Математический анализ











































































































МИНИСТЕРСТВО ОБРАЗОВАНИЯ И НАУКИ УКРАИНЫ
НАЦИОНАЛЬНЫЙ ТЕХНИЧЕСКИЙ УНИВЕРСИТЕТ «ХПИ»
Кафедра «Вычислительной техники и програмирования»
Расчётно–графическое задание
по курсу «Теория алгоритмов и вычислительные методы»
Харьков – 2005
Исходные данные:
Вариант №
y0
y1
y2
y3
y4
y5
h
x0
64
-0.02
0.604
0.292
-0.512
-1.284
-2.04
0.5
0.3
Задача 1
Исходные данные вводятся в ЭВМ как абсолютно точные числа и представляются в ней в виде чисел с плавающей точкой с относительной погрешностью в одну миллионную. Введенные данные x0 и y0 служат основой формирования двух векторов x=(x0, x1, …, xn) и y=(y0, y1, …, yn) по рекуррентным формулам:
,
;
,
.
Вычислить скалярное произведение с := (x, y) по алгоритму:
с := 0; i := 0;
while i < n + 1 do c := c + xi · yi;
и оценить аналитически и численно инструментальную абсолютную и относительную погрешности.
Решение
Поскольку данные представляются в ЭВМ в виде чисел с плавающей точкой с относительной погрешностью, то
x0 = x0(1+δ)
y0 = y0(1+δ)
C0 = x0y0(1+δ)
При i = 1
При i = 2
x2 = x03(1+δ)5
y2 = y0(1+δ)3
C2 = x0y0(1+δ)5 + x02(1+δ)7 + x03y0(1+δ)10
При i = 3
x3 = x04(1+δ)7
y3 = (1+δ)5
C3 = x0y0(1+δ)6 + x02(1+δ)8 + x03y0(1+δ)11 + x04(1+δ)14
При i = 4
x4 = x05(1+δ)9
y4 = y0(1+δ)7
C4 = x0y0(1+δ)7 + x02(1+δ)9 + x03y0(1+δ)12 + x04(1+δ)15 + x05y0(1+δ)18
Выявим закономерность изменения Ci:
При расчете Cn без учета погрешности исходных данных и погрешности вычисления, получим
Обозначим эту сумму как S1.
Тогда абсолютная погрешность S2
а относительная погрешность
Оценим инструментально относительную и абсолютные погрешности при n = 10
S1 = 0.0923071
S2 = 1.45914·10-6
S3 = 1.58075·10-5
Задача 2
Для функции g(x), заданной своими значениями в шести точках, составить таблицу всех повторных разностей. Преобразовать функцию g(x) с помощью линейного преобразования x = a + b * k в функцию G(k) с целочисленным аргументом k. В качестве проверки правильности заполнения таблицы вычислить аналитически конечную разность Δng(x) = ΔnG(k) для n = 5.
Решение
Составим таблицу всех повторных разностей:
k
x
y
Δy
Δ2y
Δ3y
Δ4y
Δ5y
0
0.3
0.02
-1.576
0.044
-0.136
0.66
-0.54
1
1.1
-1.556
-1.532
-0.092
0.524
0.12
—
2
1.9
-3.088
-1.624
0.432
0.644
—
—
3
2.7
-4.712
-1.192
1.076
—
—
—
4
3.5
-5.904
-0.116
—
—
—
—
5
4.3
-6.02
—
—
—
—
—
Найдем формулу перехода от x к k:
Выполним проверку, вычислив аналитически конечную разность
Δng(x)= ΔnG(k) для n = 5:
Конечные разности, вычисленные аналитически и таблично Δng(x) = ΔnG(k) для n = 5 совпали, следовательно, таблица повторных разностей составлена верно.
Задача 3
Таблично заданную функцию G(k) с целочисленным аргументом представить в виде разложения по факториальным многочленам (z(n) = z · (z-1) · (z-2) · … · (z - n + 1)) и преобразовать его в степенные многочлены G(z) и G(x).
Решение
Представим функцию G(k) в виде разложения по факториальным многочленам:
Преобразуем функцию G(k) в степенной многочлен G(z):
Выполним проверку при k = 1:
0.604=0.604
Так как результаты совпали, значит степенной многочлен G(z) представлен правильно.
