Определение интегралов



























































































































Задание. Найти неопределенные интегралы. Результат проверить дифференцированием.
а)
Используемый прием интегрирования называется подведением под знак дифференциала. Проверим результат дифференцированием.
б)
В этом интеграле также используется подведение под знак дифференциала
Проверим результат дифференцированием.
в)
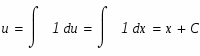
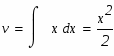
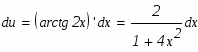
Для решения этого интеграла воспользуемся формулой интегрирования "по частям". Приведем формулу интегрирования по частям:
В этом интеграле распишем составляющие следующим образом:
Продифференцируем u и проинтегрируем dv чтобы мы могли применить формулу интегрирования по частям:
Подинтегральное выражение есть неправильная рациональная дробь. Необходимо привести ее к сумме правильных рациональных дробей, выполнив деление углом числитель на знаменатель.
Вернемся к исходному интегралу:
Проверим результат дифференцированием:
г)
интеграл дифференцирование уравнение парабола
Подинтегральное выражение является неправильной рациональной дробью. Необходимо преобразовать ее в сумму правильных рациональных дробей, выполнив деление углом числитель на знаменатель:
Подинтегральное выражение представляет собой правильную рациональную дробь. Чтобы проинтегрировать её необходимо её представить в виде суммы простейших дробей. Найдем корни знаменателя
по теореме Виета
Разложим правильную рациональную дробь в сумму простейших методом неопределенных коэффициентов:
Приравнивая коэффициенты при одинаковых степенях х, составим систему линейных алгебраических уравнений для определения неизвестных коэффициентов А и В:
Решая СЛАУ находим значения коэффициентов:
Возвратимся к исходному интегралу:
Результат проверим дифференцированием:
Задание. Вычислить по формуле Ньютона-Лейбница определенный интеграл.
Перейдем к замене переменных в определенном интеграле:
Задание. Вычислить площадь фигуры, ограниченной параболой и прямой . Сделать чертеж.
Решение. Площадь области S, ограниченной снизу функцией g(x), сверху- функцией f(x), слева - вертикальной прямой , справа - вертикальной прямой равна равна определенному интегралу:
Так как мы пока не знаем, какая же из функций является большей на отрезке , построим чертеж. Точки , являются абсциссами точек пересечения графиков этих двух функций.
Как видно из построения парабола лежит выше прямой на отрезке, поэтому:
Абсциссы точек пересечения суть соответственно -6 и -1. Эти значения мы также можем получить решив в системе уравнения двух кривых
по теореме Виета имеем: , . Теперь осталось только применить формулу вычисления площади криволинейной области:
-6 -1
Найти общее решение дифференциального уравнения и частное решение, удовлетворяющее начальному условию при
Решение: имеем линейное уравнение первого порядка. будем искать решение уравнения в виде произведения двух функций от х:
Запишем исходное выражение в виде:
Выберем функцию такой чтобы выражение в скобках равнялось нулю:
Разделяя переменные в этом дифференциальном уравнении относительно функции v, находим:
Так как выражение в скобках подобрано так, чтобы оно равнялось нулю, подставим найденное значение в уравнение для определения u.
Таким образом находим общее решение системы
Подберем переменную С так чтобы выполнились начальные условия , что будет являться частным решением дифференциального уравнения:
Полученное частное решение дифференциального уравнения, соответствующее поставленным начальным условиям.
Задание. Найти общее решение дифференциального уравнения и частное решение, удовлетворяющее начальным условиям , при . (,)
Решение: Пусть имеем неоднородное линейное уравнение второго порядка:
Структура общего решения такого уравнения определяется следующей теоремой:
Теорема: Общее решение неоднородного уравнения представляется как сумма какого-нибудь частного решения этого уравнения y* и общего уравнения y соответствующего однородного уравнения:
Чтобы найти общее решение соответствующего однородного уравнения (то есть такого, в котором правая часть равна нулю) необходимо найти корни характеристического уравнения и по ним определить вид решения.
Характеристическое уравнение в нашем случае есть:
имеет действительные и различные корни: , .
Общий интеграл есть:
Правая часть линейного уравнения второго порядка имеет вид: , где - многочлен 0-й степени, =2 (не является корнем характеристического многочлена).
поэтому частное решение следует искать в виде:
где - постоянный коэффициент, подлежащий определению. Подставляя y* в заданное уравнение, будем иметь:
Имеем решение . Итак, частное решение нашли в виде:
Таким образом, общий интеграл данного уравнения имеет вид:
Для определения коэффициентов С1 и С2 используем начальные условия:
При х=0 функция равна 2
При х=0 первая производная функции равна -1:
Составим систему из этих двух уравнений и решим её относительно неизвестных С1 и С2
Таким образом, частное решение данного дифференциального уравнения запишется в виде:
Нравится материал? Поддержи автора!
Ещё документы из категории математика:
Чтобы скачать документ, порекомендуйте, пожалуйста, его своим друзьям в любой соц. сети.
После чего кнопка «СКАЧАТЬ» станет доступной!
Кнопочки находятся чуть ниже. Спасибо!
Кнопки:
Скачать документ