Математическое моделирование полета лыжника при прыжке с трамплина
































































































Математическое моделирование полета лыжника при прыжке с трамплина
Бакалаврскую работу выполнил студент группы ММ-93 Подгаец А.Р.
Пермский государственный технический университет
Кафедра математического моделирования систем и процессов
Пермь 1997
1. Введение
"Достижения лыжников-прыгунов на состязаниях любого ранга, будь то всесоюзные или международные соревнования, первенства мира или олимпийские игры,предопределены всей историей прыжков на лыжах - творческим трудом ученых, тренеров, самих спортсменов. Неоднократное низвержение "законодателей стиля", устоявшихся взглядов на "каноны" техники всегда знаменовало собой "новый" этап, который тут же становился "пройденным", в развитии спорта. ... Постоянное усовершенствование спортивной техники, модернизация спортивных сооружений (профилей трамплинов) - вот основные условия высоких достижений в прыжках на лыжах."
(Грозин Е. А., "Прыжки с трамлина")
Этот вид спорта - прыжки на лыжах с трамплина - появился на свете в конце XIX века в Скандинавских странах и на севере России. Это один из "молодых" видов спорта, рожденных уже в эру научно-технической революции. Нельзя не заметить и то, что состязания прыгунов представляют смертельную угрозу для новичка. Кроме того, прыжки на лыжах с трамплина связаны не только с силой мускулов, реакцией и удачей, но и с тонким расчетом, основанным на знании физических законов природы и возможностей человека. Учитывая все это, можно ожидать, что этот вид спорта будет нуждаться в поддержке со стороны науки.
Первые работы, посвященные прыжкам на лыжах относятся к 1924 году. Их автор - норвежец Р. Штрауман - и прыгун Тулин Тамс известны в спортивном мире, как создатели "норвежского стиля" прыжков с трамплина. Этот год ознаменовал приход на спортивный Олимп норвежских прыгунов, которые занимали призовые места чуть ли не до середины 50-х годов. К 1954 году относится следующая научных изысканий, результатом которых стал "финский стиль", впервые продемострированный на Олимпийских играх прыгуном Тауно Луиро. К концу 50-х относятся работы советских ученых Андреева В.А., Ниремберга Г.Р., Химичева М.А. и Нагорного В.Э. и таких прыгунов как Н. Каменский, К. Цакадзе, Н. Шамов. В начале 60-х спортивные победы достаются спортсменам из ГДР, за которыми несомненно тоже стоит коллектив тренеров и ученых. К 1969 году относится феноменальное событие в истории прыжков на лыжах с трамплина. Во время соревнований "Неделя полетов" в г. Планица (Югославия) предыдущий мировой рекорд - 141 метр - был побит шесть раз. Новым мировым рекордом стал прыжок на 165 метров.
Этот успех всколыхнул волну новых научных исследований во всех странах. В конце 80-х - начале 90-х годов на спортивной арене появился V-стиль, с которым связаны новые успехи и достижения.
Каждый стиль - это своя техника прыжка, опирающаяся на научный опыт. Хочется надеяться, что данная работа послужит если не еще одной ступенькой в этом восхождении, то хотя бы заделом для будущей работы, принесущей реально значимые для российских спортсменов плоды.
1.1. Обзор литературы
Как и было сказано выше, данная работа, конечно же, не является первой в области моделирования прыжков. Более того, она во многом опирается на опыт наших предшественников.
В своей книге "Прыжки с трамлина" [1], вышедшей в 1971 году, Е.А.Грозин рассматривает последовательно все стадии прыжка: разгон, полет и приземление. В работе детально рассмотрен сам полет, составлена математическая модель, использующая коэффициенты аэродинамического сопротивления, полученные из экспериментов в аэродинамической трубе, и кинограммы прыжков. Разобраны различные техники прыжка, популярные в 50-е, 60-е годы и показано превосходство вторых над первыми. Автор рассматривает также разгон и приземление, но комплексного исследования не проводит, то есть, например, при анализе приземления не учитывается посадочная скорость, которая обусловлена всем предыдущим движением лыжника. Указаны лишь очевидные границы для нее и способы гашения. В работе есть место и математическим выкладкам, и практическим советам. Несомненно, эта книга была способна принести много пользы прыгунам - и действительно принесла. Положительной стороной книги является рассмотрение всех стадий прыжка, что у нас присутствует пока только в планах на будущее.
