Случайные вектора










































































































































































































































































































































































































































































































































































































































































































































































































































































































































































































































Случайные вектора
Оглавление
Функция распределения вероятностей двух случайных величин
В задачах со случайным исходом обычно приходится учитывать взаимодействие нескольких случайных величин. Это естественным образом приводит к понятию многомерных (векторных) случайных величин или совокупности нескольких случайных величин. Случайный вектор является третьим основным объектом изучения теории вероятностей (после случайного события и случайной величины). Целесообразно начать изучение случайных векторов с рассмотрения двухмерных векторов, свойства которых сравнительно простые и наглядные.
Совместной функцией распределения вероятностей (или двумерной функцией распределения вероятностей) случайных величин , (или случайного вектора ) называется функция
. (50.1)
Следует иметь в виду, что - вероятность события - пересечения двух событий: и . В записях вида (50.1) принято вместо символа использовать запятую.
50.1. Рассмотрим основные свойства функции , следующие из ее определения.
1). , где - функция распределения вероятностей случайной величины . Действительно, - достоверное событие, поэтому . Аналогично , где - функция распределения вероятностей случайной величины .
2). , поскольку события , - достоверные, следовательно их пересечение – достоверное событие и .
3). , поскольку событие - невозможное и . Аналогично .
4). - неубывающая функция аргумента , а также неубывающая функция аргумента .
5). непрерывна справа по каждому аргументу.
50.2. Рассмотрим геометрическую интерпретацию функции . Пусть случайные величины , являются компонентами случайного вектора . Тогда результат каждого опыта по измерению случайного вектора можно рассматривать как точку на плоскости, а функция определяет вероятность попадания точки в часть плоскости: , выделенной на рис. 50.1 штриховкой.
Рис. 50.1. Геометрическая интерпретация функции .
Представим вероятность - попадания случайного вектора в прямоугольник , , , , рис 50.2, через функцию . Несложно определить, что
Рис. 50.2. К вычислению вероятности попадания в прямоугольник.
(50.2)
Пусть , - малые величины и функция имеет первые производные по и , а также вторую смешанную производную, тогда из (50.2) следует:
. (50.3)
Отсюда:
. (50.4)
Совместная плотность распределения вероятности двух случайных величин
Пусть у функции существуют производные по , , а также вторая смешанная производная. Совместной (или двумерной) плотностью распределения вероятностей случайных величин и называется функция
(51.1)
Рассмотрим основные свойства двумерной плотности вероятности.
