае состоят в том, что на обоих торцах должны действовать, только крутящие моменты и что боковая поверхность стержня свободна от сил.
Пользуясь приведенными выше выражениями для перемещений, находим:
(4)
Из закона Гука следует:
(5)
Подставим эти значения в уравнения равновесия, которые будут выполняться, в случае, если функция удовлетворяет уравнению
для всех точек поперечного сечения R стержня, здесь
- оператор Лапласа.
Обратимся к граничным условиям. Так как
на боковой поверхности стержня, то уравнений примет следующий вид:
на контуре S,
где S - контурная линия поперечного сечения стержня.
Покажем, далее, что на двух других граничных поверхностях, а именно, на торцах стержня, определяемых плоскостями z=0 и z=L, напряжение (5) сводятся к скручивающей паре, и результирующие силы отсутствуют. Результирующая сила в направлении x равна
; (8)
это выражение можно привести к виду
. (9)
При получении уравнения (9) были использованы соотношения
рис. 3
здесь принято
в соответствии с уравнением (6).
Пусть f является некоторой функцией x и y; тогда можно выписать равенства (рис. 3):
где f1 и f2 - значение функции f на правой и левой частях контура. Выполним интегрирование по y для контурной кривой в границах от y=yA до y=yB. Если мы будем вести интегрирование функции f по контуру в направлении против часовой стрелки, то для правой части контура приращение dy - положительно, а для левой - отрицательно. В результате каждая из величин f1dy и (- f2dy) окажется положительной, и, следовательно,
. (10)
Аналогично,
(11)
Пользуясь формулами (10) и (11), придадим выражению (9) вид:
. (12)
Будем считать положительными направления вдоль нормали N во внешнюю сторону и вдоль контура – против часовой стрелки; тогда согласно рис.3,б получим
(13)
Равенство (12) принимает вид
при этом выражение
обращается в нуль на контуре S в соответствии с уравнением (7). Мы пришли, таким образом, к равенству
Таким же путем можно показать, что составляющая результирующей силы вдоль оси также равна нулю:
Следовательно, результирующие силы по торцам цилиндра обращаются в нуль.
Результирующий крутящий момент T по торцам стержня, отвечающий принятому распределению напряжений, равен:
(14)
Интеграл, фигурирующий в выражении (14), зависит от функции кручения и, следовательно, от вида поперечного сечения R стержня. Вводя обозначение
(15)
Получим
(16)
где J – постоянная кручения. Уравнение (16) показывает, что крутящий момент пропорционален углу закручивания на единицу длины, так что произведение является мерой жесткости стержня, подвергаемого кручению; величина эта называется крутильной жесткостью стержня.
§1.2 Кручение стержней прямоугольного сечения
Пусть поперечное сечение стержня представляет собой прямоугольник с центром в начале координат и со сторонами 2a и 2b, направленными параллельно координатным осям, как показано на рис.7. Пользуемся полученными ранее уравнениями: для всей прямоугольной области
рис.7
(6)
и по контору
(7)
На контурных линиях AB и CD, где x=a, будет l=1 и m=0 , а на линиях BC и AD имеем l=0 и m=1 . Условие на контуре (7) можно переписать в следующем виде:
(31)
Этим условиям можно придать более удобную форму, вводя новую функцию так, что
. (32)
Легко показать, что для новой функции основное уравнение по всей прямоугольной области будет иметь вид:
; (33)
условия на контуре будут следующими:
при (34)
при (35)
Примем решение уравнения (33) в виде бесконечного ряда
(36)
каждый член, которого удовлетворяет дифференциальному уравнению; здесь Xn(x) и Yn(y) – функции соответственно только x и y. Очевидно, если решение для нельзя выразить в форме ряда (36), то мы не сможем найти решение для функции Xn и Yn , удовлетворяющее граничным условиям.
Подставляя Xn(x), Yn(y) в уравнение (33) и обозначая производные штрихами, находим
Или
Так как левая часть полученного уравнения является функцией только от x, а правая зависит только от y, то уравнение может быть удовлетворено лишь в том случае, если обе его части равны постоянной величине; обозначим ее через () (постоянную берем со знаком минус, так как иначе граничные условия не будут удовлетворяться). Таким образом, мы получаем два обыкновенных дифференциальных уравнения:
Эти дифференциальные уравнения легко решить с помощью известных методов интегрирования обыкновенных дифференциальных уравнений с постоянными коэффициентами. Решение их будут следующими:
(37)
(38)
Рассмотрим теперь условие на контуре (35). Во-первых, можно установить, что выражение
должно иметь одно и то же значение при y=b и y=-b. Это условие может быть выполнено, если производные являются симметричными функциям от y. Во-вторых, при будем иметь
Это условие удовлетворяется, если Xn(x) являются антисимметричными функциями относительно x. Исходя из этих соображений, находим, что c2=c4=0.Условие (34) будет выполнено, если , или
Отсюда находим
.
Поскольку c1 и c2 – произвольные постоянные, функцию можно записать в следующем виде:
(39)
Где
;
постоянные An следует определить таким образом, чтобы удовлетворялось граничное условие (35).
Дифференцируя функцию по y и подставляя из уравнения (35) получаем
; (40)
здесь для упрощения записи введено обозначение:
.