Вопросам моделирования прыжка с трамплина посвящены работы Л.П.Ремизова [2,3]. Первая из них, опубликованная в советском журнале "Теория и практика физической культуры" в 1973 году, создает впечатление то ли выборки, то ли предварительных результатов для второй работы, опубликованной десятилетием позже в международном журнале по биомеханике. Отличие разительное: 2 страницы - и полномасштабное исследование, включающее в себя и эти 2 страницы. Обе статьи посвящены нахождению оптимальной траектории полета лыжника-прыгуна при помощи принципа максимума Понтрягина. Склон горы приземления задан некоторой функцией, так же как и коэффициенты аэродинамического сопротивления, и задача решается в такой обобщенной постановке почти до конца. Естественно, что аналитическое решение поставленной задачи найти очень трудно, и для каждого вида функций задача решается численно. В обеих статьях используются коэффициенты аэродинамического сопротивления, полученные Грозиным в 1971 году, то есть эти работы также проведены для давно устаревших способов прыжка. Их результатом явился вывод, что угол атаки прыгуна должен не оставаться постоянным, как считалось ранее, а медленно возрастать в полете. Сейчас мы видим плоды этого и других подобных исследований в инструкциях по прыжкам с трамплина, где сказано, что прыгун должен постепенно распрямляться и поднимать лыжи. Таким образом, данная работа является намеком на необходимость проведения такого же исследования для современных способов прыжка.
Наконец, в последнюю очередь кратко остановимся на совсем новой статье [4], опубликованной в 1997 году в журнале "Теория и практика физической культуры" несколькими авторами из города Великие Луки. Один из них, будучи математиком, демонстрирует оригинальный математический метод расчета дальности прыжка с привлечением теории функций комплексного переменного. В конце статьи выведена формула, позволяющая легко вычислять дальность прыжка, основываясь на данных о прыгуне, трамплине и ветре. Цель поставлена благая: дать тренеру и конструктору возможность легко рассчитывать дальность прыжка, не вдаваясь в физические сложности. Однако в этой работе допущена ошибка при записи уравнений движения - неверно учтена скорость ветра. Не исследуется зависимость аэродинамических коэффициентов от угла атаки и сами коэффициенты, взятые из [1], соответствуют старым способам прыжка. Угол вылета прыгуна положителен, в то время как таких трамплинов не делают по меньшей мере уже тридцать лет. Также скорость ветра считается постоянной по модулю и направлению в любой точке траектории лыжника.
Во всех рассмотренных работах не анализируется посадочная скорость лыжника, а между тем травмы в этом виде спорта случаются не только при приземлении "вверх тормашками", но и при казалось бы нормальной посадке. Также ни в одной работе не учтено влияние ветра в окрестностях трамплинной горы.
2. Концептуальная постановка задачи
2.1. Геометрические элементы трамплинов
Трамплины создаются под определенную дальность полета прыгунов, которую вычисляют как расстояние от точки старта до точки приземления по склону. Трамплины делятся по дальности на 5 категорий:
маленькие трамплины 20-45 м
средние трамплины 50-70 м
нормальные трамплины 75-90 м
большие трамплины 105-120 м
трамплины для полетов 145-185 м
Соревнования в России проводятся, как правило, на больших трамплинах, а международные соревнования - на трамплинах для полетов. Для того, чтобы лыжник, идущий на рекорд, не разбился, улетев за пределы склона приземления или недолетев до него, существуют специальные формулы и нормы для расчета геометрических параметров трамплинов.
