Применение уравнение Лагранжа II рода к исследованию движения механической системы с двумя степенями свободы




































































































































































Министерство образования Республики Беларусь
Учреждение образования
«Гомельский государственный университет
им. Ф. Скорины»
Математический факультет
Кафедра дифференциальных уравнений
Курсовая работа
«Применение уравнение Лагранжа II рода к исследованию движения механической системы с двумя степенями свободы»
Гомель 2006
Содержание
Введение
1 Механическая система. Связи. Классификация связей
2 Возможные перемещения. Число степеней свободы
3 Обобщенные координаты и обобщенные скорости
4 Обобщенные силы
5 Уравнения Лагранжа второго рода
6 Уравнения Лагранжа второго рода для консервативной системы
7 Применение уравнений Лагранжа второго рода к исследованию механической системы
Заключение
Список использованной литературы
Введение
Уравнения Лагранжа дают единый и притом достаточно простой метод решения задач динамики. Важное преимущество этих уравнений состоит в том, что их вид и число не зависят ни от количества тел (или точек), входящих в рассматриваемую систему, ни от того, как эти тела движутся; определяется число уравнений Лагранжа только числом степеней свободы. Кроме того, при идеальных связях в правые части уравнений входят обобщённые активные силы, и, следовательно, эти уравнения позволяют заранее исключить из рассмотрения все наперёд неизвестные реакции связей.
Основная задача динамики в обобщённых координатах состоит в том, чтобы, зная обобщённые силы и начальные условия, найти закон движения системы, то есть определить обобщённые координаты как функции времени. Уравнения Лагранжа представляют собой обыкновенные дифференциальные уравнения второго порядка относительно обобщённых координат и составляются независимо от того, рассматривается ли абсолютное (по отношению к инерциальной системе отсчёта) или относительное движение механической системы. Из полученных уравнений, если заданы действующие силы и начальные условия, можно, интегрируя эти уравнения, найти закон движения системы. Если же задан закон движения, то составленные уравнения позволяют определить действующие силы.
1 Механическая система. Связи. Классификация связей
Систему материальных точек или тел, движение которой рассматривается, будем называть механической системой. Если между точками (телами) механической системы действуют силы взаимодействия, то она обладает тем свойством, что в ней положение или движение каждой точки (тела) зависит от положения и движения всех остальных. Классическим примером такой системы является солнечная система, в которой все тела связаны силами взаимного притяжения.
Определение 1 [1, с. 357]: Связями называются любого вида ограничения, которые налагаются на положения и скорости точек механической системы и выполняются независимо от того, какие на систему действуют заданные силы.
Рассмотрим, как классифицируются эти связи.
Связи, не изменяющиеся со временем, называются стационарными, а изменяющиеся со временем – нестационарными.
Связи, налагающие ограничения на положения (координаты) точек системы, называются геометрическими, а налагающие ограничения еще и на скорости (первые производные от координат по времени) точек системы – кинематическими или дифференциальными.
Если дифференциальную связь можно представить как геометрическую, т.е. устанавливаемую этой связью зависимость между скоростями свести к зависимости между координатами, то такая связь называется интегрируемой, а в противном случае – неинтегрируемой.
Геометрические и интегрируемые дифференциальные связи называются голономными связями, а неинтегрируемые дифференциальные связи – неголономными.
По виду связей механические системы тоже разделяют на голономные (с голономными связями) и неголономные (содержащие неголономные связи).
Наконец, различают связи удерживающие (налагаемые ими ограничения сохраняются при любом положении системы) и неудерживающие, которые этим свойством не обладают.
2 Возможные перемещения. Число степеней свободы
Определение 2 [1.с. 358]: Возможным перемещением механической системы называется любая совокупность элементарных перемещений точек этой системы из занимаемого в данный момент времени положения, которые допускаются всеми наложенными на систему связями.
Механическая система может иметь множество различных возможных перемещений. Однако для любой из систем можно указать некоторое число таких независимых между собой перемещений, что всякое другое возможное перемещение может быть через них выражено.
Определение 3 [1, с. 359]: Число независимых между собой возможных перемещений механической системы называются числом степеней свободы этой системы.
Следовательно, точка, находящаяся на плоскости, имеет две степени свободы; одновременно ее положение на плоскости определяется двумя независимыми координатами (координатами, каждая из которых может изменяться независимо от другой), например координатами х и у. Свободная материальная точка имеет три степени свободы (независимыми будут три возможных перемещения вдоль трех взаимно перпендикулярных осей); одновременно положение точки определяется тремя независимыми координатами х, у, z.
