Некоторые главы мат. анализа











































































































































































































































































































































































































Некоторые главы мат анализа
ГЛАВА 1 РЯДЫ И ИНТЕГРАЛ ФУРЬЕ
Основные сведения
Функция f(x), определенная на всей числовой оси называется периодической, если существует такое число , что при любом значении х выполняется равенство . Число Т называется периодом функции.
Отметим некоторые с в о й с т в а этой функции:
1) Сумма, разность, произведение и частное периодических функций периода Т есть периодическая функция периода Т.
2) Если функция f(x) период Т , то функция f(ax) имеет период .
3) Если f(x) - периодическая функция периода Т , то равны любые два интеграла от этой функции, взятые по промежуткам длины Т (при этом интеграл существует), т. е. при любых a и b справедливо равенство .
Тригонометрический ряд. Ряд Фурье
Если f(x) разлагается на отрезке в равномерно сходящийся тригонометрический ряд:
(1)
,то это разложение единственное и коэффициенты определяются по формулам:
, где n=1,2, . . .
Тригонометрический ряд (1) рассмотренного вида с коэффициентами называется тригонометрическим рядом Фурье, а коэффициентами ряда Фурье.
Достаточные признаки разложимости функции в ряд Фурье
Точка разрыва функции называют точкой разрыва первого рода, если существует конечные пределы справа и слева этой функции в данной точке.
ТЕОРЕМА 1 (Дирихле). Если периодическая с периодом функция непрерывна или имеет конечное число точек разрыва 1-ого рода на отрезке [] и этот отрезок можно разбить на конечное число частей, в каждом из которых f(x) монотонна, то ряд Фурье относительно функции сходится к f(x) в точках непрерывности и к среднеарифметическому односторонних пределов в точках разрыва рода (Функция удовлетворяющая этим условиям называется кусочно-монотонной).
ТЕОРЕМА 2. Если f(x) периодическая функция с периодом , которая на отрезке [] вместе со своей производной непрерывна или имеет конечное число точек разрыва первого рода, то ряд Фурье функции f(x) в точках разрыва к среднему арифметическому односторонних пределов (Функция удовлетворяющая этой теореме называется кусочно-гладкой).
Ряды Фурье для четных и нечетных функций
Пусть f(x) - четная функция с периодом 2L , удовлетворяющая условию f(-x) = f(x) .
Тогда для коэффициентов ее ряда Фурье находим формулы:
=
=
= 0 , где n=1,2, . . .
Таким образом, в ряде Фурье для четной функции отсутствуют члены с синусами, и ряд Фурье для четной функции с периодом 2L выглядит так:
Пусть теперь f(x) - нечетная функция с периодом 2L, удовлетворяющая условию f(-x) = - f(x).
Тогда для коэффициентов ее ряда Фурье находим формулы:
, где n=1,2, . . .