1. Справедливо соотношение:
. (51.2)
Для доказательства используем равенство (51.1), тогда:
. (51.3)
Теперь из равенства (50.2) следует (51.2). Это соотношение имеет практическое значение, поскольку позволяет вычислять вероятность - попадания двумерного вектора в прямоугольник, определяемый отрезками и через плотность вероятности .
2. Рассмотрим частный случай соотношения (51.2). Пусть , , , , тогда (51.2) принимает вид:
. (51.4)
Это соотношение определяет функцию распределения вероятностей через плотность вероятности и является обратным по отношению к равенству (51.1).
3. Рассмотрим (51.2) при условиях: , , , , тогда из (51.2) следует равенство:
, (51.5)
поскольку - как вероятность достоверного события. Соотношение (51.5) называется условием нормировки для плотности вероятности .
4. Если - плотность вероятности вектора , и - плотность вероятности случайной величины , то
. (51.6)
Это равенство называется свойством согласованности плотности второго порядка и плотности первого порядка . Если известна плотность второго порядка , то по формуле (51.6) можно вычислить плотность вероятности - случайной величины . Аналогично,
. (51.7)
Доказательство (51.6) получим на основе равенства
. (51.8)
Представим через плотность согласно (51.4), а через , тогда из (51.8) следует
. (51.9)
Дифференцирование (51.9) по приводит к равенству (51.6), что и завершает доказательство.
5. Случайные величины и называются независимыми, если независимы случайные события и при любых числах и . Для независимых случайных величин и :
. (51.10)
Доказательство следует из определений функций и , . Поскольку и - независимые случайные величины, то события вида: и - независимые для любых и . Поэтому
(51.11)
- справедливо равенство (51.10). Продифференцируем (51.10) по и , тогда согласно (51.1) получаем следствие для плотностей:
. (51.12)
6. Пусть - произвольная область на плоскости , тогда
(51.13)
- вероятность того, что вектор принимает любые значения из области определяется интегралом по от плотности вероятности .
Рассмотрим пример случайного вектора с равномерным распределением вероятностей, который имеет плотность вероятности на прямоугольнике и - вне этого прямоугольника. Числоопределяется из условия нормировки:
.
Условная функция распределения вероятностей
Пусть случайные величины и имеют плотности вероятности и соответственно и совместную плотность . Рассмотрим равенство:
. (52.1)
Отсюда
(52.2)
Функция
(52.3)
называется условной функцией распределения вероятностей случайной величины при условии, что случайная величина принимает значение .
Подставим (52.2) в (52.3), тогда
. (52.4)
Представим вероятности в (52.4) через плотности вероятностей, тогда
(52.5)
Это соотношение определяет условную функцию через плотности и . Отметим, что для независимых случайных величин и совместная плотность . При этом, как следует из (52.5), условная функция - не зависит от аргумента (т.е. не зависит от событий вида .
Аналогично (52.3) можно определить функцию случайной величины при условии, что , и затем получить выражение аналогичное (52.5)
. (52.6)
Условная плотность вероятности
Условной плотностью распределения вероятностей случайной величины при условии называется функция:
. (53.1)
Соотношение (52.5) подставим в (53.1), тогда
. (53.2)
Отсюда следует
. (53.3)
- формула умножения для плотностей. Эта формула аналогична формуле умножения вероятностей. Очевидно,
. (53.4)
Данное равенство является аналогом формулы полной вероятности.
Аналогично (53.1) вводится условная плотность распределения вероятности случайной величины при условии как функция вида:
. (53.5)
Отсюда и из (52.6) следуют соотношения:
, (53.6)
. (53.7)
В (53.6) подставим (53.3) и (53.4), тогда:
. (53.8)
Это соотношение аналогично формуле Байеса. Здесь случайные величины и можно поменять местами, тогда получим также верное соотношение для условной плотности , которая определяется через функции и .
Числовые характеристики двумерного случайного вектора
54.1. Пусть случайные величины и имеют совместную плотность вероятности и - функция двух переменных. Тогда - случайная величина, полученная подстановкой случайных величин и вместо аргументов и .
Математическим ожиданием случайной величины называется число
. (54.1)
Если , , тогда из (54.1) следует
, , . (54.2)
Числа называются начальными смешанными моментами порядка случайных величин и . Эти числа применяются в качестве статистических характеристик двумерного случайного вектора. Рассмотрим частные случаи (54.2). 1). , тогда - начальный момент порядка случайной величины . При дополнительном условии получаем - математическое ожидание случайной величины , при - - среднее ее квадрата и т.д. Таким образом, при смешанные моменты (54.2) совпадают с начальными моментами случайной величины . 2). Если положить , тогда - смешанные моменты совпадают с начальными моментами случайной величины . В обоих случаях получаем индивидуальные характеристики одной из случайных величин. 3). Для получения групповой характеристики (54.2), отражающей свойства совокупности двух случайных величин, необходимо рассмотреть ненулевые . Наиболее простой вариант: , . При этом из (54.2) следует
. (54.3)
Число называется корреляцией случайных величин и и представляет собой важнейшую характеристику совокупности двух случайных величин.