Преобразуем функцию G(k) в степенной многочлен G(x). Зная, что получим:
Проверим вычисления при x = 0.8:
0.6045128 ≈ 0.604
Так как результаты совпали, то вычисления сделаны верно.
Задача 4
Вывести аналитическое выражение суммы для функции целочисленного аргумента G(z). Проверить правильность вычисления полученного выражения прямым суммированием табличных значений G(k), k = 0, 1, 2, 3, 4, 5 (m = 5).
Решение.
Для вычисления значения суммы используем функцию G(z) в виде разложения по факториальным многочленам, полученным в задаче 3:
где
Для проверки, просуммируем значения G(k) из таблицы:
-0.02 + 0.604 + 0.292 - 0.512 - 1.284 - 2.04 = - 2.96
- 2.96 = - 2.96
Так как результаты вычисления аналитического выражения и суммы табличных значений G(k) совпали, значит аналитическое выражение для суммы выведено правильно.
Задача 5
Составить таблицу упорядоченных разделенных разностей для g(x). Проверить правильность таблицы для разделенной разности [x0; x1; x2; x3] по формуле ее аналитического представления.
Составим таблицу упорядоченных разделенных разностей для g(x):
xi
g(xi)
[xi; xi+1]
[xi; xi+1; xi+2]
[xi; xi+1; xi+2; xi+3]
[xi; xi+1; xi+2; xi+3; xi+4]
[xi; xi+1; xi+2; xi+3; xi+4;xi+5]
0.3
-0.02
1.248
-1.872
0.592
0.0533333
-0.1567999
0.8
0.604
-0.624
-0.984
0.6986666
-0.3386666
—
1.3
0.292
-1.608
0.064
-0.0213333
—
—
1.8
-0.512
-1.544
0.032
—
—
—
2.3
-1.284
-1.512
—
—
—
—
2.8
-2.04
—
—
—
—
—
Для проверки правильности заполнения таблицы разделенных разностей, вычислим разделенную разность пятого порядка по формуле ее аналитического представления:
Так как результаты вычислений совпали, значит, таблица разделенных разностей составлена правильно.
Задача 6
Получить интерполяционные многочлены Лагранжа и Ньютона, проходящие через первые четыре точки таблично заданной функции G(x), и сравнить их степенные представления.
Решение
Для нахождения интерполяционного многочлена Лагранжа используем формулу
где n = 3.
Проведем проверку вычислений, подставив x=0.8 в интерполяционный многочлен Лагранжа, получим y1=0.604
Интерполяционный многочлен Ньютона находится по формуле:
ln(x) = g0 + (x-x0)[x0;x1] + (x-x0)(x-x1)[x0;x1;x2] + … +
+(x-x0)(x-x1)∙ …∙(x-xn-1)[x0;x1;x2;…;xn]
Подставив в формулу gi и xi получим:
Интерполяционные многочлены Ньютона и Лагранжа совпадают.
Проведем проверку вычислений, подставив x=0.8 в интерполяционный многочлен Ньютона, получим y1=0.604
Задача 7.
Вывести выражения для вычисления второй производной в точке x=x3 в виде функций:
где ∆ng(0) и g(xn) для n = 0,1,…,5 соответственно значения разностей в точке x = x0 и ординаты g(xn) = gn из задачи N2. Значения производной вычисленные по выведенным формулам, сравнить с вычисленным значением производной, найденной путем дифференцирования интерполяционного многочлена G(x):
Решение
Для вычисления производной воспользуемся оператором дифференцирования:
Выражение для вычисления производной в точке x0 имеет вид:
Для того, чтобы преобразовать его к выражению для вычисления производной в точке x3, применим оператор сдвига:
Для того, чтобы перейти от функции к функции воспользуемся формулой:
Получим выражения для ∆2y0:
∆5y0 = -y0 + 5y1 – 10y2 + 10y3 – 5y4 + y5
∆4y0 = y0 - 4y1 + 6y2 - 4y3 + y4
∆3y0 = -y0 + 3y1 – 3y2 + y3
∆2y0 = y0 - 2y1 + y2
Подставим эти значения в функцию:
Сравним это значение с вычисленным значением производной путем дифференцирования интерполяционного многочлена G(x):
при x3 = 1.8
Значения производной равны, следовательно, вычисления сделаны верно.
Задача 8
Методом наименьших квадратов для таблично заданной g(x) получить аппроксимирующие степенные полиномы нулевой, первой, второй и третьей степеней (Pi(x), i = 0, 1, 2, 3) и изобразить их на одном графике.
Решение.