Коэффициенты An можно определить, пользуясь схемой, применяемой при разложении функции в ряд Фурье. Умножим обе части уравнения (40) на и проинтегрируем все члены по x. Учитывая соотношения
получим
при
= a при m=n
и
Вычислив значения интегралов в этом выражении, найдем
или
следовательно, решение будет иметь вид:
(41)
Постоянную кручения J можно определить по формуле (15):
Принимая во внимание равенство
приходим к формуле для J:
(42)
В таблице 1.1 даны значения K, соответствующие разным величинам отношения b/a .
Таблица 1.1
b/a
K
K1
K2
1,0
1,2
1,5
2,0
2,5
3,0
4,0
5,0
10,0
2,250
2,656
3,136
3,664
3,984
4,208
4,496
4,656
4,992
5,328
1,350
1,518
1,696
1,860
1,936
1,970
1,994
1,998
2,000
2,000
0,600
0,571
0,541
0,508
0,484
0,468
0,443
0,430
0,401
0,375
Ряд (42) можно записать в виде
Мы замечаем, что сумма меньше суммы так как при . Следовательно, первый член ряда дает значение суммы с точностью до 0,5%, и для практических расчетов можно пользоваться приближенной формулой
(43)
После некоторых выкладок находим следующие формулы для касательных напряжений:
(44)
Можно показать, что если b>a, то максимальные касательные напряжения имеют место посередине длинных сторон прямоугольника, при . Подставляя в уравнение (44) значения x=a и y=0, находим
и
(45)
рис.8
Бесконечный ряд в правой части уравнения, которой мы обозначим через K1/2, сходится очень быстро при b>a , и вычисление величины с достаточной точностью для любого отношения b/a не представляет трудностей. Значение K1, соответствующие различным величинам b/a , включены в табл. 1.1. Подставляя выражения
постоянной кручения J из уравнения (42) в уравнение (45), получаем
(46)
где K2 - второй числовой множитель, значения которого также даны в табл. 1.1.
Горизонтали поверхности, для которых , могут быть легко определены из уравнения для функции . Для стержня квадратного сечения, т.е. при a=b , горизонтали на рис.8; здесь сплошные линии соответствуют положительным значениям w, а пунктирные – отрицательным, по правилу знаков.
§1.3 Мембранная аналогия
Из примера, разобранного в предыдущем параграфе, становится очевидным, что задачи о кручении стержня более сложной формы поперечного сечения может оказаться весьма трудным. Для приближенного решения задач о кручения стержней различных сечений, часто встречающихся в технике, весьма эффективной оказались так называемая мембранная аналогия. Она основана на математической аналогии между задачами о кручении и о деформации упругой натянутой мембраны, подверженной равномерному поперечному давлению.
рис.9
Пусть тонкая однородная мембрана (рис.9) имеет постоянное натяжение и закреплена по контуру, который ограничивается кривой, лежащей в
плоскости xy. Если мембрана подвергается равномерному поперечному давлению p, то точки её срединной поверхности получат перемещения z, зависящие от x и y. Рассмотрим условие равновесия бесконечного малого элемента ABCD мембраны после деформации. Обозначим через F постоянное натяжение, приходящееся на единицу длины мембраны. Усилие F, действующее по стороне AD, наклонено к оси под углом . Так как деформации малы, то можно принять . Прогиб z меняется от точки к точке, поэтому усилие F для стороны BC наклонено под углом
.
Таким же путем находим, что углы наклона растягивающих усилий, приложенных по сторонам AB и CD, равны соответственно и .
Складывая составляющие вдоль оси сил, действующих по четырем сторонам, получаем
отсюда
… для области R. (47)
На контуре прогиб мембраны равен нулю. Поэтому граничное условие имеет вид:
z=0 на контуре S. (48)
Вернемся теперь к задаче о кручении. Основное дифференциальное уравнение будет:
для области R, (6)
а граничное условие имеет вид:
на контуре S. (7)
На первый взгляд эти соотношения и уравнения (47) и (48) не являются аналогичными. Однако им можно придать идентичную форму, если ввести новую функцию с помощью соотношений:
(49)
Из уравнений (49) имеем
Дифференциальное уравнение (6) обращается в тождество, так как
+ =
Таким образом, если функция определяется по формулам (49), то уравнения равновесия будут удовлетворяться тождественно.
Выражая касательные напряжения и через функцию , получаем
(50)
Если функция найдена, то касательные напряжения можно вычислить путем простого дифференцирования. Следовательно, функция представляет собой функцию напряжений; определение функции равнозначно вычислению напряжений. Далее следует использовать уравнение совместимости. Системе напряжений
соответствуют компоненты деформации:
Подстановка этих величин в уравнения совместимости показывают, что первые три уравнения и последнее из них тождественно удовлетворяются. Четвертое и пятое уравнение приводятся к виду:
Интегрируя их, находим
Эту постоянную можно определить, если подставить сюда выражения
Тогда получим
Или
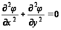
Подставляя значение с в уравнение совместимости, получим дифференциальное уравнение
для области R, (51)
которому должна удовлетворять функция . Отметим, что уравнение (51) можно получить непосредственно, продифференцировав уравнение (49) и затем, исключив из них функцию . Но тогда остается нераскрытым то обстоятельство, что уравнение (51) является уравнением совместимости.
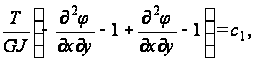
Граничное условие (8), выраженное через , имеет вид:
на контуре S.