Таким образом, в ряде Фурье для нечетной функции отсутствует свободный член и члены с косинусами, и ряд Фурье для нечетной функции с периодом 2L выглядит так:
Если функция f(x) разлагается в тригонометрический ряд Фурье на промежутке то
, где ,
,
,
Если f(x) разлагается в тригонометрический ряд Фурье на [0,L], то доопределив заданную функцию f(x) соответствующим образом на [-L,0]; далее периодически продолжив на (T=2L), получим новую функцию, которую разлагаем в тригонометрический ряд Фурье.
Для разложения в ряд Фурье непериодической функции, заданной на конечном произвольном промежутке [a,b], надо : доопределить на [b,a+2L] и периодически продолжить, либо доопределить на [b-2L,a] и периодически продолжить.
Ряд Фурье по любой ортогональной системе функций
Последовательность функций непрерывных на отрезке [a,b], называется ортогональной системой функции на отрезке [a,b], если все функции последовательности попарно ортогональны на этом отрезке, т. е. если
Система называется ортогональной и нормированной (ортонормированной) на отрезке [a,b],
если выполняется условие
Пусть теперь f(x) - любая функция непрерывная на отрезке [a,b]. Рядом Фурье такой функции f(x) на отрезке [a,b] по ортогональной системе называется ряд:
коэффициенты которого определяются равенством:
n=1,2,...
Если ортогональная система функций на отрезке [a,b] ортонормированная, то в этом случаи
где n=1,2,...
Пусть теперь f(x) - любая функция, непрерывная или имеющая конечное число точек разрыва первого рода на отрезке [a,b]. Рядом Фурье такой функции f(x) на томже отрезке
по ортогональной системе называется ряд:
,
Если ряд Фурье функции f(x) по системе (1) сходится к функции f(x) в каждой ее точке непрерывности, принадлежащей отрезку [a,b]. В этом случае говорят что f(x) на отрезке [a,b] разлагается в ряд по ортогональной системе (1).
Комплексная форма ряда Фурье
Выражение называется комплексной формой ряда Фурье функции f(x), если определяется равенством
, где
Переход от ряда Фурье в комплексной форме к ряду в действительной форме и обратно осуществляется с помощью формул:
(n=1,2, . . .)
Задача о колебании струны
Пусть в состоянии равновесия натянута струна длинной l с концами x=0 и x=l. Предположим, что струна выведена из состояния равновесия и совершает свободные колебания. Будем рассматривать малые колебания струны, происходящие в вертикальной плоскости.
При сделанных выше допущениях можно показать, что функция u(x,t) , характеризующая положение струны в каждый момент времени t, удовлетворяет уравнению
(1) , где а - положительное число.
Наша з а д а ч а - найти функцию u(x,t) , график которой дает форму струны в любой момент времени t, т. е. найти решение уравнения (1) при граничных:
(2)
и начальных условиях:
(3)
Сначала будем искать решения уравнения (1), удовлетворяющие граничным условиям(2). Нетрудно увидеть, что u(x,t)0 является решением уравнения (1), удовлетворяющие граничным условиям(2). Будем искать решения, не равные тождественно 0, представимые в виде произведения u(x,t)=X(x)T(t), (4) , где , .
Подстановка выражения (4) в уравнение (1) дает:
Из которого наша задача сводится к отысканию решений уравнений:
Используя это условие X(0)=0, X(l)=0, докажем, что отрицательное число, разобрав все случаи.
a) Пусть Тогда X”=0 и его общее решение запишется так:
откуда и ,что невозможно , так как мы рассматриваем решения, не обращающиеся тождественно в нуль.
б) Пусть . Тогда решив уравнение
получим , и, подчинив, найдем, что
в) Если то
Уравнения имеют корни :
получим:
где -произвольные постоянные. Из начального условия найдем:
откуда , т. е.
(n=1,2,...)
(n=1,2,...).
Учитывая это, можно записать:
(n=1,2,...).
и, следовательно
, (n=1,2,...),
но так как A и B разные для различных значений n то имеем
, (n=1,2,...),
где и произвольные постоянные, которые попытаемся определить таким образом, чтобы ряд удовлетворял уравнению (1), граничным условиям (2) и начальным условиям (3).
