О некоторых применениях алгебры матриц

































































































































































































МИНИСТЕРСТВО ОБЩЕГО И ПРОФЕССИОНАЛЬНОГО ОБРАЗОВАНИЯ РОССИЙСКОЙ ФЕДЕРАЦИИ
КАБАРДИНО-БАЛКАРСКИЙ ГОСУДАРСТВЕННЫЙ УНИВЕРСИТЕТ им. Х.М. Бербекова
Математический факультет
Кафедра геометрии и высшей алгебры
Лакунова Залина
Дипломная работа
«О некоторых применениях алгебры матриц»
Научный руководитель:
д.ф.-м.н.,проф.каф. Г и В А /В.Н.Шокуев /
Рецензент:
к.ф.-м.н.,доцент /В.М.Казиев/
Допущена к защите 2002г.
Заведующий кафедрой
к.ф.-м.н.,доцент /А.Х.Журтов/
Нальчик 2002
Оглавление
стр.
Введение 3
§1. О правиле Крамера 4
§2. Применение циркулянтов малых порядков в теории чисел 9
§3. Матричный вывод формулы Кардано 17
Литература 21
Отзыв
О дипломной работе «О некоторых применениях алгебры матриц».
Студентки 6 курса МФ специальности «математика» Лакуновой З.
В данной дипломной работе рассматривается новые применения матриц в теории систем линейных уравнений, теории чисел и теории алгебраических уравнений малых степеней.
В §1 дается новый (матричный) вывод правила Крамера для решения любых квадратных систем линейных уравнений с неравным нулю определителем.
В §2 получено тождество (1) , которое используется для доказательства некоторых теоретико-числовых фактов (предложения 1-4); при этом основную роль играют матрицы- циркулянты и их определители. Здесь попутно доказана теорема о среднем арифметическом и среднем геометрическом трех положительных чисел.
В §3 дается новый вывод правила Кардано для решения кубических уравнений; его можно назвать «матричным выводом» , поскольку он опирается на свойства циркулянта (третьего порядка).
Считаю, что результаты получения в дипломной работе студентки Лакуновой З. удовлетворяют требованиям, предъявляемым к дипломным работам, и могут быть допущены к защите.
Предварительная оценка – «хорошо»
д.ф.-м.н., проф.каф. Г и ВА /В.Н.Шокуев/
§1. О правиле Крамера
В литературе известны разные способы решения Крамеровой системы линейных алгебраических уравнений. Один из них – матричный способ – состоит в следующем.
Пусть дана Крамерова система, т.е. квадратная система линейных уравнений с неизвестными
(1)
Определитель которой отличен от нуля:
(2)
Систему (1) можно представить в виде одного матричного уравнения
(3)
где - матрица коэффициентов при неизвестных системы (1),
(4)
- столбец (Матрица-столбец) неизвестных
- столбец свободных членов системы (1)
Так как , то матрица невырожденная и для нее существует обратная матрица . Умножив равенство (3) на (слева), получим (единственное) решение системы в следующей матричной форме (в предположении, что она совместима и - ее решение)
,
где обратная матрица имеет вид:
(-алгебраическое дополнение элемента в определителе )
Другой известный способ можно назвать методом алгебраических дополнений. Его использование предполагает владение понятием алгебраического дополнения как и в матричном способе, теоремой о разложении определителя по столбцу (строке), теоремами о замещении и об аннулировании.
Предлагаемый нами новый метод опирается на теорему Коши-Бине об определителе произведения матриц.