В параграфе §1.1 были уже записаны соотношения
(13)
Поэтому условие на контуре можно записать в виде
или на контуре S. (52)
Заметим, что при вычислении напряжений нам необходимы лишь производные от и что значение постоянной с2 в уравнении (52) не влияет на решение задачи. Поэтому можно принять с2=0. Окончательно решение задачи о кручении сводится к определению функции , удовлетворяющей уравнению
для области R (51)
и условию на контуре S. (52)
Сравнивая эти уравнения с уравнениями для мембраны, мы видим, что между ними имеется полная аналогия, если отношениеположить равным 2, и если форма контура мембраны совпадает с формой поперечного сечения стержня. Мембранная аналогия эффективно используется для экспериментального определения функций напряжений. Техника проведения такого эксперимента, а также опытов, связанных с другими аналогиями, подробно описана в специальных пособиях.
рис.10
Мембранная аналогия может быть использована не только для численного определения натяжений; она дает также наглядную картину напряженного состояния. На рис.10 изображена такая мембрана и нанесены горизонтали изогнутой поверхности. Рассмотрим некоторую точку В срединной поверхности мембраны. Прогиб вдоль горизонтали остается постоянным, так что
.
Пользуясь аналогией, можем написать
.
Из соотношений
вытекает, что составляющая касательного напряжения, направленная по нормали к горизонтали, равна нулю. Другими словами, касательное напряжение в точке В закручиваемого стержня направлено по касательной по горизонтали, проходящей через эту точку. Величину результирующего касательного напряжения можно найти из следующей формулы:
.
Следовательно, величина касательного напряжения в точке В определяется уклоном мембраны по нормали к горизонтали, и потому касательные напряжения достигают максимума в тех местах, где горизонтали особенно сгущаются. Рассмотрение поверхности мембраны показывает, что наибольший уклон имеет место на контуре. Отсюда можно заключить, что максимальные значения касательных напряжений будут также в определенных точках контура сечения стержня.
Обратимся к выводу выражения для постоянной кручения J через функцию . Из формулы (15) имеем:
(53)
Здесь использовано то обстоятельство, что по формуле (52) на контуре S будет . Из мембранной аналогии вытекает, что постоянная кручения J равна удвоенному объему, заключенному между изогнутой мембраной и плоскостью xy. Полагая c2=0, в (52) мы считали, что величина c2 не влияет на решение задачи. Однако значение J, на первый взгляд, зависит от величины c2. Чтобы выяснить это, допустим, что c2 и подставим вместо в последнее из выражений (53). Так как в точках контура , то для них ; следовательно, члены, содержащие контурные значения , будут равны нулю так же, как это для функции . Таким образом,
.
рис.11
Пользуясь, рис .11, приходим к соотношениям
площади BCDD’- площадь BEDD’= -A , (54)
где А - площадь поперечного сечения. Подобным же образом можно показать, что. Но в то же время . Следовательно,
,
что совпадает с формулой (53).
§1.4 Кручение тонкостенных стержней открытого профиля
Рассмотрим вначале кручение стержня с поперечным сечением в форме узкого прямоугольника. Из мембранной аналогии заключаем, что влияние коротких сторон прямоугольника распространяется на небольшие участки. Если отношение b/a велико, то в формуле (43) величину можно приближенно считать равной 1; второй член в скобках становится пренебрежимо мал. Поэтому имеем
.
Обратимся к формуле (45). При значительном отношении b/a величина
будет большой, сумма же бесконечного ряда получает пренебрежимо малое значение. В результате получаем
. (55)
Если величина J известна, то угол закручивания можно вычислить по формуле
. (16)
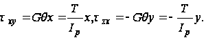
Обозначим через b1 длину, а через t – толщину прямоугольника (рис.12,а); тогда эти формулы примут вид:
t. (56)
В предыдущем параграфе было показано, что напряжение равно произведению отношения T/J на максимальный уклон изогнутой мембраны. Из формул (55) и (56) следует, что в случае узкого прямоугольного сечения наибольший уклон изогнутой мембраны равен 2a или t.
рис.12
Сопоставим теперь изогнутые мембраны с контурами, изображенными на рис.12,а и б. Очевидно, что если площади поперечного сечения их равны между собой, то равными будут и объемы выпучен в изогнутых мембранах. Если толщина t мала, то кривизна сечения в случае (б) незначительно влияет на максимальный уклон мембраны. Поэтому мы делаем вывод, что формула (56) может быть использована при получении приближенных решений и для тонкостенных профилей иной формы. Для поперечных сечений такого типа, который показан на рис.12,б, надо только вместо b1 в формуле (56) подставить развернутую длину дуги. В случае дуги окружности развернутая длина равна , где радиус, а угол, стягиваемый дугой, в радианах.
Для таких тонкостенных профилей, как уголки, швеллера и двутавры,
вид изогнутых мембран будет таким, как если бы они были натянуты на несколько отдельных узких прямоугольников. Постоянная кручения J будет равна удвоенному объему, ограниченному изогнутой мембраной и плоскостью xy; максимальный уклон мембраны окажется равным , причем большая из величин ti или t2. Следовательно, для уголкового сечения имеем (рис.12, в):
(57)
а для швеллерного и двутаврового сечения (рис.12, г):
(58)
Следует заметить, что во входящих углах имеет место значительная концентрация напряжений, зависящая от радиуса закруглений углов профиля. Для малых радиусов закруглений (r=0.1t) Трефц получил следующее уравнение для максимальных напряжений в углах профиля:
(59)
где r - радиус закругления угла. Уравнение (59) выведено для случая полок равной толщины. Если же полки имеют различную толщину t1 и t2, то в формулу следует подставить большую из них. Концентрация напряжений во входящих углах изучалось экспериментально, причем была использована аналогия с мыльной пленкой. Отношения , соответствующие различным значениям отношения r/t, приведены в табл.1.2. Экспериментально полученные величины отношения для малых радиусов закругления ребер профиля значительно меньше вычисленных по формуле (59). Это, вероятно, можно объяснить тем, что при малых радиусах закруглений трудно определить истинные значения .