Рис. 1. Основные геометрические элементы трамплина
Трамплин состоит из участка для разгона и так называемого стола отрыва, с которого лыжники уходят в свободный полет. Стол отрыва наклонен к горизонтали под небольшим отрицательным углом, обычно от -6О до -12О. Здесь собственно трамплин заканчивается, а все, что дальше, называется горой приземления или трамплинной горой. Высота стола отрыва над склоном горы приземления обычно обозначается и составляет от 2% до 4% от максимальной дальности, обозначаемой . Трамплинная гора состоит из трех участков: участка необработанного склона длиной и шириной , участка приземления - прямого участка склона, составляющего с горизонталью отрицательный угол , равный согласно принятым нормам от -25О до -40О, и участка торможения. Участок торможения как правило имеет профиль, плавно закругляющийся вверх. Расстояние по горизонтали от канта отрыва - крайней точки стола отрыва - до точки максимальной дальности обозначается . Этой буквой обозначается также критическая точка - конец участка приземления.
2.2. Собственно концептуальная постановка
Кратко цель данной работы звучит так: "как прыгнуть, чтобы улететь подальше и не разбиться?" Изменяя свою позицию во время отрыва, относительное положение ног, рук и корпуса, атлет может контролировать траекторию своего полета в воздухе, управляя углом атаки. Задача формулируется следующим образом: как должен лыжник управлять своим телом, чтобы приземлиться настолько далеко, насколько возможно, и при этом иметь приемлемую посадочную скорость.
Если старт и полет проходят нормально, то практически невозможно приземлиться раньше начала склона приземления. Но существует другая опасность. Лыжник оканчивает полет с большой скоростью, которую необходимо погасить. Для этого существует слегка закругляющийся участок торможения. Но если прыгун перелетает критическую точку, то он серьезно рискует, так как дальше склон закругляется вверх, и угол, под которым его траектория подходит к склону, будет составлять уже не 5-10О, а значительно больше. Поэтому приземление ральше или позже специально созданного для этого участка приземления в первом случае невозможно, а во втором - недопустимо. Параллельная склону составляющая скорости гасится при дальнейшем движении лыжника по зкругленному склону. Наибольшую опасность при приземлении представляет собой составляющая скорости, перпендикулярная склону, так как при слишком большой нормальной скорости кроме больших ударных нагрузок также есть риск упасть - при том, что в момент приземления лыжник имеет скорость в несколько десятков км/ч. Поэтому нормальная к склону составляющая посадочной скорости не должна превышать 7 м/с, а желательно должна составлять 3-5 м/с.
3. Математическая постановка задачи
3.1. Предположения
Ось абсцисс направлена в сторону полета лыжников параллельно горизонту, ось ординат - вверх через край стола отрыва, называемый кантом отрыва. Начало координат расположено так, что абсцисса точки старта и ордината критической точки - конца участка приземления - равны нулю. Если нет бокового ветра и других возмущений, центр масс лыжника описывает кривую в вертикальной плоскости, то есть задачу полета можно рассматривать как двухмерную.
Очевидно, прыгун может изменять свои аэродинамические параметры, на которые влияют следующие факторы:
кинетический момент системы прыгун-лыжи относительно оси, перпендирулярной плоскости рисунка и проходящей через центр масс системы, в момент отрыва и в полете;
изменение момента инерции системы относительно той же оси в полете;
различные активные и реактивные эффекты, связанные с вращением различных частей тела вследствие работы мышц.
Результаты многих исследований кинограмм [1, 5] доказывают относительную статичность положения каждого прыгуна в полете. Это упрощает описание картины перемещений и скоростей системы прыгун-лыжи и позволяет использовать индивидуальные экспериментальные характеристики, получаемые в аэродинамической трубе. Благодаря этому было введено предположение о неизменности позы лыжника в полете.
Весь прыжок можно разбить на четыре фазы: взлет, группировку, собственно полет и подготовку к приземлению. Первая фаза длится примерно 0.3 с, вторая -0.8-0.9 с, третья - 0.3-0.6 с. Все остальное время поза лыжника практически не меняется - см. рис.2 [1].
Рис. 2. Изменение угла атаки прыгуна во время прыжка
(по оси абсцисс отложено отношение текущей дальности к полной дальности прыжка, по оси ординат - угол атаки туловища в градусах по результатам среднего прыжка).