Суть этого метода можно понять легко, если сначала рассмотрим случай . Очевидно, что при выполняются следующие матричные равенства (если задана система (1)):
Переходя к определителям в этих равенствах и обозначив определители правых частей соответственно через получим формулы Крамера:
()
(Правило Крамера)
Переход к общему случаю Крамеровых систем (1) порядка ничего по существу не меняет. Просто следует заметить, что матрица с определителем получается из единичной матрицы заменой -го столбца столбцом неизвестных:
(5)
Теперь из равенств
,
где - матрица, получающаяся заменой - го столбца матрицы столбцом свободных членов системы (1), причем к формулам Крамера, взяв определители от обеих частей в каждом равенстве:
, откуда ввиду имеем
.
(здесь получается из , как и из ).
Другой, еще более короткий способ отыскания решения системы (1) состоит в следующем (по-прежнему ): пусть система (1) совместна и числа (после переобозначений) образуют ее решение. Тогда при имеем, используя два линейных свойства определителя:
Можно начать и с определителя , в котором вместо свободных членов в -м столбце подставлены их выражения согласно (1); используя соответствующие свойства определителя, получим:
(),
откуда и получаются формулы Крамера.
Замечание. Проверка того, что значения неизвестных, определяемые по формуле Крамера удовлетворяют системе (1), (т.е. образуют решение системы), производится одним из известных способов.
§2. Применение циркулянтов малых порядков в теории чисел.
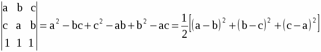
Матрица вида:
- называется циклической матрицей или циркулянтом (третьего порядка), а ее определитель – циклическим определителем. Циклическим определителем некоторые авторы называют также циркулянтом.
Пусть дан циклический определитель (Циркулянт)
.
Прибавив первые две строки к третьей, получим:
.
Вынесем общий множитель из последней строки:
.
Так как
,
то
.
С другой стороны, по определению детерминанта имеем:
Следовательно, выполняется тождество
(1)
Имеет место следующее предложение.
Предложение 1. Уравнение
(2)
не имеет решений в натуральных числах
Доказательство: Если - вещественные положительные числа, не все равные между собой, то
(3)
Пусть - не все равные между собой положительные числа. Тогда существуют положительные числа и , не все равные между собой, такие, что . К этим числам применим тождество (1). Так как не все числа между собой равны, то последний сомножитель правой части тождества (1) есть число положительное и, следовательно,
,
. (4)
Так как , то неравенство (4) дает неравенство (3). (Неравенство (3) можно переписать в виде ; получим известный факт о том, что среднее арифметическое трех положительных, не равных между собой чисел больше их среднего геометрического).
Пусть и - натуральные числа, удовлетворяющие уравнению (2). Представляются две возможности: либо числа все равны между собой, либо не все эти числа равны друг другу.
В первом случае все они должны быть равны 1, так как она положительные и , и мы имели бы:
- противоречие.
Значит, не все три числа равны между собой; поэтому в силу неравенства (3) имеем
,
откуда
.
Таким образом, доказано что уравнение
не имеет решений в натуральных числах .
Предложение 2. Уравнение
разрешимо в натуральных числах .
Доказательство: удовлетворяют нашему уравнению. Если не все три числа между собой равны, то как мы видели в ходе доказательства Предложения (1), выполняется неравенство
- противоречие. Таким образом, должно быть , и из нашего уравнения следует, что каждое из этих чисел равно 1, так что .
Поэтому получаем
.
Итак, мы доказали, что заданное уравнение имеет бесконечно много решений в натуральных числах .
Предложение 3. Произведение двух чисел, каждое из которых является суммой двух квадратов, представимо в виде суммы двух квадратов.
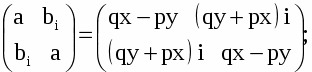
Доказательство: Рассмотрим следующее произведение двух циклических матриц (второго порядка)
где - мнимая единица. Переходя к определителям, получим равенство
. (5)
Предложение 4. Если число представляемое в виде суммы двух квадратов, делится на простое число, являющееся суммой двух квадратов, то частное также является суммой двух квадратов.
Доказательство: Пусть число делится на простое число вида :
.
Требуется доказать, что частное имеет вид .
Предположим, что задача уже решена, т.е.