Таблица 1.2
1
2,5
2,25
2,00
1,75
ГЛАВА 2.КРУЧЕНИЕ СТЕРЖНЕЙ, ИМЕЮЩИХ В СЕЧЕНИИ ОКРУЖНОСТЬ ИЛИ ЭЛЛИПС
§2.1 Кручение стержней круглого и эллиптического сечений
Было показано, что для решения задачи о кручении надо найти функцию депланации , которая удовлетворяет дифференциальному уравнению
(6)
во всех точках поперечного сечения, т.е. в области R , и условию
(7)
на контуре S. Выясним, как найти решение для контура определенной формы.
Задача о кручении стержня круглого и эллиптического сечения решалась с помощью обратного метода. Простейшее решение уравнения Лапласа имеет вид:
(17)
При условие на контуре (7) записывается в следующем виде:
Отсюда
,
или
(18)
где x,y - координаты некоторой точки контура. Из аналитической геометрии известно, что уравнение (18) отвечает окружности с центром в начале координат. Таким образом, выбор функции в виде дает нам решение задачи о кручении стержня круглого сечения. Уравнение (3) дает . Примем граничное условие w=0 при z=0; тогда C=0. Следовательно, плоское сечение цилиндра, перпендикулярное к оси, до закручивания, остается плоским и после деформации. Такое допущение обычно делается при решении задачи методами сопротивления материалов. Но уравнение (18) показывает, что это предположение справедливо только в случае кругового контура; нельзя ожидать, что оно будет справедливым для сечений другой формы.
Пусть радиус окружности равен r0. Из формулы (15) при получаем величину J:
равную полярному моменту инерции Ip круглого сечения. Далее, из уравнения (16) имеем
(19)
а согласно выражению (15)
(20)
Результирующее касательное напряжение в некоторой точке P(x,y) равно
(21)
где r - радиус-вектор точки относительно центра окружности, наклоненный к оси x под углом , причем
Следовательно, результирующее касательное напряжение в некоторой точке направлено по касательной к окружности, проходящей через эту точку.
Обратимся теперь к функции
(22)
Очевидно, такая функция удовлетворяет уравнению Лапласа. Условие на контуре (7), после подстановки в него функции (22), принимает вид:
Или
После интегрирования получим уравнение
где x,y - координаты любой точки контура.
Выпишем уравнение эллипса с центром в начале координат:
(24)
где a и b - полуоси эллипса. Сопоставление уравнений (23) и (24) показывает, что они будут идентичными при условии, если
Решая это уравнение относительно A, получим
Таким образом, функция
(25)
представляет собой функцию депланации в задаче о кручении цилиндра эллиптического сечения. Постоянная кручения равна:
(26)
где Iy, Ix - моменты инерции соответственно относительно осей y и x.
Касательные напряжения в некоторой точке поперечного сечения равны:
(27)
Результирующее касательное напряжение в точке P(x,y) равно
(28)
рис.4
Напряжение достигает максимального значения на концах малой оси. Чтобы показать это, построим ряд эллипсов внутри сечения. Пусть полуоси эллипсов будут a’ и b’, причем .
Уравнения этих эллипсов могут быть записаны в параметрической форме следующем образом:
где угол, показанный на рис.4. Подставляя эти значения x и y в уравнение (28), получаем результирующие касательные напряжения в любой точке этих эллипсов:
Если a > b, то будет максимально при a’= a и . Таким образом, касательное напряжение имеет максимум у концов малой оси, величина в этих точках равна:
(29)
При a = b эта формула переходит в выражение (21), относящееся к стержню круглого сечения. Направление напряжения определяется отношением величин и . Из формул (27) видно, что это отношение пропорционально отношению y/x и, следовательно, постоянно вдоль линии OP. Это означает, что результирующее касательное напряжение вдоль линии OP имеет постоянное направление, совпадающее с направлением касательной P’P".
рис.5
Если найдено выражение (25) для функции депланации, то легко определить перемещение w:
(30)
где . Линии равной депланации w=const будут гиперболами (рис.5). Допустим, что цилиндр скручивается крутящим моментом T, действующим так, как показано на рисунке стрелкой; выпуклые части сечения, для которых w положительно, отмечены сплошными линиями, а вогнутые – пунктирными. В случае свободно депланирующих торцов цилиндра нормальные напряжения на них отсутствуют. Однако если на одном из концов стержня депланации затруднена, как в случае защемления, то будут возникать нормальные напряжения, положительные в одном квадранте и отрицательные – в другом. Они подобны напряжениям, вызываемым двумя равными и противоположно направленными изгибающими моментами и поэтому называются напряжениями изгиба, возникающими при кручении.
§2.2 Кручение тонкостенных труб
Ранее было показано, что на контуре функция должна быть постоянной величиной. В случае сплошного сечения эту постоянную можно принять равной нулю. Пусть теперь профиль ограничен двумя замкнутыми кривыми, как изображено на рис.13.