Таким образом, в основной фазе полет прыгуна близок к поступательному движению, что делает естественным предположение о замене рассмотрения прыгуна рассмотрением движения его центра масс.
3.2 Уравнения движения
На прыгуна в полете действуют две основные силы: аэродинамическая сила и сила тяжести. Разложим аэродинамическую силу на две составляющие - подъемную силу и силу лобового сопротивления (см. рис.3) - и запишем второй закон Ньютона для центра масс системы лыжник-лыжи:
, (1)
где - сила тяжести;
- масса системы прыгун-лыжи;
- ускорение центра масс системы;
- ускорение свободного падения;
- подъемная сила;
В подобных случаях под набегающим потоком воздуха понимается скорость воздуха относительно системы лыжник-лыжи. При старых техниках прыжка (см. рис. 3), когда корпус лыжника находился на относительно большом расстоянии от лыж, необходимо было рассматривать отдельно угол атаки корпуса, ног, рук и лыж [1], но при современных техниках и особенно при так называемом V-стиле, когда прыгун раздвигает лыжи и ложится между ними, становясь как бы треугольным крылом, можно приближенно считать, что лыжник и лыжи находятся в одной плоскости и рассматривать один угол атаки - угол атаки всей системы в целом.
Вернемся к началу этой главы. Для силы лобового сопротивления (2) и подъемной силы (3) существуют и другие выражения [6,7]:
, (9)
, (10)
где - плотность воздуха, - коэффициент силы лобового сопротивления,
- коэффициент подъемной силы, - площадь миделя (площадь сечения системы прыгун-лыжи в плоскости, перпендикулярной набегающему потоку воздуха). Если считать, что лыжник и лыжи находятся в одной плоскости, то площадь миделя при заданном угле атаки определяется следующим образом:, где - площадь миделя при угле атаки 900. Угол атаки складывается из угла между горизонталью и скоростью и угла между горизонталью и лыжами (рис. 4).
Система дифференциальных уравнений (7) с аэродинамическими коэффициентами, вычисляемыми в каждый момент времени по формулам (14), (15), образует замкнутую систему уравнений. Если к ней добавить начальные условия (8), данная задача будет являться задачей Коши.
В заключение приводится сравнение реальных аэродинамических коэффициентов прыгунов 60-х и нашей оценки. Криаая А на рис. 6 изображает полученную нами зависимость между коэффициентом подъемной силы и коэффициентом лобового сопротивления, а кривая В - аналогичную зависимость, полученную из экспериментальных зависимостей аэродинамических коэффициентов от угла атаки [1]. Видно, что вид зависимости коэффициентов друг от друга слабо отличается, и коэффициент подъемной силы в нашей работе выше, чем в
Рис. 6. Зависимость коэффициента подъемной силы от коэффициента сопротивления с углом атаки в качестве параметра (кривая А - наша оценка, кривая В - эксперименты в аэродинамической трубе с моделями прыгунов, использующих старую технику прыжка).
Рис. 7. Зависимость коэффициентов силы лобового сопротивления и подъемной силы от угла атаки.
экспериментах тридцатилетней давности. Это хорошо согласуется с тем фактом, что за прошедшие годы прыгуны научились развивать большую подъемную силу. Также если сравнить полученные нами графики зависимости аэродинамических коэффициентов от угла атаки (рис. 7) с аналогичными графиками в [1] на страницах 10-11, 13-14 и 15-16, видно, что вид зависимости сохранился.
- сила лобового сопротивления.
Рис. 3. Система координат и основные силы, действующие на прыгуна в полете.
Сила лобового сопротивления направлена по касательной к траектории противоположно скорости и пропорциональна квадрату модуля скорости: , (2)
а подъемная сила направлена по нормали к траектории и по модулю равна: , (3)
где коэффициент [6]. Коэффициент определяется предельной скоростью системы лыжник-лыжи :
. (4)
Предельная скорость - это скорость установившегося свободного падения тела в воздухе.