Если и - независимы, то и (54.3) преобразуются следующим образом:
, (54.4)
где и . При этом выражается через индивидуальные характеристики и , т.е. каких-либо групповых эффектов в не проявляется, что является следствием независимости случайных величин и . Из цепочки преобразований (54.4) следует равенство - математическое ожидание произведения двух независимых случайных величин равно произведению их математических ожиданий.
54.2. Аналогично (54.2) числа
(54.5)
называются центральными смешанными моментами, порядка . Наиболее важной групповой характеристикой двух случайных величин среди чисел (54.5) является ковариация
, (54.6)
которая является центральным смешанным моментом порядка . Для ковариации используется также обозначение: . Если , то - совпадает с дисперсией случайной величины .
Если и - независимы, то из (54.6) следует, что ковариация
.
Обратное утверждение в общем случае неверно, т.е. из равенства в общем не следует независимость случайных величин и . В частности, обратное утверждение справедливо, если и - гауссовы случайные величины. Более подробно этот вопрос обсуждается ниже.
54.3. Найдем связь между корреляцией и ковариацией случайных величин и . Из определения ковариации (54.6) следует
.
Таким образом, ковариация и корреляция связаны соотношением
. (54.7)
Верхняя и нижняя границы корреляции и ковариации
55.1. Пусть случайные величины и имеют математические ожидания , , дисперсии , , корреляцию и ковариацию . Рассмотрим неравенство
. (55.1)
Возведем в квадрат, затем оператором математического ожидания подействуем на каждое слагаемое, тогда (55.1) принимает вид:
,
что далее сводится к неравенству
. (55.2)
Его левая часть может быть как положительной так и отрицательной, правая часть - только положительна. Поэтому неравенство (55.2) обычно записывается в более сильном варианте:
. (55.3)
Таким образом, корреляция случайных величин и принимает значения из интервала .
Соотношение, аналогичное (55.3) можно получить и для ковариации , если в исходном выражении (55.1) вместо подставить центрированную случайную величину и вместо соответственно . При этом необязательно выполнять все преобразования, аналогичные (55.1) - (55.3), достаточно учесть, что замена и приводит к замене на , на , а также на . Поэтому из (55.3) следует
. (55.4)
55.2. Неравенства, определяющие область значений корреляции и ковариации , аналогичные (55.3), (55.4), можно получить в другом виде на основе следующего очевидного неравенства:
. (55.5)
Отсюда , поэтому справедливо неравенство
. (55.6)
Если в (55.5) заменить соответственно на и , то в (55.6) заменяется на , на и на . Поэтому (55.6) принимает вид:
. (55.7)
Ковариация и независимость двух случайных величин
Для независимых случайных величин и ковариация . В отличие от этого рассмотрим другой крайний случай, когда случайные величины и связаны функциональной зависимостью:
, (56.1)
где - числа. Вычислим ковариацию случайных величин и :
. (56.2)
Из (56.1) следует . Подставим этот результат в (56.2), тогда
. (56.3)
Из (56.1) определим дисперсию
, (56.4)
откуда . Это равенство подставим в (56.3), тогда
(56.5)
Таким образом, ковариация линейно связанных случайных величин и принимает максимальное значение , если , или минимальное значение , если , на отрезке допустимых значений для в общем случае (согласно формуле (55.4)).
В связи с этим можно выдвинуть предположение о том, что ковариация является мерой статистической связи между случайными величинами и . Действительно, для двух крайних случаев получены подходящие для этого результаты, а именно: для независимых величин , а для линейно связанных максимален. Далее будет показано, что это предположение верно, но не в общем, а только для статистической связи линейного типа. Эта связь характерна тем, что при усилении этой связи растет , и в пределе связь вырождается в линейную зависимость (56.1).
Однако если связь имеет нелинейный характер, то величина не отражает меру (степень) этой связи. Рассмотрим следующий пример. Пусть , , и - случайная величина с равномерным на интервале распределением вероятностей. Случайные величины и связаны между собой соотношением: . Таким образом, между величинами и существует функциональная связь, а не статистическая, и следовало ожидать, что величина максимальна. Однако, прямые вычисления приводят к результату . Действительно,
, (56.6)
где
- плотность распределения вероятностей случайной величины . С учетом этого (56.6) преобразуется:
.
Аналогично
,
теперь ковариация
.
Таким образом, для нелинейной связи между случайными величинами их ковариация не может использоваться как мера статистической связи, поскольку значение ковариации не отражает степень этой связи.