рис.13
Здесь по-прежнему можно принять, что функция равна нулю на внешнем контуре S1; сделать же это допущение для внутреннего контура S2 нельзя. Известно лишь, что для точек внутреннего контура величина постоянна. В связи с наличием этой новой неизвестной, для решения задачи необходимо иметь дополнительное уравнение. Такое уравнение можно получить из условия, что перемещения должны быть однозначными.
Из уравнения (5) имеем:
Вычислим интеграл вдоль внутреннего контура:
Так как w является однозначной функцией, и интегрирование производится по замкнутому контуру, то первый интеграл обращается в нуль. В параграфе §1.3 уже было показано, что второй интеграл равен удвоенной площади, ограниченной контуром S2. Поэтому имеем:
(60)
где A2 - площадь, ограниченная контуром S2.
Вернемся теперь к мембранной аналогии. Если мембрану внутри контура S2 заменить невесомой плоской пластинкой (рис.13), то уравнение равновесия пластинки будет иметь вид:
(61)
где F - натяжение мембраны, z - прогиб. Пользуясь равенством
находим из уравнения (61)
или
что совпадает с выражением (60). Таким образом, в случае полого сечения надо считать, что мембрана натянута по внешнему контуру и связана с невесомой плоской пластинкой по внутреннему контуру.
На рис.13 точки В, В1 и С, С1 соответствует уровням внешнего и внутреннего контуров, а линии ВС и В’С’ представляют поперечное сечение мембраны, натянутая между двумя контурами. Если стенка тонкая, то линии ВС и В’С’ приближаются к прямым отрезкам; изменение уклона мембраны будет незначительно. Это равносильно предположению о постоянстве касательных напряжений по толщине стенки. Если через h обозначить постоянное значение функции на контуре S2, то из мембранной аналогии следует, что h равносильно разности уровней обоих контуров. Пусть t - переменная толщина стенки. Касательное напряжение в любой точке определяется уклоном мембраны и равно
(62)
Формула для постоянной кручения J (53) должна быть теперь изменена. При выводе уравнений (10) и (11) нормаль N принималось положительной, если она была направлена наружу по отношению к поперечному сечению. Для внутреннего контура надо пользоваться тем же правилом знаков, так что положительное направление будет внутрь. Следуя этому условию, придется при интегрировании вдоль S2 изменить знак перед линейными интегралами в уравнениях (10) и (11). На контуре S1 функция равна нулю, а на S2 будет =h. Поэтому формула (53) принимает вид:
(63)
индекс R соответствует площади А1, заключенной между контурами S1 и S2. Так как профиль является тонкостенным, величину во втором интеграле можно заменить средним её значением между S1 и S2, равным h/2. Поэтому получаем
где A - площадь, ограниченная средней линией профиля. Подставляя найденное значение J в уравнение (62), находим
(64)
Угол закручивания можно вычислить по формуле (60):
отсюда
(65)
рис.14
здесь S отсчитывается вдоль средней линии профиля. Уравнения (64) и (65) впервые были получены Бредтом и известны как формулы Бредта.
Если трубчатый профиль имеет более чем два контура (рис.14), то части мембраны, ограниченные внутренними контурами, снова могут быть заменены невесомыми плоскими пластинками. Предполагая, что толщина стенки мала, имеем:
(66)
где h1 и h2 - уровни внутренних контуров СС’ и DD’.Уравнение (63) запишется в виде
где A’i - площадь, заключенная внутри контура Si, а A1 и A2- площади, ограниченные линиями S1 и S2. Отсюда
(67)
Будем считать толщины постоянными. Через обозначим длины средних линий. Находя интеграл из уравнения (60) сначала по площади A1, а затем по A2, получаем
(68)
напряжения и угол можно вычислить, решая совместно уравнения (67) и (68).
Из уравнений (66) можно видеть, что для той или иной ветви поперечного сечения произведение является величиной постоянной. Если соединяются несколько элементов трубчатого сечения, как в точке Н, то имеем
(69)
Здесь может быть использована гидродинамическая аналогия, причем величина соответствует объему идеальной жидкости, циркулирующей по каналу; последний должен иметь ту же форму, что и трубчатый стержень. Тогда уравнение (69)означает, что объем втекающей жидкости должен быть равен объему вытекающей жидкости. Величина называется, поэтому потоком касательных усилий.
рис.15
Приведем численный пример определения касательных напряжений для тонкостенных профилей, в которых число контуров превышает три. На рис.15 показано поперечное сечение и нанесены его размеры. Пусть приложенный крутящий момент будет равен 115000 кг см. Вычисляем площади:
Примем, что касательные напряжения положительны по направлениям, указанным стрелками. Сопоставляя направления потоков касательных усилий, находим
. (70)
С другой стороны, имеем
Подставив численные значения, получим
или
(71)
По уравнению (60) будем иметь:
(72)
Длины контуров равны:
Используя уравнения (70), найдем:
(73)
Решая совместно уравнения (71) и (73), получим:
Знак минус перед напряжением означает, что оно направлено в сторону, противоположную указанной на рисунке.