Составим таблицу степеней x и xy
i
x
y
x2
x3
x4
x5
x6
xy
x2y
x3y
1
0.3
-0.02
0.09
0.027
0.0081
0.00243
0.000728999
-0.006
-0.0018
-0.00054
1
0.8
0.604
0.64
0.512
0.4096
0.32768
0.262144
0.4832
0.38656
0.309247
1
1.3
0.292
1.69
2.197
2.8561
3.71293
4.8268
0.3796
0.493479
0.641523
1
1.8
-0.512
3.24
5.832
10.4976
18.8956
34.0122
-0.9216
-1.65888
-2.98598
1
2.3
-1.284
5.29
12.167
27.9840
64.3634
148.035
-2.9532
-6.79236
-15.6224
1
2.8
-2.04
7.84
21.952
61.4656
172.103
481.89
-5.712
-15.9936
-44.782
6
9.3
-2.96
18.79
42.687
103.22
259.405
669.026
-8.73
-23.5666
-62.4401
Составим системы уравнений:
Откуда a0 = -0.93621; a1 = 3.89576; a2 = -2.8954; a3 = 0.488001
Аппроксимирующий степенной полином 3-й степени имеет вид:
P3(x) = -0.93621 + 3.89576x – 2.8954x2 + 0.488001x3
Откуда a0 = -0.0710314; a1 = 0.989486; a2 = -0.624589;
Аппроксимирующий степенной полином 2-й степени имеет вид:
P2(x) = -0.0710314 + 0.989486x – 0.624589x2
Откуда a0 = 0.974118; a1 = -0.946742;
Аппроксимирующий степенной полином 1-й степени имеет вид:
P1(x) = 0.974118 – 0.946742x
6a0 = -2.96
Откуда a0 = -0.493333;
Аппроксимирующий степенной полином 0-й степени имеет вид:
P0(x) = -0.0493333
Изобразим полученные полиномы на графике:
Задача 9
Для аппроксимирующего полинома третьей степени P3(x) получить аналитические выражения ΔnP3(x), n = 0, 1, 2, 3, 4 и все конечно-разностные разностные кривые изобразить на одном графике.
Решение
Обозначим на графике все конечно-разностные кривые:
P3(x) Δ2P3(x) ΔP3(x)
Δ4P3(x) Δ3P3(x)
Задача 10
Вывести квадратурные формулы для вычисления определенных интегралов с пределами [0, 1] и [-1, 1] от подынтегральных функций f(t), принадлежащих классу степенных многочленов степеней 0, 1, 2, 3. Вывод проделать для трех случаев использование в квадратурных формулах численных значений подынтегральных функций:
в) заданы значения функции в точках, обеспечивающих получение формул наивысшей алгебраической степени точности.
Решение
Значение определенного интеграла найдем, исходя из формулы:
где w1, w2 — некоторые коэффициенты
t1, t2 — точки, плавающие внутри интервала интегрирования.
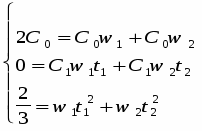
Составим систему уравнений
w(t) = (t-t1)(t-t2) = C0 + C1t + C2t2 = 0
C2 = 1
Домножив уравнения на соответствующие коэффициенты получим:
2C0 + 2/3 = w1 (C0 + C1t1 + t12) + w2 (C0 + C1t1 + t22)
2C0+ 2/3 = 0
C0 = -1/3
Подставляя полученные значения в первую систему, получим:
Квадратурная формула:
Задача 11
С помощью квадратурных формул, полученных в задаче 10, вычислить определенный интеграл от степенного представления интерполяционного многочлена Лагранжа (Ньютона), полученного в задаче № 6 в пределах от x0 до x0 +3h, и сравнить его с аналитически вычисленным значением определенного интеграла по первообразным многочлена.
Решение
Используем степенное представление интерполяционного многочлена Лагранжа из задачи 6
Для перехода к интегралу с канонической формой используем линейное преобразование: x = α + βt.
Составим систему уравнений:
Подставив x = 1.05 + 0.75t, получим многочлен Лагранжа от переменной t:
L (t) = 0.24975t3 - 0.80325t2 - 0.49575t + 0.537253
Учитывая, что dx = βdt, получим:
Применим квадратурную формулу, полученную в задаче №10
Для сравнения вычислим аналитически значение интеграла:
Так как результаты совпали, значит, вычисления произведены верно.
Задача 12
Оценить погрешность определенного интеграла от функции sin(x) в пределах [0,2/3π] по квадратурной формуле наивысшей алгебраической степени точности, полученной в задаче № 10в, по сравнению с аналитически точным. Проделать то же самое над усеченным степенным рядом, представляющим sin(x), в который x входит со степенью не выше третьей.