Ковариация и геометрия линий равного уровня плотности вероятности
Ковариация случайных величин и определяется через их совместную плотность вероятности соотношением:
. (57.1)
Подынтегральная функция в (57.1) неотрицательна для таких , , при которых , то есть при , или , . И наоборот, при , или , подынтегральная функция (57.1) отрицательна либо равна нулю. Знак ковариации зависит от того, какие значения, положительные или отрицательные преобладают в подынтегральной функции. Поэтому знак числа определяется расположением линий равного уровня плотности вероятности . На рис. 57.1 представлен пример линий равного уровня функции , для которой . Штриховкой
Рис. 57.1.
Линии равного уровня плотности вероятности при .указана часть плоскости, на которой , и следовательно неотрицательна подынтегральная функция. Поскольку в заштрихованной области (положительные значения подынтегральной функции) плотность имеет в среднем большее значение, чем в нештрихованной области (отрицательные значения подынтегральной функции), то ковариация . На рис. 57.2 представлены линии равного уровня плотности при . Случай соответствует симметричному расположению линий относительно прямой (или ). Например, эти линии могут быть эллипсами, у которых большая полуось совпадает по направлению с прямой (или ). Другой пример – линии являются окружностями с центром в точке .
Рис. 57.2. Линии равного уровня плотности
вероятности при .
Отметим, что если , а линии равного уровня имеют ось симметрии, например, на рис. 57.1 линии – это эллипсы, тогда можно выполнить преобразование (вращение) системы координат , такое, что в новой системе ковариация . Это означает также и преобразование случайных величин , с ненулевой ковариацией к новым случайным величинам, для которых ковариация равна нулю.
Коэффициент корреляции
58.1. Коэффициентом корреляции двух случайных величин и называется число
. (58.1)
Коэффициент корреляции является ковариацией: двух безразмерных случайных величин
, , (58.2)
полученных из исходных величин и путем преобразования специального вида (58.2) (нормировки), которое обеспечивает нулевые средние , и единичные дисперсии , .
Коэффициент корреляции (58.1) можно представить через ковариацию случайных величин и :
. (58.3)
Поскольку , то из (58.3) следует
. (58.4)
Коэффициент корреляции является безразмерной величиной, принимает значения на интервале и поэтому используется как мера статистической связи линейного типа между случайными величинами и , в отличие от ковариации , для которой интервал значений зависит от дисперсий случайных величин. Рассмотрим примеры вычисления коэффициента корреляции, позволяющие выяснить свойства как меры статистической связи между случайными величинами.
58.2. Пусть - случайная величина с математическим ожиданием , дисперсией и . Ковариация случайных величин и определяется формулой (56.5): . Подставим это соотношение в (58.3) , тогда:
(58.4)
Таким образом, для случайных величин , , связанных линейной зависимостью коэффициент корреляции принимает либо максимальное значение , либо минимальное - .
58.3. Рассмотрим обобщение линейной функции, связывающей случайные величины и на линейную случайную функцию следующего вида:
(58.5)
где и - независимые случайные величины. В частном случае - число и (58.5) – линейная функция, определяющая через . Для детерминированной линейной связи - принимает максимальное значение. Если - случайная величина, то связь (58.5) становится статистической (стохастической, случайной), то есть не столь жесткой как детерминированная функциональная связь. Это приводит к . В зависимости от свойств случайной величины статистическая связь между и может быть сильной, , или слабой, . Для того, чтобы ответить на вопрос, какова мера связи между случайными величинами и (58.5) вычислим их коэффициент корреляции.
Пусть , , , . Тогда из (58.5) следует, в силу независимости и:
.
Выразим дисперсию случайные величины через параметры случайных величин ,:
. (58.6)
Теперь по формуле (58.3):
. (58.7)
Если , то из (58.7) следует , что соответствует слабой связи между случайными величинами и . Если , из (58.7) следует , связь становится сильной и в пределе при переходит в детерминированную линейную связь.
Коэффициент корреляции и расстояние
59.1. Пусть - множество элементов Расстоянием (метрикой) между элементами множества называется неотрицательная функция , удовлетворяющая следующим трем аксиомам:
, причем .
.
.
Вторая аксиома называется условием симметрии, а третья – неравенством треугольника. Если аксиому 1 ослабить: , тогда называется псевдометрикой. Для псевдометрики из условия не обязательно следует .
Пусть - множество случайных величин. Для каждой пары элементов этого множества можно также ввести расстояние вида
. (59.1)
Покажем, что функция является псевдометрикой. Аксиома 1 – очевидна: , причем из условия следует . Аксиома 2 также очевидна. Рассмотрим аксиому 3. Справедливы следующие преобразования:
(59.2)
Пусть - корреляция двух случайных величин и . Известно, что удовлетворяет неравенству (55.2)
. (59.3)
Подставим (59.3) в (59.2), тогда
, (59.4)
что и доказывает третью аксиому.
59.2. Пусть
, (59.5)
- нормированные случайные величины. Рассмотрим квадрат расстояния между ними:
, (59.6)
где - коэффициент корреляции случайных величин и . Из (59.6) следует равенство
(59.7)
которое можно рассматривать как закон сохранения: величина - постоянная для любых случайных величин и . Это равенство позволяет дать интерпретацию коэффициента корреляции как величины, дополняющей расстояние до единицы.