§2.3 Кручение круглых валов переменного диаметра
рис.17
Рассмотрим кручение круглого вала переменного диаметра, изображенного на рис.17, парами, приложенными по торцам. Когда мы встречаемся с телами вращения, удобно пользоваться цилиндрическими координатами . Причем, что ось z совпадает с осью вала. Пренебрегая объемными силами, имеем:
(74)
Обозначим перемещения в направлениях соответственно через u, v, w. Выражения для компонентов деформации могут быть выведены таким же образом:
(75)
В параграфе §2.1 было найдено, что в случае закручивания сплошного круглого вала парами, приложенными по торцам, перемещения вдоль оси вала будут отсутствовать, и перемещение точек любого поперечного сечения происходит в направлении касательной. Попробуем решить настоящую задачу, полагая, что в данном случае
u=w=0.
Докажем, что решение, в основе которого лежит такое предположение, будет удовлетворять дифференциальным уравнениям и граничным условиям. Из теоремы об однозначности решения можно сделать вывод, что такое решение является правильным. Благодаря осевой симметрии, перемещение v не может зависеть от угла и будет функцией только r и z. Пользуясь этим, из (75) находим:
(76)
Из формул закона Гука легко получаем:
(77)
Заметим, что единственные компоненты напряжений и , отличные от нуля, не зависят от угла . Поэтому первые два уравнения (74) тождественно удовлетворяются, а третье уравнение принимает вид:
Его можно записать в следующей форме:
(78)
Это уравнение тождественно удовлетворяется, если ввести функцию напряжений по формулам:
Или
(79)
Чтобы определить функцию напряжений, надо обратиться к уравнению совместимости.
Решая совместно уравнения (77) и (79), находим:
Дифференцируя первое равенство по z, а второе – по r и вычитая одно из другого, получаем следующее уравнение совместимости:
(80)
Найдем теперь условие на контуре для функции . Так как боковая поверхность вала свободна от внешних нагрузок, то результирующее касательное напряжение должно быть направлено по касательной к контуру осевого сечения, а его проекция на нормаль N к контуру должна равняться нулю. В соответствии с этим имеем
С другой стороны,
cos(N^r)=dz/ds , cos(N^z)= - dr/ds,
где ds - элемент дуги контура. Подставляя сюда выражение (79), получаем
откуда
Или
на контуре
Таким образом, задача о кручении кругового вала переменного диаметра сводится к решению уравнения (80) при условии на контуре (81).
Величину крутящего момента легко вычислить, определив момент касательных усилий в поперечном сечении:
(82)
Если вал имеет коническую форму, как на рис.18, то на контуре имеет место зависимость
рис.18
причем отношение, фигурирующее в левой части равенства, является величиной постоянной. Поэтому любая функция этого отношения будет удовлетворять условию на контуре (18).
Легко проверить, что функция
где C - постоянная, удовлетворяет уравнению (80). Постоянную C можно определить, подставив эту функцию в уравнение (82); тогда получим
(83)
Таким образом, касательные напряжения и равны:
(84)
где C определяется по формуле (83).
Обычно задачи, с которыми приходится сталкиваться на практике, бывают более сложными. В таких случаях применяют численные методы решения.
ГЛАВА 3. КРУЧЕНИЕ ПРИЗМАТИЧЕСКИХ И ЦИЛИНДРИЧЕСКИХ СТЕРЖНЕЙ
§3.1 Чистое кручение стержней постоянного сечения
1. Допущения
При решении задачи о чистом кручении стержней следуют "полуобратному методу" Сен-Венана, полагая
где z - ось стержня.
2. Основные уравнения
При принятых допущениях расчетные уравнения будут:
Статистические уравнения
(85)
Краевые условия
на боковой поверхности
(86)
на торцах (z=0 и z=l)
(87)
где Mz крутящий момент.
Геометрические уравнения
(88)
(89)
3. Решение задачи посредством функции Прандля
Напряжения выражают через функцию по формулам:
(90)
Согласно уравнениям (89)
(91)
Интегрированием уравнений (88) находят, отбросив члены, представляющие перемещение стержня как твёрдого тела:
(92)
где угол закручивания на единицу длины стержня.
Из двух последних уравнений (88) получают уравнение
откуда
(93)
4. Свойства функции Прандля
Из уравнения (86) (рис.18)
рис.18
и, следовательно, на контуре сплошного стержня
(94)
Касательное напряжение в любой точке сечения направлено по касательной к линии , проходящей через эту точку, и пропорционально быстроте изменения по нормали к этой линии:
(95)
Согласно теореме о циркуляции касательного напряжения (Бредт, 1896 г.)
(96)
где площадь сплошного сечения, ограниченная рассматриваемой кривой.
Согласно третьему уравнению (87)
(97)
где дифференциал функции напряжений (95); F - площадь сечения (включая отверстия).
§3.2 Чистое кручение круглых стержней (валов) переменного сечения
1. Допущения
При кручении вала переменного сечения (рис. 19) задача решается
рис.19
в цилиндрических координатах при следующих допущениях:
(98)
2. Основные уравнения
При принятых допущениях (98) расчетные уравнения будут:
Геометрическое уравнение
(99)
Уравнения закона Гука
(100)
Статические уравнения
При отсутствии объемных сил из уравнений равновесия остается лишь одно:
а остальное удовлетворяются тождественно.
Последнее уравнение можно записать в форме:
(101)
и тождественно удовлетворить введением функции напряжений по формулам:
(102)
Решая совместно уравнения (100) и (102) получаем:
(103)
Если боковая поверхность свободна от внешних сил, то результирующее касательное напряжение направлено по касательной к контуру осевого сечения, а его проекция на нормаль v равна нулю. В этом случае имеем:
Где
Приняв во внимание формулы (92), получим:
откуда следует, что на контуре
(104)
на торцах (z=0 и z=l)
(105)
где a - радиус рассматриваемого поперечного сечения, определяемый уравнением образующей.