Этот результат оказывается общим, т.е. у механической системы с геометрическими связями число независимых координат, определяющих положение системы, совпадает с числом ее степеней свободы. Поэтому у такой системы число степеней свободы можно определять как по числу независимых возможных перемещений, так и по числу независимых координат.
3 Обобщенные координаты и обобщенные скорости
Число координат (параметров), определяющих положение механической системы, зависит от количества точек (тел), входящих в систему, и от числа и характера наложенных связей. Будем в дальнейшем рассматривать только системы с геометрическими связями (точнее только голономные системы). У такой системы число независимых координат, определяющих положение системы, совпадает с числом ее степеней свободы. В качестве этих координат можно выбирать параметры, имеющие любую размерность и любой геометрический (или физический) смысл, в частности отрезки прямых или дуг, углы, площади и т.д.
Определение 4 [1, с. 369]: Независимые между собой параметры любой размерности, число которых равно числу степеней свободы системы и которые однозначно определяют ее положение, называются обобщенными координатами системы. Будем обозначать обобщенные координаты буквой q. Тогда положение системы, имеющей s степеней свободы, будет определяться s обобщенными координатами
Определение 5 [1, с. 370]: Производные от обобщенных координат по времени называются обобщенными скоростями системы.
4 Обобщенные силы
Рассмотрим механическую систему из n механических точек ,,…,, находящуюся под действием системы сил ,,…,.
Предположим, что система имеет s степеней свободы, т.е. положение определяется s обобщенными координатами .
При наличии нестационарных связей радиус-вектор является функцией обобщенных координат и времени:
,) (i = 1,2,…, n).
Сообщим элементарное приращение только одной координате , оставляя неизменными все остальные обобщенные координаты.
Тогда радиус-вектор точки М получит приращение , обусловленное приращением этой координаты:
=.
Вычислим работу всех сил, действующих на механическую систему на перемещения точек , вызванных перемещением координаты :
= = ==
Разделив на элементарное приращение обобщенной координаты , получим величину , называемую обобщенной силой:
= (1)
Определение 6 [2, с. 320]: Обобщенной силой , соответствующей обобщенной координате , называется скалярная величина, определяемая отношением элементарной работы действующих сил на перемещение механической системы, вызванном элементарным приращением координаты , к величине этого приращения.
В случае сил, имеющих потенциал, обобщенная сила, соответствующая обобщенной координате , равна взятой со знаком минус частной производной от потенциальной энергии механической системы по этой координате.
= (j =1, 2, …, s).
5 Уравнения Лагранжа второго рода
Предположим, что механическая система из n материальных точек имеет s степеней свободы. В случае голономных нестационарных связей радиус-вектор любой точки М, этой системы является функцией обобщенных координат и времени t:
,). (2)
Обобщенные координаты системы являются функциями времени. Поэтому радиус-вектор является сложной функцией времени и вектор скорости точки , определяется по правилу дифференцирования сложной функции:
(3)
Из выражения (3) следует, что частная производная от по какой-либо обобщенной скорости равна коэффициенту при в правой части этого выражения, т.е. равна частной производной от по координате :
(4)
Кинетическая энергия механической системы, как известно, определяется по формуле:
(5)
Из выражения (3) следует, что вектор скорости точки в случае голономных нестационарных связей является функцией обобщенных координат, содержащихся в выражениях , обобщенных скоростей и времени. Поэтому кинетическая энергия механической системы является функцией тех же переменных:
(6)
Найдем частные производные от кинетической энергии по обобщенной координате и обобщенной скорости , дифференцируя выражение (5) как сложную функцию:
Преобразуем последнее выражение на основании равенства (4):
Продифференцируем это выражение по времени:
(7)
Рассмотрим две суммы, входящие в правую часть полученного равенства (7), учитывая, что для несвободной материальной точки
1. С помощью равенства (1), определяющего обобщенную силу, находим:
2. Для установления значения второй суммы рассмотрим выражение
Частная производная является функцией тех же переменных, от которых, согласно (2), зависит радиус-вектор точки . Дифференцируем как сложную функцию времени:
(8)
Найдем частную производную , дифференцируя по выражение (3):
(9)
Правые части выражений (8) и (9) отличаются только последовательностью дифференцирования, которая при непрерывных функциях не имеет значения; следовательно,
.
Пользуясь этой зависимостью, преобразуем вторую сумму в правой части равенства (7):
=
Подставляя найденные значения обеих сумм в равенство (7) и рассматриваем механическую систему со стационарными идеальными связями, для которых :
+,
или
=(j = 1,2,…, s). (10)
Систему s дифференциальных уравнений (10) называют уравнениями Лагранжа второго рода. Эти уравнения представляют собой дифференциальные уравнения второго порядка относительно обобщенных координат системы .Интегрируя эти дифференциальные уравнения и определяя по начальным условиям постоянные интегрирования, получаем s уравнений движения механической системы в обобщенных координатах:
(j=1, 2,…, s).