Функция распределения вероятностей случайного вектора
Во многих приложениях теории вероятностей возникает необходимость рассматривать совокупность случайных величин , которая называется многомерной (- мерной) случайной величиной или -мерным случайным вектором . Полное вероятностное описание - мерного случайного вектора задается функцией распределения вероятностей (или плотностью вероятности , или характеристической функцией ). Функция аргументов
(60.1)
называется функцией распределения вероятностей случайного вектора . Здесь случайное событие
(60.2)
- представляет пересечение событий вида . В записях вида (60.1) для краткости символ пересечения принято заменять запятой.
Рассмотрим основные свойства функции распределения вероятностей.
1. Пусть - независимые случайные величины, тогда события , , - независимы и формула (60.1) принимает вид
, (60.3)
где - функция распределения вероятностей случайной величины . Таким образом, для независимых случайных величин их совместная функция распределения представима произведением одномерных функций .
Для любого
. (60.4)
Доказательство следует из определения (60.1). Событие является невозможным, поэтому и событие (60.2) - невозможное, его вероятность равна нулю, следовательно выполняется соотношение (60.4).
Для любого
. (60.5)
Это равенство также следует из определения. Событие - достоверное и в пересечении вида (60.2) это событие можно опустить, после чего из (60.1) следует (60.5).
Если для всех , то
, (60.6)
как вероятность достоверного события.
5. Функция распределения - непрерывна справа по каждому своему аргументу.
Плотность вероятности случайного вектора
Пусть случайный вектор имеет функцию распределения вероятностей и существует частная производная
, (61.1)
тогда функция называется плотностью распределения вероятностей случайного вектора или - мерной плотностью вероятности. При этом функция и сам вектор называются непрерывными.
Рассмотрим основные свойства плотности вероятности случайного вектора.
1. Пусть - независимые случайные величины, тогда функция распределения вероятностей вектора представима в виде произведения одномерных функций, формула (60.3). Подставляя (60.3) в (61.1), получим
, (61.2)
где
(61.3)
- плотность вероятности случайной величины .
2. Пусть - малое приращение аргумента . Тогда из (61.1) следует
, (61.4)
где - разность порядка функции , определяемая соотношением:
,
,…
Из определения функции , формула (60.1), следует
, (61.5)
затем из (61.4), (61.5) получаем вероятность попадания случайного вектора в -мерный параллелепипед со сторонами :
. (61.6)
Из (61.6) следует
. (61.7)
4. Аналогично из (61.6)
. (61.8)
5. Условие нормировки для плотности вероятности также следует из соотношения (61.6):
. (61.9)
6. Пусть - область - мерного пространства, тогда - вероятность того, что - мерный случайный вектор принимает значение из области , определяется через плотность :
. (61.10)
Доказательство этого соотношения следует из (61.6) с учетом того, что любая область может быть покрыта - мерными параллелепипедами при условии, что - наибольшая сторона параллелепипеда стремится к нулю.
7. Для любого
. (61.11)
Это равенство называется свойством согласованности плотности: из плотности вероятности порядка путем интегрирования по «лишнему» аргументу может быть получена плотность вероятности порядка . Для доказательства представим обе части равенства (60.5) через плотности, используя (61.8), тогда (60.5) принимает вид:
. (61.12)
Продифференцируем обе части этого равенства по аргументам , что приводит к выражению (61.11).
Многомерное нормальное распределение
Случайный вектор называется нормально распределенным, если его плотность вероятности
, (62.1)
где ; - ковариационная матрица вектора , элемент которой является ковариацией случайных величин ; - определитель матрицы ; - матрица, обратная ковариационной.
Рассмотрим плотность вероятности в частном случае попарно некоррелированных случайных величин , для которых выполняется условие
, (62.2)
где - символ Кронекера. Таким образом, ковариационная матрица является диагональной, поскольку ее элементы (62.2) на главной диагонали – ненулевые, а вне главной диагонали - нулевые. Следовательно, определитель
. (62.3)
Элемент матрицы , обратной ковариационной можно найти по известной формуле:
, (62.4)
где - алгебраическое дополнение элемента матрицы . Из (62.3) следует
, (62.5)
а также при . Подстановка этих результатов в (62.4) приводит к выражению
. (62.6)
Подставим (62.3), (62.6) в (62.1), тогда
, (62.7)
где - плотность вероятности случайной величины . Таким образом, для гауссова случайного вектора из условия попарной некоррелированности его компонент , , следует условие (62.7) - независимости компонент случайного вектора.
Характеристическая функция случайного вектора
63.1 Функция переменных
(63.1)
называется характеристической функцией случайного вектора .