Решение
Перейдем от пределов [0,2/3 π] к пределу [-1,1]: для этого воспользуемся линейным преобразованием x= α + βt . Составить систему
Учитывая, что dx = βdt, получим:
Применим квадратурную формулу:
Вычислим аналитически:
Найдем погрешность вычисления:
Проделаем те же операции над усеченным степенным рядом, представляющем sin(x):
Перейдем от пределов [0; 2π/3] к пределам [-1; 1], для этого используем линейное преобразование x = α +βt. Составим систему уравнений:
Учитывая, что dx = βdt, получим
Применим квадратурную формулу, получим
Найдем погрешность вычисления
Задача 14
Степенными полиномами Чебышева Ti относительно переменной x (|x| < 1) являются решениями линейного разностного уравнения второго порядка:
Ti+2 - 2x Ti+1 + Ti = 0,
с начальными условиями T0 = 1 и T1 = x.
Найти аналитическое выражение и вычислить значения полинома Чебышева i-й степени, если и i = 4. Проверить вычисления непосредственно по заданной рекуррентной формуле. Найти положение нулей и экстремумов у многочленов Чебышева в общем виде и для заданных выше x и i. Оценить модуль максимально возможного значения полинома в точках экстремумов.
Решение.
Исходя из того, что
xi = |yi| надо найти T4 т.е. для i = 4
Из Ti+2 - 2xTi+1 + Ti = 0 следует, что
T2 = 2xT1 - T0
T3 = 2xT2 - T1 = 2x(2xT1 - T0) - T1
T4 = 2xT3 - T2 = 2x(2x(2xT1 - T0) - T1) - 2xT1 + T0 = 8x3T1 - 4x2T0 - 4xT1 + T0
Подставим значение T0 = 1 и T1 = x
T4 = 8x4 - 4x2 - 4x2 + 1 = 8x4 - 8x2 + 1
Найдем значения x:
T4 = 0.99980
Проверим по заданной рекуррентной формуле:
T2 = 2·0.00490·0.00490 - 1 = -0.9999
T3 = 2·0.00490·(-0.9999) - 0.00490 = -0.01469
T4 = 2·0.00490·(-0.01469) + 0.9999 = 0.99980
Нули функции находятся, как решения биквадратного уравнения:
8x4 - 8x2 + 1 = 0, где
x1 = 0.9238795
x2 = -0.9238795
x3 = 0.3826834
x4 = -0.3826834
Чтобы найти экстремумы найдем
Задача 16
Выравнивание по всей длине с течением времени температуры T(x, t) на тонком однородном хорошо теплоизолированном стержне описывается дифференциальным уравнением в частных производных с начальным распределением температуры (в градусах Цельсия) по длине стержня в 6 равномерно расположенных с шагом h точках.
T(x0, 0) = T0, T(x1, 0) = T1, …, T(x5, 0) = T5; (Ti = 100·yi ˚C).
На концах стержня в точках x-1 и x6 удерживается нулевая температура.
Применяя конечно-разностное представление производных по пространственной переменной x, свести уравнение в частных производных к системе дифференциальных уравнений в обыкновенных производных относительно температуры T.
Решение.
Получаем систему диф. уравнений:
Учитывая начальные условия, получим систему уравнений:
Задача 17.
Используя метод Ньютона-Рафсона, найти с относительной погрешностью в одну миллионную нуль многочлена Чебышева Ti(x), полученного в задаче 14. В качестве начального приближения к корню взять
В качестве xi берутся |yi| из таблицы исходных данных.
Решение.
Из задачи 14 возьмем полином Чебышева T4 = 8x4 - 8x2 + 1. В качестве начального приближения к корню возьмем xнач, вычисленное по формуле
Т.к. 8x4 - 8x2 + 1 = 0, то можем сказать, что f(xнач + α) = 0
Воспользуемся DERIVE для нахождения корня с необходимой точностью:
получим такие значения: 0.38234, 0.382689, 0.382683, 0.382683, 0.382683.
На третьей итерации получаются значения корня с нужной точностью.
Задача 19
Скорость изменения переменной x(t) во времени равна функции от этой переменной f(x). Найти аналитическое выражение последней от времени, начиная с t = 0, если в начальный момент x(0) = 0. В качестве f(x) взять степенной многочлен P2(x), полученный в задаче 8. Протабулировать полученное решение с шагом h = 0.1 в интервале [0, 0.5].