6 Уравнения второго рода для консервативной системы
Предположим, что на рассматриваемую механическую систему наряду с силами, имеющими потенциал (консервативными силами), действуют силы, не имеющие потенциала (неконсервативные силы). При этом условии обобщенную силу удобно представить в виде суммы обобщенной силы , соответствующей консервативным силам , и обобщенной силы , соответствующей неконсервативным силам :
=+.
Если на рассматриваемую систему действуют только консервативные силы, то обобщенная сила определяется формулой:
= = (j=1,2,…, s).
В этом случае уравнения Лагранжа второго рода принимают следующий вид:
= (j = 1,2,…, s). (11)
Уравнения (12) можно преобразовать путем введения функции Лагранжа L = Т – П, называемой кинетическим потенциалом.
П = П (t).
Следовательно, кинетический потенциал L является функцией обобщенных координат, обобщенных скоростей и времени:
Потенциальная энергия является функцией только обобщенных координат и времени, а потому
(j=1,2,…, s).
Пользуясь этим условием, получим
,
Подставим эти частные производные в уравнения Лагранжа (11):
или
(j=1,2,…, s). (12)
Уравнения (12) называются уравнениями Лагранжа второго рода для консервативной системы.
7 Применение уравнений Лагранжа II рода к исследованию движения механической системы
Массы тел механической системы m= 2m; m= 6m; m=m. Начальные условия:,,,.
Найти уравнения движения системы в обобщенных координатах ,.
Для решения задачи применим уравнения Лагранжа II рода:
(13)
Здесь T – кинематическая энергия; – потенциальная энергия; и– обобщенные силы, соответствующие неконсервативным силам.
Для данной системы (14)
Введем переменную
Выразим скорости центров масс твердых тел системы через обобщенные скорости:
Угловая скорость тела 4
Момент инерции тела 4
Кинематическая энергия тел 1 – 4:
Подставляя эти величины в (14), получим
+++=
Тогда
(15)
Потенциальную энергию системы находим как работу сил тяжести твердых тел 1 и 3 при их перемещении из данного положения, характеризуемого координатами x и , в некоторое исходное нулевое, например то, от которого ведется отсчет обобщенных координат:
Тогда
(16)
Обобщенные силы = 0 и =0 (т. к. на механическую систему не действуют силы ).
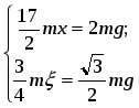
Подставляя (15) и (16) в (13), получаем дифференциальные уравнения движения системы:
(17)
Выражая x из (18), получаем
(18)
Интегрируя (19), получаем
(19)
(20)
Для определения постоянных и , используя начальные условия: при t=0 x=0; x=0.
Из (19) и (20) следует =0 и =0.
Тогда
(21)
Уравнение (21) является уравнением движения системы, описывающим изменение первой обобщенной координаты.
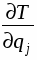
Чтобы получить второе уравнение движения, находим из (17)
(22)
Интегрируя (23), получаем
(23)
(24)
Для определения постоянных и , используя начальные условия: при t=0 =0;=0.
Из (24) и (25) следует =0 и =0.
Тогда
(25)
Уравнение (25) является уравнением движения системы, описывающим изменение второй обобщенной координаты.
Заключение
Итак, уравнения Лагранжа II рода применяются для исследования движения механической системы с двумя степенями свободы. Чтобы для данной механической системы составить уравнения Лагранжа, необходимо установить число степеней свободы системы и выбрать обобщённые координаты; изобразить систему в произвольном положении и показать все действующие силы; вычислить обобщённые силы; определить кинетическую энергию системы в её абсолютном движении и выразить её через обобщённые скорости; составить уравнения Лагранжа.
Уравнения Лагранжа дают единый метод решения задач динамики, они не зависят от числа и количества точек, входящих в рассматриваемую систему, от движения самой системы. Уравнения Лагранжа представляют собой обыкновенные дифференциальные уравнения второго порядка относительно обобщённых координат. Число уравнений Лагранжа определяется только числом степеней свободы системы.
Список использованной литературы
1. С.М. Тарг «Краткий курс теоретической механики» – М.: Высшая школа, 1986 г., 416.
2. А.А. Яблонский «Курс теоретической механики» – М.: Высшая школа, 1984 г., 436.
Нравится материал? Поддержи автора!
Ещё документы из категории математика:
Чтобы скачать документ, порекомендуйте, пожалуйста, его своим друзьям в любой соц. сети.
После чего кнопка «СКАЧАТЬ» станет доступной!
Кнопочки находятся чуть ниже. Спасибо!
Кнопки:
Скачать документ