Если случайный вектор является непрерывным, то его характеристическая функция (63.1) определяется через его плотность :
. (63.2)
Это соотношение является - мерным преобразованием Фурье от функции . Поэтому плотность можно выразить через характеристическую функцию в виде обратного преобразования Фурье по отношению к (63.2):
. (63.3)
63.2 Несложно доказать следующие свойства характеристической функции.
1. .
2. .
3. Для независимых случайных величин их совместная характеристическая функция , где - характеристическая функция случайной величины .
4. Для любого целого , , справедливо соотношение:
.
63.3. Для нормально распределенного случайного вектора его характеристическая функция находится подстановкой плотности вероятности (62.1) в (63.2.) и последующем вычислении - мерного интеграла (63.2). Это приводит к следующему выражению:
, (63.3)
где - ковариация случайных величин и .
Функции от случайных величин
Пусть - случайные величины, имеющие совместную плотность и совместную функцию распределения вероятностей . Пусть также заданы функций , переменных . Вместо аргументов функции подставим случайные величины , тогда
(64.1)
- новые случайные величины. Задача состоит в том, чтобы по известным функциям , , , , найти функцию и плотность распределения вероятностей случайного вектора . Такая задача довольно часто возникает во многих приложениях теории вероятностей.
Сравнительно просто найти функцию распределения вероятностей . Действительно, по определению:
(64.2)
Представим случайные величины через , используя соотношения (64.1), тогда
(64.3)
Здесь вероятность можно представить в виде интеграла по области от плотности :
(64.4)
где областьсодержит все -мерные вектора , удовлетворяющие условию:
(64.5)
Плотность вектора можно определить из (64.4) по формуле:
(64.6)
Соотношения (64.4), (64.6) определяют всего лишь метод решения задачи, но не само решение. Задача в конкретной постановке может быть как относительно простой, так и очень сложной, в зависимости от чисел , , плотности и вида функций , определяющих область . Ниже рассмотрим примеры решения этой задачи для преобразования одной, двух и нескольких случайных величин.
Распределение вероятностей функции одной случайной величины
65.1. Пусть случайная величина имеет плотность вероятности и функция одной переменной , , является взаимно однозначной, тогда плотность вероятности случайной величины определяется соотношением:
, (65.1)
где - функция, обратная функции .
Вывод формулы (65.1) основан на соотношениях (64.4) и (64.6). Поскольку функция - взаимно однозначная, то эта функция или монотонно возрастающая или монотонно убывающая . Очевидны соотношения:
, (65.2)
. (65.3)
Пусть , - функции распределения вероятностей случайных величин и . Если , тогда используя (65.2),
. (65.4)
Продифференцируем по равенство (65.4), тогда
. (65.5)
Аналогично при справедливо равенство (65.3), поэтому
(65.6)
Отсюда:
. (65.7)
Теперь из соотношений (65.5) и (65.7) следует (65.1).
Существенным условием при выводе формулы (65.1) является свойство взаимной однозначности функции . Примерами таких функций являются: 1). Линейная функция , где , - числа, при этом обратная функция имеет вид ; 2). Экспонента - , откуда обратная функция , , и другие. Однако условие взаимной однозначности функции может нарушаться, например, для функции обратная функция , - двузначная. При этом рассматриваются две функции и , , которые называются первая и вторая ветви обратного преобразования . Более сложный пример: . Здесь обратная функция – многозначная.
65.2. Рассмотрим модификацию формулы (65.1) на случай многозначного обратного преобразования . Для этого на области определения функции выделим неперекрывающиеся интервалы , - целое, на которых , тогда на интервалах вида выполняется условие . Функция , для , монотонная возрастающая, а для - монотонная убывающая. Поэтому для каждого из указанных интервалов существует однозначная обратная функция по отношению к функции . Пусть функция для имеет обратную функцию вида , , очевидно - монотонная возрастающая, поскольку обратная ей - монотонная возрастающая. Аналогично обозначим через - функцию со значениями , обратную к на интервале . Очевидно - монотонная убывающая. Функция называется -я ветвь обратного преобразования функции . Теперь по формуле сложения вероятностей для несовместных событий:
(65.8)
где суммирование ведется по всем ветвям обратного преобразования.
На рис. 65.1. представлен простой пример функции , у которой ветви обратного преобразования: со значениями , и - со значениями . На интервале функция - монотонно возрастающая, а на интервале функция - монотонная убывающая. Равенство (65.8) в этом случае принимает вид:
.
Рис. 65.1. Пример преобразования случайной величины.
Представим вероятности в (65.8) через плотности вероятностей, тогда:
. (65.9)
Дифференцируя по обе части (65.9), получим
(65.10)
или
, (65.11)
где суммирование по ведется по всем ветвям обратного преобразования.