, (6)
и с помощью анализа попробуем найти искомые числа и . Гипотетическое равенство (6) подсказывает целесообразность рассмотрения матричных равенств.
и
перемножив правые части этих равенств, получим:
отсюда имеем:
(7)
(8)
. (9)
Так как - простое число и делит , то равенство (9) показывает, что или делится на .
Пусть . Тогда из тождества
,
верного в силу (5) следует, что на делится и число , а поскольку - простое, , так что в силу (7) - целое число. Таким образом, в рассматриваемом случае имеем:
и Предложение 4 доказано.
Если же , т.е. в силу (8) - целое, то, рассуждая как и выше, можем написать:
;
отсюда следует, что , т.е. - целое. В этом случае
.
§3. Матричный вывод формулы Кардано
В этом параграфе предлагается новый подход к выводу формулы Кардано для корней кубического произведения уравнения.
Пусть дано любое кубическое уравнение
. (1)
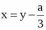
Если - его корень, то , поэтому
, т.е. есть корень уравнения, получающегося из (1) делением всех коэффициентов т правой части на , и обратно. Поэтому (1) эквивалентно уравнению.
. (2)
Таким образом, можно сказать, что решение любого кубического уравнения сводится к решению кубического уравнения со старшим коэффициентом, равным 1, т.е. уравнения вида
, (3)
которое получается из (2) после переобозначения коэффициентов; такое уравнение называется унитарным. Если к уравнению (3) применить подстановку
, (4)
получим:
, т.е.
, (5)
где и определяются по заданным коэффициентам уравнения (3). Уравнение (5) эквивалентно уравнению (3), поэтому достаточно научиться решать уравнения типа (5). В силу этого, обозначив через неизвестное, мы видим, что решение любого кубического уравнения вида
, (6)
называется приведенным или (неполным) кубическим уравнением. Покажем теперь, как можно найти все корни уравнения (6). Для этого заметим, что в силу тождества (1) §2, полученного с использованием циркулянта третьего порядка имеет место тождество
, (7)
где - любые числа, - один из корней третьей степени из единицы, так что (проверка тождества опирается на равенство ). Попробуем теперь отождествить наше уравнение (6) с уравнением
, (8)
т.е. положим
где и пока неизвестны. Чтобы вычислить их, имеем систему
которая показывает (в силу теоремы Виета), что и являются корнями квадратного уравнения
т.е.
и поэтому
(9)
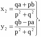
Таким образом, уравнение (6) эквивалентно уравнению (8), в котором и определяются по формулам (9). В свою очередь, уравнение (8) в силу (7) равносильно уравнению
и теперь получаем:
(10)
где и определяются по (9). При этом надо иметь ввиду, что кубические корни из (9) имеют по три значения и их необходимо комбинировать с учетом равенства ; если одна пара значений и выбрана указанным образом, то все три корня определяются по формулам (10). Сказанное можно представить и по другому; можно сказать, что значения неизвестного определяются из равенства
т.е.
(11)
причем остается в силе сказанное относительно комбинаций значений этих кубических радикалов.
Формула (11) и есть знаменитая формула Кардано.
ЛИТЕРАТУРА
Ф. Бахман, Э. Шмидт. n- угольник «Мир», М., 1973 г.
Э. Чезаро. Элементарный учебник алгебраического анализа и исчисления бесконечно малых ч. 1 М.Л., 1936 г.
В. Серпинский. 250 задач по элементарной теории чисел. М., 1968 г.
Р. Курант, Г. Роббинс Что такое математика ? «Просвещение», М., 1967 г.
А.Г. Курош. Курс высшей алгебры. М., Наука, 1976 г.
Эдвардс. Теорема Ферма. Генетическое введение в алгебраическую теорию чисел. «Мир», М., 1980 г.
Нравится материал? Поддержи автора!
Ещё документы из категории математика:
Чтобы скачать документ, порекомендуйте, пожалуйста, его своим друзьям в любой соц. сети.
После чего кнопка «СКАЧАТЬ» станет доступной!
Кнопочки находятся чуть ниже. Спасибо!
Кнопки:
Скачать документ