Итак, подчиним функцию u(x,t) начальным условиям, т. е. подберем и так , чтобы выполнялись условия
Эти равенства являются соответственно разложениями функций и на отрезки [0, l] в ряд Фурье по синусам. ( Это значит что коэффициенты будут вычисляться как для нечетной функций). Таким образом, решение о колебании струны с заданным граничными и начальными условиями дается формулой
где
(n=1,2,...)
Интеграл Фурье
Достаточные условия представимости функции в интеграл Фурье.
Для того, чтобы f(x) была представлена интегралом Фурье во всех точках непрерывности и правильных точках разрыва, достаточно:
1) абсолютной интегрируемости на
(т.е. интеграл сходится)
2) на любом конечном отрезке [-L, L] функция была бы кусочно-гладкой
3) в точках разрыва функции, ее интеграл Фурье определяется полусуммой левого и правого пределов в этих точках, а в точках непрерывности к самой функции f(x)
Интегралом Фурье функции f(x) называется интеграл вида:
, где ,
.
Интеграл Фурье для четной и нечетной функции
Пусть f(x)-четная функция, удовлетворяющая условиям представимости интегралом Фурье.
Учитывая, что , а также свойство интегралов по симметричному относительно точки x=0 интервалу от четных функций, из равенства (2) получаем:
(3)
Таким образом, интеграл Фурье четной функции f(x) запишется так:
,
где a(u) определяется равенством (3).
Рассуждая аналогично, получим, для нечетной функции f(x) :
(4)
и, следовательно, интеграл Фурье нечетной функции имеет вид:
,
где b(u) определяется равенством (4).
Комплексная форма интеграла Фурье
, (5)
где
.
Выражение в форме (5) является комплексной формой интеграла Фурье для функции f(x).
Если в формуле (5) заменить c(u) его выражением, то получим:
, где правая часть формулы называется двойным интегралом
Фуpье в комплексной форме. Переход от интеграла Фурье в комплексной форме к интегралу
в действительной форме и обратно осуществим с помощью формул:
Формулы дискретного преобразования Фурье
Обратное преобразование Фурье.
где n=1,2,... , k=1,2,...
Дискретным преобразованием Фурье - называется N-мерный вектор
при этом, .
Разложение четной функции в ряд
Данную выше функцию сделаем четной(см. теорию), и рассмотрим ее на промежутке от 0 до смотри рис.2
Рис.2
поэтому разложение по косинусу имеет вид:
Из разложения видим что при n=2 дробь теряет смысл поэтому отдельно рассмотрим разложения первого и второго коэффициента суммы:
На основе данного разложения запишем функцию в виде ряда:
и вообще
.
Найдем первые пять гармоник для найденного ряда:
1-ая гармоника
2-ая гармоника
3-я гармоника
4-ая гармоника
5-ая гармоника
А теперь рассмотрим сумму этих гармоник F(x):
Комплексная форма ряда по косинусам
Для рассматриваемого ряда получаем коэффициенты (см. гл.1)
,
но при не существует, поэтому рассмотрим случай когда n=+2 :
(т.к. см. разложение выше)
и случай когда n=-2:
( т.к. )
И вообще комплексная форма:
или
или
Разложение нечетной функции в ряд
Аналогичным образом поступаем с данной функцией F(x), продлевая ее как нечетную, и рассматриваем на промежутке от 0 до смотри рис.3
Рис.3
поэтому разложение по синусам имеет вид:
Из данного разложения видно, что при n=2 произведение неопределенно (можно не учесть часть суммы), поэтому рассмотрим два отдельных случая.
При n=1:
,
и при n=2:
Учитывая данные коэффициенты имеем разложения в виде
и вообще
Найдем первые пять гармоник для данного разложения:
1-ая гармоника
2-ая гармоника
3-ая гармоника
4-ая гармоника
5-ая гармоника
И просуммировав выше перечисленные гармоники получим график функции F(x)
Вывод:
На основании главы 2, разложение функции в тригонометрический ряд(рис.1), разложение в ряд по косинусам(рис.2), разложение по синусам(рис.3), можно заключить, что данная функция разложима в тригонометрический ряд и это разложение единственное. И проанализировав суммы первых пяти гармоник по каждому разложению можно сказать, что наиболее быстрее к заданному графику достигается при разложении по синусам.