65.3. Рассмотрим примеры вычисления плотности вероятности случайной величины по формуле (65.11). Пусть - линейное преобразование случайной величины . Функция - взаимно однозначная, поэтому обратное преобразование имеет одну ветвь и сумма в (65.11) содержит одно слагаемое. Поскольку , то (65.11) принимает вид:
. (65.12)
Рассмотрим квадратичное преобразование . Обратное преобразование имеет две ветви и . Поэтому сумма (65.11) состоит из двух слагаемых. Вычисляя, для , получаем:
(65.13)
Пусть и случайная величина имеет равномерное распределение вероятностей на интервале , с плотностью , если , и при . Обратное преобразование имеет две ветви: , а также . Вычисление производных и подстановка в (65.11) приводит к результату:
. (65.14)
На рис. 65.2. представлен график плотности косинус-преобразования
равномерно распределенной случайной величины. Таким образом, исходная
Рис. 65.2. Плотность вероятности косинус-преобразования.
исходная величина и преобразованная величина могут иметь совершенно непохожие плотности вероятности.
Преобразование нескольких случайных величин
66.1. Соотношение (65.11), определяющее плотность вероятности преобразованной величины через плотность исходной случайной величины , можно обобщить на случай преобразования случайных величин. Пусть случайные величины имеют совместную плотность , и заданы функций , переменных . Необходимо найти совместную плотность вероятности случайных величин:
(66.1)
Эта задача отличается от общей постановки, п. 6.4., условием - число исходных случайных величин равно числу преобразованных величин. Преобразование, обратное (66.1), находится как решение системы уравнений , , относительно переменных . При этом каждое зависит от . Совокупность таких функций , , образует обратное преобразование. В общем случае обратное преобразование неоднозначно. Пусть , , - - я ветвь обратного преобразования , тогда справедливо соотношение:
, (66.2)
где сумма берется по всем ветвям обратного преобразования,
(66.3)
- якобиан преобразования от случайных величин к случайным величинам .
Если из каждой совокупности случайных величин получается случайных величин , то формулой (66.2) можно воспользоваться, дополнив систему до случайных величин, например, такими величинами . Если же , то случайных величин из совокупности функционально связаны с остальными величинами, поэтому - мерная плотность будет содержать дельта-функций.
Соотношения (64.4), (64.6) и (66.2) определяют два метода решения задачи вычисления плотности совокупности случайных величин , полученных функциональным преобразованием исходных случайных величин с совместной плотностью вероятности . Основная трудность в применении первого метода состоит в вычислении -мерного интеграла по сложной области . Во втором методе основная трудность – это нахождение всех ветвей обратного преобразования.
66.2. Рассмотрим простой пример вычисления плотности вероятности суммы двух случайных величин и с плотностью по формуле (66.2). Очевидно, в качестве первой преобразованной величины следует выбрать сумму: , а в качестве второй (хотя можно взять и ). Таким образом, функциональное преобразование от , к , задается системой уравнений:
(66.4)
Обратное преобразование – это решение системы уравнений относительно , :
(66.5)
Обратное преобразование однозначно, поэтому в (66.2) сумма состоит из одного слагаемого. Найдем якобиан преобразования:
.
Теперь (66.2) для принимает вид:
. (66.6)
Функция - это совместная плотность вероятности случайных величин и . Отсюда плотность вероятности суммы находится из условия согласованности:
. (66.7)
Рассмотрим первый метод решения этой же задачи. Из (64.4) следует:
. 66.8)
Задача сводится к преобразованию интеграла по области , определяемой условием . Этот интеграл можно представить в виде:
(66.9)
Отсюда плотность вероятности:
Отсюда плотность вероятности:
, (66.10)
что совпадает с формулой (66.7).
Хи - квадрат распределение вероятностей
67.1. Хи - квадрат распределением с степенями свободы называется распределение вероятностей случайной величины , где - независимые случайные величины и все - гауссовы с математическим ожиданием и дисперсией . В соответствии с формулой (64.3) функция распределения вероятностей случайной величины равна
, (67.1)
где - совместная плотность вероятности величин . По условию - независимые, поэтому равна произведению одномерных плотностей:
. (67.2)
Из (67.1), (67.2) следует, что плотность вероятности случайной величины определяется выражением:
. (67.3)
Анализ этого выражения, видимо, представляет собой наиболее простой способ нахождения , поскольку здесь и (67.3) можно представить в виде:
. (67.4)
Здесь интеграл равен объему области - мерного пространства, заключенной между двумя гиперсферами: - радиуса и - радиуса . Поскольку объем гиперсферы радиуса пропорционален , т.е. , то
(67.5)
- объем между двумя гиперсферами с радиусами и , что и определяет с точностью до множителя интеграл (67.4). Подставим (67.5) в (67.4), тогда
, (67.6)
где - постоянная, которая может быть определена из условия нормировки:
. (67.7)
Подставим (67.6) в (67.7), тогда
. (67.8)
Пусть , , тогда интеграл (67.8)
, (67.9)
, (67.10)
где - гамма - функция аргумента . Из (67.8) и (67.9) определяется постоянная , подстановка которой в (67.6) приводит к результату
(67.11)
67.2. Вычислим математическое ожидание и дисперсию случайной величины . Из (67.11)
. (67.12)
Аналогично среднее квадрата величины равно
. (67.13)
Из (67.12), (67.13) дисперсия
. (67.14)
67.3. В задачах математической статистики важное значение имеют распределения вероятностей, связанные с нормальным распределением. Это прежде всего - распределение (распределение Пирсона), - распределение (распределение Стьюдента) и - распределение (распределение Фишера). Распределение - это распределение вероятностей случайной величины
, (67.15)
где - независимы и все .