Спроецировав (1) на оси координат, путем несложных преобразований приходим к дифференциальным уравнениям движения:
(5)
Понизим порядок системы:
(6)
Следует также помнить, что воздушная среда находится в движении, в воздухе вокруг трамплинной горы задано векторное поле скоростей ветра. То есть все предыдущие уравнения записаны для относительных скоростей и их следует переписать для абсолютных скоростей.
(7)
где - горизонтальная, а - вертикальная составляющая скорости ветра.
Начальные условия:
(8)
Очевидно, что в общем случае задача если и решается аналитически, то очень сложно, поэтому целесообразнее решать ее численно. Критерием окончания расчета будет служить выполнение одного из следующих условий:
пересечение траектории со склоном горы;
вылет прыгуна за пределы участка приземления:.
Рассмотрим коэффициенты и. В простейшей модели можно положить их постоянными, как сделано, например, в работе [4]. Однако в действительности эти коэффициенты зависят от ориентации лыжника в воздухе и от его позы. Но у нас есть достаточно оснований считать позу лрыгуна постоянной в полете, такое допущение сделано не только в этой работе, но и в работах [2 - 4]. Ориентацию же лыжника в пространстве определяет угол атаки системы прыгун-лыжи, то есть угол между плоскостью системы и скоростью набегающего потока воздуха. Здесь и далее в
Рис. 4. Определение угла атаки системы лыжник-лыжи
(- угол между лыжами и горизонталью, - угол между скоростью и горизонталью, - угол атаки).
Как видно из кинограмм прыжков, приводимых, например, в [1], и из наблюдений за прыгунами, угол между лыжами и горизонталью в полете практически не меняется, меняется лишь угол между скоростью и горизонталью. Тогда, учитывая выражения (2) и (9), можно записать:
. (11)
Из рис. 4 видно, что
. (12)
Аэродинамические коэффициенты и можно найти из опытов в аэродинамической трубе. Однако в настоящее время мы не располагаем этими данными для современных техник прыжка, поэтому в данной работе используется лишь оценка аэродинамических коэффициентов. Рассмотрим лыжника и окрыжающий его воздух. Если рассмотреть воздух, как идеальный газ, состоящий из круглых упругих частичек, то согласно теории удара аэродинамическая сила будет направлена по нормали к поверхности лыж (см. рис. 5).
Рис. 5. Подъемная сила и сила лобового сопротивления в потоке идеального газа
(- полная аэродинамическая сила, составляющими которой являются сила лобового сопротивления и подъемная сила).
Угол между скоростью и лыжами - это угол атаки . То есть коэффициент
(13)
Окончательно имеем следующие выражения для и :
(14)
где
(15)
В формуле (14) - это угол отрыва, то есть угол, под которым траектория наклонена к горизонтали в начальный момент времени. Минус поставлен потому, что . Под понимается предельная скорость системы лыжник-лыжи в момент отрыва (в начальный момент времени).
4. Обтекание трамплинной горы потоком воздуха
4.1. Концептуальная постановка задачи
Эта глава посвящена задаче обтекания воздухом трамплинной горы. Цель данной работы - спрогнозировать поле скоростей ветра вблизи трамплина, чтобы можно было использовать эти данные в модели полета лыжника и более точно оценить влияние ветра на полет.
Сам трамплин достаточно узок и не играет значительной роли в формировании воздухных потоков, поэтому рассматривается только гора.