Комплексная форма ряда по синусам
Основываясь на теорию (см. гл.1) для ряда получаем:
, (т.к. )
тогда комплексный ряд имеет вид:
ГЛАВА 3 ПРЕДСТАВЛЕНИЕ ФУНКЦИИ ИНТЕГРАЛОМ ФУРЬЕ
Проверка условий представимости
Данную ранее функцию (см. гл. 2) доопределим на всей прямой от до как равную нулю(рис.4).
Рис.4
а) f(x)-определенна на R;
б) f(x) возрастает на , f(x) убывает на - кусочнo-монотонна.
f(x) = const на и .
< .
Интеграл Фурье
В соответствии с теорией (см. гл. 1) найдем a(u) и b(u):
;
.
И в конечном варианте интеграл Фурье будет выглядеть так:
Интеграл Фурье в комплексной форме
Теперь представим интеграл Фурье в комплексной форме. На основе выше полученных разложений имеем:
,
,
а теперь получим интеграл в комплексной форме:
.
ГЛАВА 4 ПРЕДСТАВЛЕНИЕ ФУНКЦИИ ПОЛИНОМОМ ЛЕЖАНДРА
Основные сведения
Функцию можно разложить в ортонормированной системе пространства X=[-1,1] , причем полиномы получим, если проинтегрируем выражение:
Соответственно получим для n=0,1,2,3,4,5, ... :
. . . . . . . . . .
Для представления функции полиномом Лежандра необходимо разложить ее в ряд:
,
где и разлагаемая функция должна быть представлена на отрезке от -1 до 1.
Преобразование функции
Наша первоначальная функция имеет вид (см. рис. 1):
т. к. она расположена на промежутке от 0 до необходимо произвести замену, которая поместит функцию на промежуток от -1 до 1.
Замена:
и тогда F(t) примет вид
или
Вычисление коэффициентов ряда
Исходя из выше изложенной формулы для коэффициентов находим:
Далее вычисление коэффициентов осложнено, поэтому произведем вычисление на компьютере в системе MathCad и за одно проверим уже найденные:
Рассмотрим процесс стремления суммы полинома прибавляя поочередно - слагаемое:
А теперь рассмотрим график суммы пяти полиномов F(t) на промежутки от -1 до 0 (рис.5):
Рис. 5
т.к. очевидно, что на промежутке от 0 до 1 будет нуль.
Вывод:
На основе расчетов гл.2 и гл.4 можно заключить, что наиболее быстрое стремление из данных разложений к заданной функции достигается при разложении функции в ряд.
ГЛАВА 5 ДИСКРЕТНЫЕ ПРЕОБРАЗОВАНИЯ ФУРЬЕ
Прямое преобразование
Для того, чтобы произвести прямое преобразование, необходимо задать данную функцию (гл. 1, рис. 1) таблично. Поэтому разбиваем отрезок от 0 до на N=8 частей, так чтобы приращение:
В нашем случае , и значения функции в k-ых точках будет:
для нашего случая (т.к. a=0).
Составим табличную функцию:
k
0
1
2
3
4
5
6
7
0
0.785
1.571
2.356
3.142
3.927
4.712
5.498
0
0.707
1
0.707
0
0
0
0
Табл. 1
Прямым дискретным преобразованием Фурье вектора называется . Поэтому найдем :
, n=0,1,...,N-1
Сумму находим только до 3 слагаемого, т.к. очевидно, что от 4 до 7 к сумме суммируется 0 (т.к. значения функции из таблицы равны нулю).