Если на боковой поверхности действует нагрузка p, то
,
Откуда
и вместо формулы (104) получим:
(106)
3. Решение дифференциального уравнения кручения вала
Возможны различные формы решений уравнения (103)
В степенных функциях.
Полагаем
(107)
Подставляя значение в уравнение (103), находим n=4 и m=1, откуда
(108)
и напряжения принимают вид:
(109)
Из формул (109) получаем ряд частных случаев, например при A=D=0 и B=1 - элементарное решение задачи о кручении круглого вала. В этом случае
и на основании формулы (105)
В функциях Бесселя.
Полагая
где R(r) - функция переменной r, а Z(z) - переменной z, и подставляя в уравнение (103), получаем:
(110)
где некоторое число.
Уравнения (110) имеют следующие два решения:
(111)
(112)
где,
функция Бесселя второго порядка действительного аргумента соответственно первого и второго рода;
функция Бесселя второго порядка мнимого аргумента соответственно первого и второго рода.
Напряжения определяют по формулам:
(113)
И (114)
где J1, Y1, I1, K1 - функция Бесселя первого порядка.
В функциях Лежандра.
Дифференциальное уравнение кручения валов переменного сечения (103) в криволинейных, ортогональных, изотермических координатах имеет вид:
(115)
где криволинейные, ортогональные, изотермические координаты в плоскости осевого сечения вала.
Координаты в плоскости (см. рис.19) связаны с координатами r и z соотношениями:
(116)
и обратно
Полагая
где функция , а функция , и подставляя в уравнение (115), получаем, учтя формулы (116), два уравнения:
(117)
где n- некоторое постоянное число.
Из первого уравнения (117), принимая , находим:
(118)
Решение второго уравнения (117) ищем в форме:
(119)
где
Подставляя значение во второе уравнение (117), приходим к уравнению Лежандра:
(120)
откуда
(121)
где функции Лежандра первого рода, а при n – целом числе – полиномы Лежандра.
Первое решение уравнения (115) будет
(122)
Второе решение имеет вид:
(123)
где функция Лежандра второго рода.
При n=0 и n=1 решения получаются непосредственно из второго уравнения (117):
при n=0
при n=1
Таким образом, решения (122) и (123) дополняются двумя значениями функции :
(124)
При эллиптических координатах , которые связаны с координатами r и z соотношениями:
(125)
Полагая
приходим к решению в форме:
(126)
где
Pn(…) - функция Лежандра первого рода;
Qn(…) – функция Лежандра второго рода.
Если переменить роли координат r и z, т.е. расположить полюса эллиптической системы координат не на оси вала Oz, а на оси Or, то связь между r, z и будет
(127)
и решение (126) примет вид:
(128)
где
ГЛАВА 4. ЗАДАЧИ
1. Стержень эллиптического сечения скручивается моментом Mz.
Исследовать напряженное состояние стержня.
Задаемся функцией напряжений в виде:
(a)
где A-неизвестный множитель.
Подставляя функцию Ф в уравнение (91), получаем:
Откуда
и функция напряжений
(б)
Напряжения определяем по формулам (90):
(в)
Эпюры напряжений приведены на рис.20. рис.20
Для определения пользуемся формулой (97).
Согласно формуле (б) площадь эллипса
где при x=y=0
По формуле (97)
Наибольшее напряжение в точке (0, b)
2. Стержень кругового сечения
скручивается моментом Mz.
Исследовать напряженное состояние стержня.
Для функции напряжений принимаем выражение
(a)
где A- неизвестный множитель.
Согласно уравнению (91)
Откуда
рис.21
и функция напряжений будет
(б)
Напряжения определяем согласно формулам (90):
(в)
Эпюры напряжений приведены на рис.21.
Согласно формуле (97)
Наибольшее напряжение
(г)
где полярный момент сопротивления.
Все формулы настоящее задачи являются частным случаем формул задачи (85) при a=b, когда эллипс превращается в круг.
3. Задача Вебера (1921 г.)
Круглый стержень диаметром b с полукруглой выточкой радиуса a скручивается моментом Mz (рис.22).
Найти натяжное состояние стержня.
Уравнения контуров сечения в полярных координатах имеют вид:
(a)
Функция напряжений принимает в форме:
рис.22
(б)
где А - неизвестный множитель.
Функция Ф на контуре равна нулю.
В декартовых координатах при
функция напряжений
Согласно уравнению (91)
и функция напряжений будет
(в)
Касательные напряжения в полярных координатах, согласно рис.22, равны:
Дифференцируя функцию Ф, получаем:
(г)
Максимальное значение касательное напряжение принимает в точки контура, находящейся на дне выточки:
(д)
При оно вдвое больше, чем на контуре без выточки (концентрация напряжений у выточек).
4. Задача Сен-Венана.
Прямоугольный стержень со сторонами a и b (a>b) скручивается моментом Mz (рис.23). Исследовать напряженное состояние стержня.
рис.23
Функцию напряжений принимаем в виде:
(а)
где F- неизвестная функция.
Подставив выражение (а) в уравнение (91), найдем, что функция F должна удовлетворять гармоническому уравнению
(б)
и краевым условиям
при
при
Согласно методу Фурье будем искать частное решение уравнения (б) в форме:
(в)
где X(x)-функция от x;
Y(y)-функция от y.