Распределением Стьюдента (или - распределением) называется распределение вероятностей случайной величины
, (67.16)
где и - независимые случайные величины, и .
Распределением Фишера (- распределением) с , степенями свободы называется распределение вероятностей случайной величины
. (67.17)
Хи - квадрат распределение и распределение Максвелла по скоростям
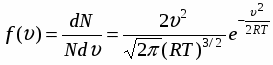
Распределение Максвелла по скоростям молекул газа представляет собой плотность распределения вероятностей модуля скорости и определяется соотношением
, (68.1)
где - число молекул газа, число молекул, модуль скорости которых лежит в интервале , - газовая постоянная, - абсолютная температура газа. Отношение - это вероятность того, что модуль скорости молекулы лежит в интервале , тогда - плотность вероятности модуля скорости.
Распределение (68.1) может быть получено на основе следующих двух простых вероятностных положений, задающих модель идеального газа. 1). Проекции скорости на оси декартовой системы координат являются независимыми случайными величинами. 2). Каждая проекция скорости - гауссова случайная величина с нулевым математическим ожиданием и дисперсией . Параметр задается на основе экспериментальных данных.
Определим плотность вероятности случайной величины
. (68.2)
Очевидно, имеет хи - квадрат распределение с тремя степенями свободы. Поэтому ее плотность вероятности определяется формулой (67.11) при :
, , (68.3)
поскольку . Итак, (68.3) - это плотность вероятности квадрата относительной скорости .
Следующий шаг состоит в переходе от распределения квадрата скорости к распределению ее модуля , . Функциональное преобразование имеет вид: , а обратное , для , . Таким образом, обратное преобразование однозначное. Поэтому по (65.1) плотность распределения модуля имеет вид
. (68.4)
Последний шаг состоит в переходе от случайной величины к новой случайной величине
. (68.5)
Обратное преобразование - однозначное, поэтому плотность вероятности случайной величины , согласно (65.1) принимает вид
, , (68.6)
что и совпадает с формулой (68.1).
Соотношение (68.5), определяющее связь относительной и абсолютной скоростей и , следует из третьего положения модели идеального газа, которое является чисто физическим условием, в отличие от первых двух вероятностных условий. Третье условие может быть сформулировано как утверждение относительно значения средней кинетической энергии одной молекулы в виде равенства
, (68.7)
где - постоянная Больцмана и представляет, по сути, экспериментальный факт. Пусть , где - постоянная, которая далее определяется условием (68.7). Для нахождения определим из (68.4) среднее квадрата относительной скорости:
. (68.8)
Тогда средняя кинетическая энергия молекулы , где - масса молекулы, и с учетом (68.7) , или .
Литература
1. Вентцель Е.С. Теория вероятностей: Учебник для вузов. М.: Высшая школа, 1999. - 575с.
2. Коваленко И.Н., Филиппова А.А. Теория вероятностей и математическая статистика. М.: Высшая школа, 1973. - 368с.
3. Вентцель Е.С., Овчаров Л.А. Теория вероятностей и ее инженерные приложения М.: Высшая школа, 2000. - 480с.
4. Гмурман В.Е. Теория вероятностей и математическая статистика. М.: Высшая школа, 1999. - 479с.
5. Пытьев Ю.П., Шишмарев И.А. Курс теории вероятностей и математической статистики для физиков. М.: Изд-во Моск. ун-та, 1983. - 256с.
6. Пугачев В.С. Теория вероятностей и математическая статистика. М.: Наука, 1979. - 496с.
7. Колемаев В.А., Староверов О.В., Турундаевский В.Б. Теория вероятностей и математическая статистика. М.: Высшая школа, 1991. - 400с.
8. Фигурин В.А., Оболонкин В.В. Теория вероятностей и математическая статистика. М.: Новое знание, 2000. - 206с.
9. Чистяков В.П. Курс теории вероятностей. М.: Наука, 1982. - 256с.
10. Боровков А.А. Теория вероятностей. М.: Наука, 1976. - 352с.
11. Кремер Н.Ш. Теория вероятностей и математическая статистика. М.: ЮНИТИ, 2000. - 543с.
Нравится материал? Поддержи автора!
Ещё документы из категории математика:
Чтобы скачать документ, порекомендуйте, пожалуйста, его своим друзьям в любой соц. сети.
После чего кнопка «СКАЧАТЬ» станет доступной!
Кнопочки находятся чуть ниже. Спасибо!
Кнопки:
Скачать документ