Решение задач по высшей математике
Размещено на http://www.


























































































































































































































































































































































































































































































































КОНТРОЛЬНАЯ РАБОТА
Решение задач по высшей математике
Задача 1
Вычислить определители:
;
.
Решение
,
Задача 2
Вычислить определитель:
.
Решение
Используя теорему Лапласа, разложим определитель по элементам третьего столбца
.
Задача 3
Найти матрицу, обратную к матрице .
Решение
Находим определитель матрицы и все алгебраические дополнения :
;
;
;
;
;
;
;
;
;
.
Ответ: Обратная матрица имеет вид:
.
Задача 4
С помощью элементарных преобразований вычислить ранг матрицы
.
Решение
Прибавляя к последней строке учетверенную вторую строку и сокращая затем последнюю строку на , а после этого складывая последний столбец со вторым и третьим последовательно, получим
.
Знак ~ обозначает, что матрицы получены одна из другой с помощью элементарных преобразований и их ранги равны. Сокращая второй столбец на два и вычитая первый столбец со всех остальных столбцов, а затем вычитая последнюю строку из первой и меняя местами столбцы, получаем
.
Ответ: Ранг матрицы равен двум.
Задача 5
Решить следующую систему линейных алгебраических уравнений по правилу Крамера:
;
Решение
Вычислим главный определитель системы и вспомогательные определители , ,.
.
;
;
.
По формуле Крамера, получим
;
; .
Задача 6
Исследовать на совместность систему линейных алгебраических уравнений и, в случае положительного ответа, найти её решение.
Решение
Матрица и имеют вид
,
.
Их ранги равны . Система совместна. Выделим следующую подсистему
Считая и известными, решение подсистемы находим по формулам Крамера . Оно имеет вид
; ,
где , - могут принимать произвольные значения. Пусть , где Тогда ответом будет служить множество
Задача 7
Даны начало и конец вектора . Найти вектор и его длину.
Решение
Имеем , откуда или .
Далее , т.е. .
Задача 8
Даны вершины треугольника , и . Найти с точность до угол при вершине .
Решение
Задача сводится к нахождению угла между векторами и :
, ; . Тогда , .
Задача 9
Даны вершины треугольника , и . Вычислить площадь этого треугольника.
Решение
Так как площадь треугольника равна половине площади параллелограмма, построенного на векторах и как на сторонах, т.е. , то . Найдем векторы и :
;.
Вычислим их векторное произведение:
,
,
Откуда
. Следовательно, (кв. ед.).
Задача 10
Даны вершины треугольной пирамиды , , и . Найти ее объем.
Решение
Имеем , и . Найдем векторное произведение
,
.
Этот вектор скалярно умножим на вектор :
.
Это смешанное произведение можно найти непосредственно по приведенной формуле:
.
Следовательно, объем:
, (куб. ед.).
Задача 11
Составить уравнение прямой, проходящей через точки и .
Решение
За первую вершину примем (на результат это не влияет); следовательно,
,
,
,
.
Имеем
, , ,
Ответ: - общее уравнение искомой прямой.
Задача 12
Составить уравнение прямой, проходящей через точку , параллельно и перпендикулярно прямой .
Решение
Найдем угловой коэффициент данной прямой: . Согласно условиям параллельности и перпендикулярности двух прямых, угловой коэффициент параллельной прямой будет равен , а перпендикулярной прямой будет равен –4 /3. Составляем уравнения искомых прямых:
1) параллельной: , - общее уравнение прямой, параллельной данной;
2) перпендикулярной: , - общее уравнение прямой, перпендикулярной к данной.
Задача 13
Найти расстояние между двумя параллельными прямыми и .
Решение
Выберем на одной из данных прямых точку . Пусть . Для определения координат точки на прямой одну координату выберем произвольно, а вторую определим из уравнения. Возьмём ; тогда , и . По формуле расстояния от точки до прямой находим:
; .