Для решения задачи была привлечена теория пограничного слоя. Воздух в пограничном слое вблизи земли считается вязкой несжимаемой жидкостью. Это не противоречит очевидной сжимаемости воздуха: как будет показано ниже, условие сжимаемости (согласно [8], где используется термин "искусственная сжимаемость") будет выглядеть точно так же, как и условие несжимаемости. Рассматривается двумерная постановка задачи течения жидкости в достаточно большой области, чтобы течение во входном и выходном сечениях и на верхней границе можно было считать строго горизонтальным. Нам известны экспериментальные данные по среднесезонным и среднегодовым скоростям ветра на разных высотах, их можно использовать для проверки и выбора входных данных. В [9], например, скорости ветра заданы в виде нечетких чисел, у которых функция принадлежности имеет вероятностный смысл, а носитель измеряется в м/с:
Скорости ветра в среднем по зимнему сезону (среднее значение):
скорость ветра на высоте от 40 до 120 м (4.9 м/с):
("0 до 2"/0.188 , "2 до 5"/0.420 , "5 до 10"/0.352 , "10 до 15"/ 0.037, "свыше 15"/0.003)
скорость ветра на высоте 500 м (11.4 м/с):
("0 до 2"/0.061 , "2 до 5"/0.125 , "5 до 10"/0.336 , "10 до 15"/ 0.241, "свыше 15"/0.237)
скорость ветра на высоте от 1000 м (11.3 м/с):
("0 до 2"/0.073 , "2 до 5"/0.114 , "5 до 10"/0.290 , "10 до 15"/ 0.280, "свыше 15"/0.243)
скорость ветра на высоте от 1500 м (11.6 м/с):
("0 до 2"/0.087 , "2 до 5"/0.076 , "5 до 10"/0.276 , "10 до 15"/ 0.306, "свыше 15"/0.255)
Среднегодовые скорости ветра (среднее значение):
скорость ветра на высоте от 40 до 120 м (4.7 м/с):
("0 до 2"/0.214 , "2 до 5"/0.442 , "5 до 10"/0.316 , "10 до 15"/ 0.026, "свыше 15"/0.002)
скорость ветра на высоте 500 м (8.9 м/с):
("0 до 2"/0.117 , "2 до 5"/0.194 , "5 до 10"/0.370 , "10 до 15"/ 0.187, "свыше 15"/0.132)
скорость ветра на высоте 1000 м (9.2 м/с):
("0 до 2"/0.110 , "2 до 5"/0.183 , "5 до 10"/0.336 , "10 до 15"/ 0.225, "свыше 15"/0.146)
скорость ветра на высоте 1500 м (9.4 м/с):
("0 до 2"/0.126 , "2 до 5"/0.168 , "5 до 10"/0.284 , "10 до 15"/ 0.274, "свыше 15"/0.148)
Как видно из этих данных, начиная с высоты 500 метров скорость ветра мало изменяется, значит, эту величину можно принять в качестве толщины пограничного слоя. Рассматриваемая область имеет прямоугольную форму с выпуклостью на нижней границе - трамплинной горой.
Контрольный счет проводился при следующих граничных условиях:
во входном сечении: (16)
в выходном сечении: (17)
на верхней границе: (18)
на нижней границе: (19)
Рассматриваются достаточно малые скорости, так как при сильном ветре прыжки запрещены. Малость скоростей позволяет пренебречь конвективными членами и считать течение ламинарным. Силой тяжести на данном этапе мы также пренебрегаем. Надо сказать, что мы сознаем некоторую натянутость такой постановки, в следующей работе эта задача будет решена уже с учетом и конвективного члена, и силы тяжести.
4.2. Математическая постановка
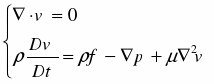
Течение вязкой несжимаемой жидкости описывается следующей системой уравнений [7]:
(20)
Для двумерной постановки эти уравнения приводятся к следующему виду:
(21)
Согласно [8] для описания сжимаемых жидкостей первое уравнение из (21) может быть заменено на следующее: , однако так как в данной работе рассматривается стационарное течение, то производная по времени равна нулю, и это соотношение приобретает вид, идентичный условию несжимаемости.
Задача решалась с граничными условиями (16)-(19).
В качестве области брался прямоугольник с выступом в виде трамплинной горы. Сам трамплин достаточно узок, и не вносит существенного вклада в формирование воздушного потока, поэтому он не рассматривается. Трамплинная гора состоит из участка необработанного склона - дуги окружности с известным радиусом кривизны, длиной и высотой, участка обработанного склона, предназначенного для приземления лыжников - прямой с известным углом к горизонтали и длиной и закругления с известным радиусом для безопасности тех, кто улетает за пределы допустимой дальности.