Решение
P2(x) = -0.0710314 + 0.989486x – 0.624589x2 = f(x)
Исходя из начальных условий, т.к. dx/dt = f(x), имеем
Т.к. x = F(t), то:
Протабулируем x(t) на интервале [0; 0.5] c шагом h = 0.1:
t = 0 x = 0
t = 0.1 x = -0.0622648
t = 0.2 x = -0.137833
t = 0.3 x = -0.230872
t = 0.4 x = -0.347464
t = 0.5 x = -0.496850
Задача 20
Методом Эйлера в интервале [0, 0.5] с шагом h = 0.1 получить решение нелинейного дифференциального уравнения:
dx/dt = a + bx + cx2,
x(0) = 0
Коэффициенты a, b, c взять из P2(x), полученного в задаче 8.
Решение
y = P2(x)
P2(x) = -0.0710314 + 0.989486x – 0.624589x2
Общая формула для решения
x = x0 + h·P2(x0, t0)
x1 = 0 + 0.5· (-0.0710314) = -0.0355156
x2 = -0.0355156 + 0.5·(-0.0710314 + 0.989486 (-0.0355156)1 –
-0.624589· (-0.03551562) = -0.053854
x3 = -0.053854 + 0.5· (-0.0710314 + 0.989486 (-0.053854)1 –
- 0.624589 (-0.053854)2) = -0.0636315
x4 = -0.0636315 + 0.5· (-0.0710314 + 0.989486 (-0.0636315)1 –
-0.624589 (-0.0636315)2) = -0.0689304
x5 = -0.0689304 + 0.5 (-0.0710314 + 0.989486 (-0.0689304)1 –
-0. 0.624589 (-0.0689304)2) =--0.071827
Задача 23
Проверить заданную систему из трех векторов на линейную зависимость. При обнаружении линейной зависимости поменять местами первые компоненты векторов x1,x2 и выполнить повторную проверку. Из исходных данных векторы формируются так:
x1 = (y0,y1,y2); x2=(y3,y4,y5); x3=(h,x0,0).
На базе линейно независимой системы векторов x1, x2, x3 методом Грама-Шмидта построить ортонормированную систему трех векторов:
y1 = (y11,y21,y31); y2=(y12,y22,y32); y3=(y13,y23,y33).
На основе полученной системы векторов сформировать квадратную матрицу T = (y1,y2, y3). Вычислить det(T) и получить матрицы — обратную T-1 и транспонированную T’. Найти произведение T-1 · T, T · T’. Сделать выводы о свойствах матрицы T.
Решение
Исходные векторы x1 = (-0.02,0.604,0.292); x2=(-0.512,-1.284,-2.04);
x3=(0.5,0.3,0).
Составим матрицу и проверим ее на линейную зависимость:
det (A·AT) = 0.23591 > 0, значит система линейно независима.
Найдем векторы v1, v2, v3
v1 = x1
v2 = x2 + a21·v1
v3 = x3 + a32·v2 + a31·v1
v1 = (-0.02, 0.604, 0.292);
v2 = (-0.572423, 0.54078, -1.15782);
v3 = (0.471405, 0.104651, -0.184183).
Матрица T:
det(T) = -1
Ортонормированная матрица T состоит из собственных векторов. Определитель матрицы T равен 1. Если транспонировать ортогональную матрицу то она будет равна обратной. T’ = T-1. Это значит, что если умножить T·T’ = E — получим единичную матрицу.
Задача 24
Считая числа –1, -2, -3 собственными значениями, а векторы у1, у2, у3 из задачи 23 – собственными векторами некоторой матрицы А, найдите проекторы этой матрицы ( Р1, Р2, Р3), саму матрицу А и ей обратную А-1. Получить характеристическое уравнение матрицы А и подтвердить правильность всех промежуточных вычислений.
Решение
Найдем проекторы матрицы А:
Найдем обратную матрицу А-1:
Характеристическое уравнение матрицы А имеет вид:
-x3-6x2-11x-6=0;
Корни характеристического уравнения – собственные значения матрицы
x1= -1; x2= -2; x3= -3
Задача 25
Решить систему алгебраических уравнений А·x = b, где А- матрица коэффициентов из задачи 24, x = (x1, x2, x3) – векторы решения, b = (3, 2, 1) – вектор правых частей. Решение получить, используя обратную матрицу, полученную из задачи 24.
Решение

Нравится материал? Поддержи автора!
Ещё документы из категории математика:
Чтобы скачать документ, порекомендуйте, пожалуйста, его своим друзьям в любой соц. сети.
После чего кнопка «СКАЧАТЬ» станет доступной!
Кнопочки находятся чуть ниже. Спасибо!
Кнопки:
Скачать документ