Составим таблицу по прямому дискретному преобразованию:
зная, , где
, где
n
0
1
2
3
4
5
6
7
0
1
2
3
4
5
6
7
2,4
2
1
0
0.4
0
1
2
0.318
0.25
0.106
0
0.021
0
0.009
0
Табл. 2
Амплитудный спектр
Обратное преобразование
Обратимся к теории гл.1. Обратное преобразование- есть функция :
В нашем случаи это:
А теперь найдем модули и составим таблицу по обратным дискретным преобразованиям:
k
0
1
2
3
4
5
6
7
0
0.785
1.571
2.356
3.142
3.927
4.712
5.498
0
0.707
1
0.707
0
0
0
0
0
0.708
1
0.707
8e-4
5e-5
5e-4
3e-4
Табл. 3
Из приведенной таблицы видно, что приближенно равно .
Построим графики используя табл.3, где - это F(k), а - это f(k) рис. 6 :
Рис. 6
Вывод:
На основе проделанных расчетов можно заключить, что заданная функция представима в виде тригонометрического ряда Фурье, а также интеграла Фурье, полинома Лежандра и дискретных преобразований Фурье. О последнем можно сказать, что спектр (рис. 6) прямого и обратного преобразований совпадают с рассматриваемой функцией и расчеты проведены правильно.
Этап I
1 Постановка задачи
Дана основная (рис. 1.1а) и резервная (рис. 1.1б) схемы. Рассмотреть два способа повышение надежности основной схемы до уровня 0.95
а) б)
Рис. 1.1
Первый способ
- каждому элементу основной схемы подключаются параллельно по N резервных элементов имеющих надежность в два раза меньше, чем надежность элемента к которому подключают.
Второй способ
- подключить к основной схеме параллельно по N резервной схеме.
№ элемента
1
2
3
4
5
6
7
8
9
Надежность
0.6
0.6
0.6
0.3
0.7
0.4
0.3
0.5
0.1
Надеж.(резер.)
0.3
0.3
0.3
0.15
0.35
2 Теоретическая часть
Ввиду важности операций сложения и умножения над событиями дадим их определение:
Суммой двух событий А и В называется событие С, состоящее в выполнении события А или события В, или обоих событий вместе.
Суммой нескольких событий называется событие, состоящее в выполнении хотя бы одного из этих событий.
Произведением двух событий А и В называется событие D, состоящее в совместном выполнении события А и события В.
Произведением нескольких событий называется событие, состоящее в совместном выполнении всех этих событий.
А к с и о м ы т е о р и и в е р о я т н о с т е й :
1. Вероятность любого события находится в пределах:
.
2. Если А и В несовместные события , то
3. Если имеется счетное множество несовместных событий А1, А2, ... Аn, ... при , то
Следствие: сумма вероятностей полной группы несовместных событий равна единице, т.е. если
; при
то
.
Сумма вероятностей противоположных событий ровна единице:
Правило умножения вероятностей: вероятность произведения (пересечения, совмещения) двух событий равна вероятности одного из них, умноженной на условную вероятность второго при наличии первого
.
Для независимых событий правило умножения принимает вид:
, или
Основываясь на теорию выведем некоторые формулы для решения поставленной задачи.
Схема состоит из нескольких n блоков (рис. 2.1), каждый из которых (независимо от других) может выйти из строя. Надежность каждого блока равна p. Безотказная работа всех без исключения блоков необходима для безотказной работы в целом. Найти вероятность безотказной работы всей схемы.
Рис. 2.1
Событие A={безотказная работа прибора} есть произведение n независимых событий А1, А2, ... Аn, где Ai={безотказная работа i -го блока}. По правилу умножения для независимых событий имеем
.
Схема состоит из 2 блоков (рис. 2.2), каждый из которых (независимо от друг от друга) может выйти из строя. Надежность каждого блока равна p. Найти вероятность безотказной работы всей системы.
Рис. 2.2
От события В={система будет работать} перейдем к противоположному:={система не будет работать}. Для того чтобы система не работала, нужно, чтобы отказали оба блока. Событие есть произведение двух событий:
={блок 1 отказал}x{блок 2 отказал}.