4.3. Численное решение
Задача решалась методом Галеркина в терминах скорость-давление. Метод конечных элементов был использован, так как он позволяет более точно, чем метод сеток, аппроксимировать границы области. Задача решалась в естественных переменных для простоты удовлетворения граничным условиям. Для решения задачи была составлена программа, основными частями которой были разбиение области на конечные элементы, составление и решение системы уравнений. Система уравнений имеет ленточный вид, что позволило значительно увеличить количество конечных элементов. В программе была использована линейная аппроксимация скоростей и кусочно-постоянная аппроксимация давления. Дело в том, что в [7] показано, что наибольшая точность и устойчивость метода конечных элементов для подобных задач достигается, если аппроксимация скоростей на порядок выше аппроксимации давлений. Для давлений использовались четырехугольные конечные элементы, делившиеся для скоростей на два треугольных.
Рис. 8. Конечноэлементная сетка, использовавшаяся при решении задачи
(показаны только четырехугольные элементы).
Задача решалась при различных граничных условиях, что позволило выяснить, как влияет на расчет заданный перепад давлений или заданная входная скорость. Оказалось, что задав силовое граничное условие - перепад давлений - получаем такие скорости, что если задать их в качестве кинематических граничных условий, получается тот же перепад давлений, что и в первой задаче.
На рис. 9 приведено поле скоростей ветра около трамплинной горы при перепаде давлений между входным и выходным сечениями расчетной области 210-6 мм рт. ст. (около 410-4 Па). Скорость ветра на верхней границе составила примерно 11 м/с, а на высоте, где обычно летают лыжники - около 5 м/с, что вполне согласуется с приведенными выше опытными данными. Видно, что во входном и в выходном участках области скорость ветра строго горизонтальна, а в районе горы имеет вертикальную составляющую, так как воздушный поток огибает гору.
Рис.9. Поле скоростей ветра в окрестностях горы.
5. Расчет полета лыжника
Задача Коши (7),(8),(14),(15) решалась методом Гаусса решения систем дифференциальных уравнений.
Траекторию при заданных уравнениях движения и заданной геометрии трамплина определяют три "входных" параметра: начальная скорость , поддерживаемый в полете угол между лыжами и горизонталью и предельная скорость . После решения задачи Коши мы можем определить два "выходных" параметра задачи - нормальную к склону составляющую посадочной скорости и дальность .
Далее для краткости будем называть просто скоростью приземления.
Исследовалась сходимость решения по интегральной и максимальной норме. Кроме этого проводилось еще две проверки, имеющих более простой и наглядный смысл. Их результаты здесь и приведены. Сравнение получающихся дальностей и скоростей приземления показало, что при заданном шаге по времени с дальность отличается по сравнению с решением с точностью с на величину порядка м, то есть у решений с шагами 0.001 с и 0.0001 с отличие в дальности имеет порядок нескольких миллиметров - в пределах одного сантиметра, т.е. 0.01 м. Численно отличие между скоростями приземления меньше в 2-3 раза, чем между дальностями. Так как точности выше 1 см и 1 см/с нам не нужны, все дальнейшие расчеты проводились с шагом по времени 0.001 с. Второй проверкой была такая: при отключении условия окончания вычислений по прошествии достаточно большого времени скорость падения становилась постоянной и равной предельной скорости. Оказалось, что значения выходных параметров достаточно жестко определяют, какими могут быть входные параметры. Это обусловлено не только узостью интервала допустимых скоростей приземления и длиной участка склона приземления, но и узостью интервалов изменения входных параметров. Вычислительный эксперимент проводился на параметрах нижне-тагильского трамплина. Входные параметры должны удовлетворять следующим условиям:
м/с
м/с
На рис.10 показаны траектории полета прыгуна при , фиксированной предельной скорости и слегка отличающихся начальных скоростях. Видно, что с ростом скорости вылета возрастает дальность полета, но приземление при этом становится более жестким из-за роста нормальной скорости приземления.
На рис. 11, 12 показаны зависимости дальности полета лыжника и нормальной составляющей скорости приземления от скорости вылета при различных значениях предельной скорости. Из этих рисунков видно, что чем больше дальность полета, тем более жестким будет приземление. При уменьшении предельной скорости для достижения той же дальности нужна меньшая начальная скорость, то есть преимущество получают прыгуны, имеющие большую "парусность".
Рис.10. Траектории полета лыжника при различных скоростях вылета
Рис.11. Зависимость дальности полета от начальной скорости при различных предельных скоростях.