Подставляя функцию F(x,y) в уравнение (б) и разделяя переменные, приходим к уравнениям:
(г)
где - постоянная величина.
Ввиду симметрии задачи решение уравнений (г) берем в виде четных функций
откуда
(д)
При
F=0,
Откуда
и (k=0, 1, 2, …).
При
т.е. (е)
Правую часть равенства (е) в интервале раскладываем в тригонометрический ряд по косинусам:
(ж)
где
Сравнивая коэффициенты Ak и Bk выражений (е) и (ж), получим:
Окончательно функция напряжений будет
(з)
Наибольшее касательное напряжение будет в середине длинных сторон при x=0 и
(и)
Эпюры напряжений приведены на рис.23.
Согласно выражению (97)
(к)
Бесконечные ряды при a: b>>1 быстро сходятся.
Для практических расчетов удобно пользоваться формулами:
(л)
где жесткость на кручение. (м)
Значения коэффициентов qi приведены в табл. 3.1.
Таблица 3.1
a:b
q1
q2
q3
a:b
q1
q2
q3
1
1,5
2
3
4
0,208
0,230
0,246
0,267
0,282
1,000
0,860
0,795
0,753
0,745
0,140
0,196
0,229
0,263
0,281
6
8
10
0,298
0,307
0,312
0,333
(1/3)
0,743
0,743
0,743
0,743
0,298
0,307
0,312
0,333
(1/3)
5. Задача Сен-Венана.
Стержень с поперечным сечением в форме равностороннего треугольника высотой а скручивается моментом Mz (рис. 24).
Исследовать напряженное состояние стержня.
рис.24
Функцию напряжений принимаем в виде:
(а)
Легко проверить, что на контуре сечения
( x=-a/3 и )
функция Ф обращается в нуль.
Из уравнения (91)
и функция напряжений (а) будет
(б)
Согласно (90) напряжения
(в)
Эпюры напряжений приведены на рис.24.
6. Задача Лейбензона.
рис.25
Стержень с поперечным сечением в виде полукольца скручивается моментом Mz (рис. 25).
Исследовать напряженное состояние стержня.
(а)
Найдем решение уравнения (а), удовлетворяющее на контуре условию (94) для функции напряжений
Ф=0 (б)
Разложим правую часть уравнения (а) в интервале в ряд Фурье:
(в)
и будем искать решение уравнения (а) в форме ряда
(г)
Подставив выражения (в) и (г) в формулу (а), получим определяющее уравнение для fn(r):
(д)
Решая уравнение (д), находим:
(е)
где An и Bn - постоянные интегрирования;
постоянная частного решения. (ж)
Ряд (г) удовлетворяет условию Ф=0 на прямолинейных участках ( и ). Из остальных двух условий:
определяем An и Bn (е). Окончательно получаем:
(з)
Где
(и)
Функция кручения (г) будет
(к)
По формулам (90)
Отсюда, согласно рис. 25,
(л)
Окончательно получим:
Результирующее касательное напряжение достигает наибольшего значения при и (в середине дуги полуокружности большого радиуса).
ЗАКЛЮЧЕНИЕ
Прикладная теория упругости отличается от математической тем, что для решения задач помимо закона Гука применяются некоторые дополнительные гипотезы деформационного характера (гипотеза плоских сечений для стержней, прямых нормалей для тонких пластин и оболочек и т.п.). При решении задач прикладной теории упругости наряду с точными методами решения соответствующих уравнений могут применяться и приближенные методы. Между прикладной теорией упругости, тесно связанной с запросами практики, и сопротивлением материалов нет четкой границы. Некоторые, наиболее простые задачи, относящиеся к этому разделу, рассматриваются также и в курсах сопротивления материалов.
Таким образом, значение теории упругости состоит, во-первых, в получении точных решений для тех задач, которые могут решаться и решаются иными методами в других разделах механики деформируемого тела (сопротивление материалов, строительная механика); во-вторых, в постановке и решении таких важных для практики задач, которые не могут решаться методами сопротивления материалов (задач о напряженном и деформированном состоянии пластин, оболочек, массива, о концентрации напряжений около отверстий, о напряженном состоянии вблизи точек контакта двух тел - контактные задачи, о распространении волн в упругой среде и т.п.); в-третьих, в том, что теория упругости обеспечивает развитие таких дисциплин, как сопротивление материалов и строительная механика, за счет решения круга рассматриваемых в этих дисциплинах задач и использование новых методов решения.
СПИСОК ЛИТЕРАТУРЫ
Галин Л.А. Контактные задачи теории упругости и вязкоупругости. – М.: Наука, 1986. – 304с.
Малинин Н.Н. Прикладная теория пластичности и ползучести. – М.: Машиностроение, 1975. – 320с.
Теребушко О.И. Основы теории упругости и пластичности. – М.: Наука, 1984. – 320с.
Тимошенко С.П., Гудьер Дж. Теория упругости. – М.: Наука, 1975. – 576с.
Регач В.Г. Руководство к решению задач по теории упругости. – М. – 1966.
Ван Цзи-де. Прикладная теория упругости. – М.: ФИЗМАТГИЗ, 1959.

Нравится материал? Поддержи автора!
Ещё документы из категории математика:
Чтобы скачать документ, порекомендуйте, пожалуйста, его своим друзьям в любой соц. сети.
После чего кнопка «СКАЧАТЬ» станет доступной!
Кнопочки находятся чуть ниже. Спасибо!
Кнопки:
Скачать документ