По правилу умножения для независимых событий:
3 Практическая часть
Воспользовавшись выше изложенными формулами рассчитаем надежность основной схемы (рис. 1а), она составит :
, а также резервной схемы (рис. 1б) :
Рассмотрим первый способ подключения (смотри рис. 3.1), когда подключаем по N элементов до тех пор, пока
Рис. 3.1
Тогда формула вероятности для схемы на рис. 2 будет выглядеть так :
, где
,
,
,
,
.
Увеличивая N дополнительных элементов пошагово добиваемся значения :
Шаг первый, при N=1
< 0.95
Шаг второй, при N=2
< 0.95
Шаг третий, при N=3
< 0.95
Шаг четвертый, при N=4
< 0.95
Шаг пятый, при N=5
> 0.95
Из рассмотренных вычислений можно заключить, что для достижения заданной вероятности 0.95 необходимо пяти добавочных элементов.
Рассмотрим второй способ подключения к основной резервной схемы (рис. 3) и найдем число N подключений при котором достигается заданная вероятность .
Рис. 3.2
Формула по которой будет вычисляться вероятность схемы на рис. 3 выглядит так :
, где
, а - смотри выше.
Увеличивая N дополнительных резервных схем пошагово добиваемся значения :
При N=1 : < 0.95
При N=2 : < 0.95
При N=3 : < 0.95
При N=4 : < 0.95
При N=5 : < 0.95
При N=6 : > 0.95
Из рассмотренных вычислений можно заключить, что для достижения заданной вероятности 0.95 необходимо шесть резервных схем.
Этап II
1 Постановка задачи
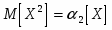
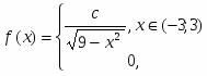
- найти неизвестную константу функции f(x);
- выписать функцию распределения, построить их графики;
- найти математическое ожидание и дисперсию;
- найти вероятность попадания в интервал (1;4).
2 Теоретическая часть
Под случайной величиной понимается величина, которая в результате измерения (опыта) со случайным исходом принимает то или иное значение.
Функция распределения случайной величины Х называется вероятность того, что она примет значение меньшее, чем заданное х:
.
Основные свойства функции распределения:
1) F(x) - неубывающая функция своего аргумента, при .
2) .
3) .
Плотностью распределения непрерывной случайной величины Х в точке х называется производная ее функции распределения в этой точке. Обозначим ее f(x) :
Выразим функцию распределения F(x) через плотность распределения f(x):
Основные свойства плотности распределения f(x):
1. Плотность распределения - неотрицательная функция .
2. Интеграл в бесконечных пределах от плотности распределения равен единицы:
.
Математическим ожиданием дискретной случайной величины называется сумма произведений всех возможных ее значений на вероятности этих значений.
Перейдем от дискретной случайной величины Х к непрерывной с плотностью f(x).
Дисперсия случайной величины есть математическое ожидание квадрата соответствующей центрированной величины:
Для непосредственного вычисления дисперсии непрерывной случайной величины служит формула:
3 Практическая часть
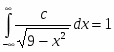
Для нахождения неизвестной константы c применим выше описанное свойство:
, откуда
, или
Найдем функцию распределения основываясь на теоретической части:
- на интервале
- на интервале
- на интервале
Теперь построим график функций f(x)- плотности распределения (рис. 2.1 - кривая распределения) и F(x)- функции распределения (рис. 2.2)
Рис. 2.1
Рис. 2.2
Следуя постановке задачи найдем математическое ожидание и дисперсию для случайной величины X :
Производя еще одну замену приходим к первоначальной формуле из чего можно сделать вывод, что математическое ожидание с.в. Х равно :
Также находим дисперсию :
И последнее, вероятность попадания в интервал (1;4) находим как :
Этап III
1 Постановка задачи
Дана случайная выборка объема n=100 :
104.6
95.2
82.0
107.7
116.8
80.0
100.8
124.6
99.4
101.4
100.6
86.3
88.2
103.8
98.5
111.8
83.4
94.7
113.6
74.7
114.3
86.9
106.6
94.9
105.9
88.6
96.6
93.7
90.8
96.5
110.2
100.0
95.6
102.9
91.1
103.6
94.8
112.8
100.1
95.3
113.9
113.9
86.1
110.3
88.4
97.7
70.1
100.5
90.9
94.5
109.1
82.2
101.9
86.7
97.4
102.1
87.2
94.71
112.4
94.9
111.8
99.0
101.6
97.2
96.5
102.7
98.6
100.0
86.2
89.4
85.0
86.6
122.7
101.8
118.3
106.1
91.3
98.4
90.4
95.1
93.1
110.4
100.4
86.5
105.4
96.9
101.9
83.8
107.3
107.5
113.7
102.8
88.7
112.5
79.4
79.1
98.1
103.8
107.2
102.3
2 Теоретическая часть
Под случайной выборкой объема n понимают совокупность случайных величин , не зависимых между собой. Случайная выборка есть математическая модель проводимых в одинаковых условиях независимых измерений.