Задача 14
Исследовать на абсолютную и условную сходимость
.
Решение
Проверим выполнение условий теоремы Лейбница
а)
б)
(при вычислении предела применялось правило Лопиталя). Условия выполняются, следовательно, ряд сходится. Исследуем ряд на абсолютную сходимость.
Имеем:
Тогда по признаку Даламбера:
, и ряд, составленный из абсолютных величин элементов исходного ряда, будет сходится. Следовательно, ряд сходится абсолютно.
а)
б) ,
следовательно ряд - сходится.
2) Пусть . Тогда . Применим признак сравнения, сравнивая его с расходящимся гармоническим рядом . Имеем
.
Таким образом, ряд - расходится.
Ответ
Область сходимости ряда есть интервал .
Задача 15
Вычислить предел .
Решение
Для вычисления этого предела непосредственно применить указанные теоремы нельзя, так как пределы функций, находящихся в числителе и знаменателе, не существуют. Здесь имеется неопределенность вида , для раскрытия которой в данном случае следует числитель и знаменатель дроби разделить на наибольшую степень переменной , т.е. на :
,
так как при .
Задача 16
Вычислить придел
Решение
Так как предел знаменателя равен нулю, то теорема 3 неприменима. Здесь имеется неопределенность вида . Для раскрытия этой неопределенности в числителе и знаменателе следует выделить бесконечно малый множитель, на который затем сократить дробь. Для этого воспользуемся формулой разложения квадратного трехчлена на множители
, где - его корни.
Тогда
.
Задача 17
Вычислить предел .
Решение
Умножив числитель и знаменатель на выражение, сопряженное к числителю, получим:
.
Задача 18
Вычислить предел .
Решение
Легко убедиться, что и при .
Поэтому
.
Задача 19
Вычислить предел
Решение
Для того, чтобы воспользоваться вторым замечательным пределом, в показателе степени выделим величину, обратную второму слагаемому основания и получим
.
Задача 20
Найти предел .
Решение
.
Задача 21
Продифференцировать функцию .
Решение
.
Задача 22
Вычислить при помощи дифференциала .
Решение
Пусть . Тогда . Обозначим: ; . Отсюда . Находим и .
.
Итак, .
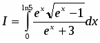
Задача 23
Найти .
Решение
Подстановка в заданную функцию значения приводит к неопределенности вида . Применив правило Лопиталя, получим:
.
Задача 24
Исследовать на экстремум функцию
.
Решение
1. Находим область определения функции:.
2. Находим производную функции: .
3. Находим критические точки, решая уравнение или . Критические точки , .
4. Область определения функции разбиваем критическими точками и на интервалы, в каждом из которых определяем знак , делаем вывод о характере монотонности функции на каждом из интервалов и отмечаем наличие экстремумов.
+
0
—
0
+
Возрастает
Max
убывает
Min
Возрастает
При переходе через критическую точку производная меняет знак с “+” на “-”. Значит, в этой точке функция имеет максимум:
.
Аналогично устанавливаем, что
.
Задача 25
Найти наибольшее и наименьшее значения функции
на отрезке .
Решение
1. Находим критические точки заданной функции:
;.
2. Убеждаемся в том, что точка принадлежит отрезку.
3. Вычисляем: ;.
4. Сравниваем числа ;и находим:
; .
Задача 26
Найти общее решение уравнения
.
Решение
Это неоднородное линейное дифференциальное уравнение первого порядка. Его решение ищем в виде , тогда . Подставляя и в исходное уравнение, получим
или . (1)
Задача 27
Исследовать функцию .
Решение
1. Функция определена и непрерывна на интервале . Поэтому точек разрыва и вертикальных асимптот у графика функции нет.
2. Функция нечетная, поскольку . Это значит, что график функции симметричен относительно начало координат.
3. Положив , получим , т.е. кривая проходит через начало координат.
4. Функция не периодична.
5. Находим первую производную . Производная для всех . Это значит, что функция возрастает на всей числовой оси. Поэтому экстремумов она не имеет.
6. Находим вторую производную и приравниваем её к нулю: . Точка будет критической точкой. Точкой разбиваем область определения функции на интервалы и , являющиеся интервалами знакопостоянства второй производной.
—
+
выпуклая
вогнутая
Поскольку при переходе через точку производная меняет знак, то точка будет точкой перегиба искомой кривой.
7. Выясним наличие наклонных асимптот:
;
;
; .
Следовательно, наклонными асимптотами будут прямые:
и .
Задача 28
Найти частные производные функции
.
Решение
;.
Задача 29
Найти производную функции в точке в направлении вектора .
Решение
;.
Задача 30
Даны функция и точки и . Вычислить:
точное значение функции в точке ;
приближенное значение функции в точке, исходя из её значения в точке , заменив приращение при переходе от точки к точке дифференциалом ;
относительную погрешность, возникающую при замене на .
Решение
По условию , , , . Поэтому , . Находим точное значение функции в точке :
.
Находим приближенное значение :
;
; .
Вычисляем относительную погрешность:
.