Рис.12. Зависимость нормальной к склону составляющей скорости приземления от начальной скорости при различных предельных скоростях.
На основании проведенных расчетов для различных величин угла наклона лыж к горизонту определены интервалы допустимых значений скорости вылета и предельной скорости, обеспечивающие приземление на требуемом участке склона горы с приемлемой скоростью. Из рис.13-14 видно, что угол наклона лыж к коризонту 20 предпочтительнее, чем угол 30, так как при нем можно стартовать с меньшими скоростями и с меньшим риском. Таким образом, наилучшие прыжки получаются при как можно больших начальных скоростях (разумеется, в пределах допустимой области) и как можно меньших предельных скоростях и углах .
Рис.13. Допустимая зона изменения предельной и начальной скоростей при фиксированном угле наклона лыж к горизонту
Рис.14. Допустимая зона изменения предельной и начальной скоростей при фиксированном угле наклона лыж к горизонту .
Приведенные выше результаты были получены в предположении об отсутствии ветра. При учете ветра оказалось, что уже при скоростях порядка 1 м/с при встречном ветре лыжник имеет большой шанс недолететь до участка приземления, а при попутном - перелететь через него. Очевидно поэтому соревнования по прыжкам с трамплина при ветре не проводятся.
6. Заключение
Построена математическая модель прыжка с трамплина, учитывающая все основные факторы, влияющие на полет лыжника, включая ветер вблизи трамплинной горы и зависимость аэродинамических коэффициентов от угла атаки.
Определена область изменения параметров прыжка, обеспечивающая безопасное приземление.
Решена задача обтекания трамплинной горы потоком воздуха. Составленная модель отображает основные физические закономерности рассматриваемого явления как то возникновение ветра под действием перепада давлений, увеличение скорости ветра под действием высотных ветров, поворот воздушного потока вспять при задании отрицательных скоростей на границах рассматриваемой области или отрицательного перепада давлений и т.д.
В дальнейшем планируется:
Исследовать влияние стартового толчка на результаты прыжка;
Провести более точный анализ аэродинамических коэффициентов, основанный на математической модели обтекания системы прыгун-лыжи потоком воздуха;
Поставить задачу оптимизации параметров прыжка и решить с применением прнципа максимума Понтрягина аналогично работам [2,3], но с учетом ограничения на скорость приземления;
Решить нестационарную задачу обтекания горы потоком воздуха: если даже небольшой постоянный ветер приводит к сносу в десятки метров, может, допустимыми окажутся небольшие порывы ветра.
Список литературы
1. Грозин Е.А. Прыжки с трамлина. - М.: Физкультура и спорт, 1971.
2. Ремизов Л. П. Максимальная дальность прыжка с трамплина. // Теория и практика физической культуры. 1973, т. 3, с.73-75.
3. Remizov L. P. Biomechanics of optimal ski jump. // J.Biomechanics. 1984, vol.17, №3, pp.167-171.
4. Багин Н.А.,.Волошин Ю.И, Евтеев В.П.. К теории полета лыжника при прыжках с трамплина. // Теория и практика физической культуры. 1997, №2, с.9-11.
5. Komi, P. V., Nelson, R. S. and Pulli, M. Biomechanics of Ski-Jumping. - Jivaskyla, 1974.
6. Петров В.А., Гагин Ю.А. Механика спортивных движений. - М.: Физкультура и спорт, 1977.
7. Флетчер К. Вычислительные методы в динамике жидкостей: в двух томах. - М.: Мир, 1991.
8. Тарунин Е.Л. Двухполевой метод решения задач гидродинамики вязкой жидкости. - Пермь: Изд-во ПГУ, 1985.
9.HЬTTE. Справочник для инженеров, техников и студентов. Том первый. М.-Л.: Главная редакция литературы по машиностроению и металлообработке, 1936.
Нравится материал? Поддержи автора!
Ещё документы из категории математика:
Чтобы скачать документ, порекомендуйте, пожалуйста, его своим друзьям в любой соц. сети.
После чего кнопка «СКАЧАТЬ» станет доступной!
Кнопочки находятся чуть ниже. Спасибо!
Кнопки:
Скачать документ