Упорядоченной статистической совокупностью будем называть случайную выборку величины в которой расположены в порядке возрастания .
Размах выборки есть величина r=Xn-X1, где Xn - max , X1 - min элементы выборки.
Группированным статистическим рядом называется интервалы с соответствующими им частотами на которые разбивается упорядоченная выборка, причем ширина интервала находится как :
тогда частота попадания в отрезок находим по формуле :
, где Vi - число величин попавших в отрезок , причем . Поделив каждую частоту на получим высоту для построения гистограммы.
Построив гистограмму мы получили аналог кривой распределения по которой можем выдвинуть гипотезу о законе распределения. Выровнять статистическое распределение с помощью закона о котором выдвинули гипотезу, для этого нужно статист. среднее mx* и статистическую дисперсию Dx* .
Которые находим как
Естественной оценкой для мат. ожидания является среднее арифметическое значение :
.
Посмотрим, является ли эта оценка не смещенной , для этого найдем ее мате-матическое ожидание :
,
то есть оценка для m является несмещенной.
Найдем дисперсию этой оценки :
Эффективность или неэффективность оценки зависит от вида закона распределения случайной величины X .Если распределение нормально, то оценка для мат. ожидания m является и эффективной.
Перейдем к оценке для дисперсии D. На первый взгляд наиболее естественной представляется статистическая дисперсия D*, то есть среднее арифметическое квадратов отклонений значений Xi от среднего :
.
Проверим состоятельность этой оценки, выразив ее через среднее арифметическое квадратов наблюдений:
.
, где правая часть есть среднее арифметическое значений случайной величины X2 сходится по вероятности к ее мат. ожиданию: . Вторая часть сходится по вероятности к ; вся величина сходится по вероятности к . Значит, оценка состоятельна.
Проверим ее на несмещенность, подставив в вместо его выражение и произведем действия:
.
Так как D* не зависит от выбора начала координат то отцентрируем все случайные величины . Тогда
.
Найдем мат. ожидание величины D*:
.
Но ,, и получаем:
.
Отсюда видно, что величина D* не является несмещенной оценкой для дисперсии D; ее мат. ожидание не равно D, а несколько меньше. Пользуясь оценкой D* вместо D, будет проходить систематическая ошибка в меньшую сторону, чтобы ее ликвидировать введем поправку тогда мы получим несмещенную оценку для дисперсии:
При больших n поправочный коэффициент становится близким к единицы, и его применение теряет смысл. Поэтому в качестве приближенных значени (оценок) этих характеристик нужно взять:
,
.