Задача 31
Найти экстремумы функции
.
Решение
Находим критические точки:
;
откуда и - точки, где частные производные равны нулю. Исследуем эти точки с помощью достаточных условий
;
;
;
;
. Поэтому экстремума в точке функция не имеет.
, . Поэтому функция в точке имеет минимум: .
Задача 32
Вычислить неопределенный интеграл
.
Решение
Возводим в квадрат числитель и почленно делим на знаменатель. Затем, применяя свойства, получаем первый интеграл таблицы:
.
Задача 33
Вычислить неопределенный интеграл
.
Решение
Принимая в подынтегральном выражении , , получим , . Поэтому
.
Проверка. .
Задача 34
Вычислить неопределенный интеграл
.
Решение
Сделав замену переменной
Получим
.
Задача 35
Вычислить .
Решение
Полагаем , ; тогда , .
Интегрируя по частям, находим
.
Задача 36
Вычислить
.
Решение
Положим . Подстановка значений и в уравнение дает и . Таким образом,
.
Задача 37
Найти .
Решение
По определению
.
Задача 40
Найти общее решение уравнения .
Решение
Так как
,
то данное уравнение есть однородное дифференциальное уравнение. Заменив в исходном уравнении , получим уравнение или .
Это уравнение с разделяющимися переменными. Разделив их, получим
,
.
Проинтегрировав последнее уравнение, найдем
или .
Подставив , общее решение исходного уравнения запишем в виде , а после преобразования .
Задача 38
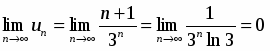
Найти область сходимости степенного ряда
.
Решение
Составим ряд из абсолютных величин
,
По признаку Даламбера имеем:
,
следовательно , , , и на интервале ряд сходится.
Проверим его сходимость на концах интервала:
1) Пусть . Тогда - знакочередующийся ряд. Для его анализа применим теорему Лейбница:
Задача 14
Вычислить с точностью до .
Решение
Разложив в ряд и поделив почленно на , получим:
.
Выбираем функцию такой, чтобы .
Тогда .
Интегрируем и находим или .
Подставив найденную функцию в (1), получим ещё одно уравнение
, , ; .
Следовательно, - общее решение заданного уравнения.
Задача 42
Найти общее решение дифференциального уравнения:
.
Решение
Составим характеристическое уравнение
. Так как и , то общим решением будет
.
Частное решение неоднородного уравнения подбирается в зависимости от вида функции .
Пусть , , представляет собой многочлен степени с действительными коэффициентами. Тогда частное решение следует искать в виде:
,
где - многочлен той же степени, что и многочлен , но с неизвестными коэффициентами, а - число корней характеристического уравнения, равных нулю.
Задача 43
Найти общее решение уравнения .
Решение
Ищем общее решение в виде , где - общее решение соответствующего однородного уравнения, - частное решение неоднородного уравнения. Так как - многочлен первой степени и один корень характеристического уравнения , то частное решение надо искать в виде
.
Подберем коэффициенты и так, чтобы решение удовлетворяло данному уравнению
,
,
.
Приравняв коэффициенты при одинаковых степенях левой и правой частей тождества, получим
Следовательно, , а - искомое общее решение.
Пусть . Тогда частное решение неоднородного уравнения , где - число корней характеристического уравнения, равных .
Задача 44
Найти общее решение уравнения .
Решение
Ищем решение в виде . Решим однородное уравнение . Корни характеристического уравнения равны и . Следовательно, . Частное решение ищем в виде (так как , ). Найдем , а . Подставляя , и в исходное уравнение, получим
,
, , .
Значит, - частное решение, а - общее решение.
Правая часть , где , , - заданные действительные числа. В этом случае частное решение ищется в виде
,
где: и - неизвестные коэффициенты;
- число корней характеристического уравнения, равных .
Задача 45
Найти общее решение уравнения .
Решение
Ищем общее решение в виде . Имеем:
, , , ,
значит, . Функция , поэтому не совпадает с корнями характеристического уравнения . Следовательно,
,
.
Подставив , и в данное уравнение, получим
.
Приравняв коэффициенты при и , найдем
Значит, - частное решение, а
- общее решение уравнения.
Задача 46
Исследовать сходимость ряда .
Решение
Найдем :
,
следовательно, исходя из необходимого признака, ряд расходится.
Задача 47
Исследовать сходимость ряда
Решение
Применим признак Даламбера:
,
,
,
следовательно, ряд сходится.
Задача 48
Исследовать на сходимость ряда
.
Решение
Сравним данный ряд с рядом :
.
матрица задача алгебраическая ряд уравнение
Следовательно, оба ряда ведут себя одинаково. Ряд расходится , следовательно, и данный ряд тоже расходится.
Размещено на http://www.
Нравится материал? Поддержи автора!
Ещё документы из категории математика:
Чтобы скачать документ, порекомендуйте, пожалуйста, его своим друзьям в любой соц. сети.
После чего кнопка «СКАЧАТЬ» станет доступной!
Кнопочки находятся чуть ниже. Спасибо!
Кнопки:
Скачать документ