3 Практическая часть
Упорядоченная выборка где n=100 количество замеров :
70.1
74.7
79.1
79.4
80.0
82.0
82.2
83.4
83.8
85.0
86.1
86.2
86.3
86.5
86.6
86.7
86.9
87.2
88.2
88.4
88.6
88.7
89.4
90.4
90.8
90.9
91.1
91.3
93.1
93.7
94.5
94.7
94.7
94.8
94.9
94.9
95.1
95.2
95.3
95.6
96.5
96.5
96.6
96.9
97.2
97.4
97.7
98.1
98.4
98.8
98.6
99.0
99.4
100.0
100.0
100.1
100.4
100.5
100.6
100.8
101.4
101.6
101.8
101.9
101.9
102.1
102.3
102.7
102.8
102.9
103.6
103.8
103.8
104.6
105.4
105.9
106.1
106.6
107.2
107.3
107.5
107.7
109.1
110.2
110.3
110.4
111.8
111.8
112.4
112.5
112.8
113.0
113.6
113.9
113.9
114.3
116.8
118.3
122.7
124.6
Размах выборки r=Xn-X1=124.6-70.1= 54.5
На основе выше изложенной теории для исследования статистики составляем табл. 3.1.
Табл. 3.1
Интервалы
Число попаданий в интервал
Частота попаданий в интервал
Высоты интервалов для гистограммы
70.10 - 75.55
75.55 - 81.00
81.00 - 86.45
86.45 - 91.90
91.90 - 97.35
97.35 - 102.80
102.80 - 108.25
108.25 - 113.70
113.70 - 119.15
119.15 - 124.60
2
3
8
15
17
23.5
13.5
11
5
2
0.020
0.030
0.080
0.150
0.170
0.235
0.135
0.110
0.050
0.020
0.0036697
0.0055045
0.0146788
0.0275229
0.0311926
0.0431192
0.0247706
0.0201834
0.0091743
0.0036697
Сумма 1.000
По построенной гистограмме (рис. 3.1) можно предположить, что данное распределение подчиняется нормальному закону. Для подтверждения выдвинутой гипотезы проведем оценку неизвестных параметров, для мат. ожидания
,
для оценки дисперсии
.
Полагая в выражении нормальной плотности
, где
и пользуясь, либо приложением 4 в учебнике Вентцель Е.С., Овчаров Л.А.” Прикладные задачи теории вероятностей.” - М.: Радио и связь, 1983, либо как в нашем случае воспользоваться системой MathCad , получим значения на границах разрядов табл. 3.2 :
Табл. 3.2
-
x
f(x)
70.10
75.55
81.00
86.45
91.90
97.35
102.80
108.25
113.70
119.15
124.60
0.0010445
0.0036354
0.0097032
0.0198601
0.0311717
0.0375190
0.0346300
0.0245113
0.0133043
0.0055377
0.0017676
и построим выравнивающую ее нормальную кривую рис. 3.1
Рассчитаем вероятность (табл. 3.3) попадания с. в. Х в k-й интервал по формуле
Табл. 3.3
-
70.10 - 75.55
75.55 - 81.00
81.00 - 86.45
86.45 - 91.90
91.90 - 97.35
97.35 - 102.80
102.80 - 108.25
108.25 - 113.70
113.70 - 119.15
119.15 - 124.60
0.0115694
0.0344280
0.0790016
0.1398089
0.1908301
0.2009057
0.1631453
0.1021833
0.0493603
0.0183874
Для проверки правдоподобия гипотезы воспользуемся критерием согласия для этого возьмем данные из табл. 3.1 и 3.3 и подставим в формулу :
Рис. 3.1
Определяем число степеней свободы (10-1-l)=7, где l - число независимых условий (количество параметров подлежащих оценки в нашем случаи их l=2, это mx, Dx - для нормального распределения). По приложению 3 в учебнике Вентцель Е.С., Овчаров Л.А. ”Теория вероятностей и ее инженерные приложения.” - М.: Наука, 1988 находим при r=7, p=0.95 =2.17 для уровня значимости и видим, что , но даже меньше.
Это свидетельствует о том, что выдвинутая нами гипотеза о нормальности распределения не противоречит опытным данным.
Нравится материал? Поддержи автора!
Ещё документы из категории математика:
Чтобы скачать документ, порекомендуйте, пожалуйста, его своим друзьям в любой соц. сети.
После чего кнопка «СКАЧАТЬ» станет доступной!
Кнопочки находятся чуть ниже. Спасибо!
Кнопки:
Скачать документ