Спектр оператора. Применение нестандартного анализа для исследования резольвенты и спектра оператора





































































































































































































































































































































































































































Спектр оператора. Применение нестандартного анализа для исследования резольвенты и спектра оператора
Выпускная квалификационная работа
Выполнила студентка V курса математического факультета Овчинникова Елена Александровна
Вятский государственный гуманитарный университет
Киров 2005
Раздел математической логики – теория нестандартных моделей математического анализа относительно молод и недостаточно освещён в математической литературе. Поэтому мне интересно было осветить его элементы в своей квалификационной работе.
Целью работы является освещение теории стандартных операторов, исследование резольвенты и спектра оператора с помощью стандартных методов математического анализа, а затем, после введения основных понятий и предложений нестандартного анализа, с помощью нестандартных методов.
В ходе работы были описаны резольвентное и спектральное множества операторов, а так же приведены их примеры на стандартных и нестандартных операторах.
История нестандартного анализа
Возраст нестандартного анализа колеблется от четырёх десятков до трех сотен лет. Четыре десятка получается, если считать, что нестандартный анализ зародился осенью 1960 года, когда его основатель, Абрахам Робинсон, сделал на одном из семинаров Принстонского университета доклад о возможности применения методов математической логики к обоснованию математического анализа. Триста лет получается, если считать началом нестандартного анализа появление символов бесконечно малых dx и dy в трактате Лейбница.
Как и всякое другое научное направление, нестандартный анализ возник не на пустом месте. Основные его источники: во-первых, это идущая от классиков математического анализа традиция употребления бесконечно больших и бесконечно малых – традиция, сохранившаяся до нашего времени. Второй, менее очевидный источник – нестандартные модели аксиоматических систем, появившиеся в математической логике.
К 1960 году методы построения нестандартных моделей были давно разработаны и хорошо известны специалистам по теории моделей, одним из основателей которой был А. Робинсон. Оставалось лишь соединить их с идеями о применении бесконечно малых величин в анализе, чтобы положить начало развитию нестандартного анализа. В 1961 г. появилась статья А. Робинсона “Нестандартный анализ” в Трудах Нидерландской академии наук. В статье были намечены как основные положения нестандартного анализа, так и некоторые его приложения. В течение последующих восьми лет вышли в свет три монографии, излагающие нестандартную теорию: в 1962 г. - книга В.А. Дж. Люксембурга “Нестандартный анализ. Лекции о робинсоновой теории бесконечно малых и бесконечно больших чисел”, в 1966 г. - книга самого А. Робинсона “Нестандартный анализ” и в 1969 г. - книга М. Маховера и Дж. Хиршфелда “Лекции о нестандартном анализе”.
Наибольший резонанс вызвала книга Робинсона. В девяти первых главах этой монографии содержалось как построение необходимого логико-математического аппарата, так и многочисленные приложения – к дифференциальному и интегральному исчислению, к общей топологии, к теории функций комплексного переменного, к теории групп Ли, к гидродинамике и теории упругости.
В 1966 г. появилась статья А.Р. Бернстейна и А. Робинсона, в которой впервые методами нестандартного анализа было получено решение проблемы инвариантных пространств для полиномиально компактных операторов. В очерке П.Р. Халмоша “взгляд в гильбертово пространство” в качестве проблемы фигурирует поставленная К.Т. Смитом задача о существовании инвариантного подпространства для таких операторов Т в гильбертовом пространстве , для которых оператор компактен. А.Р. Бернстейном и А. Робинсоном методами нестандартного анализа было доказано, что любой полиномиально-компактный оператор в гильбертовом пространстве имеет нетривиальное инвариантное замкнутое подпространство.
Приложения нестандартного анализа внутри математики охватывают обширную область от топологии до теории дифференциальных уравнений, теории мер и вероятностей. Что касается внематематических приложений, то среди них мы встречаем даже приложения к математической экономике. Многообещающим выглядит использование нестандартного гильбертова пространства для построения квантовой механики. А в статистической механике становится возможным рассматривать системы из бесконечного числа частиц. Помимо применений к различным областям математики, исследования в области нестандартного анализа включают в себя и исследование самих нестандартных структур.
В 1976 г. вышли сразу три книги по нестандартному анализу: “Элементарный анализ” и “Основания исчисления бесконечно малых” Г. Дж. Кейслера и “Введение в теорию бесконечно малых” К. Д. Стройана и В. А. Дж. Люксембурга.
Быть может, наибольшую пользу нестандартые методы могут принести в области прикладной математики. В 1981 г. вышла книга Р. Лутца и М. Гозе “Нестандартный анализ: практическое руководство с приложениями”. В этой книге после изложения основных принципов нестандартного анализа рассматриваются вопросы теории возмущений.
В настоящее время нестандартный анализ завоёвывает всё большее признание. Состоялся ряд международных симпозиумов, специально посвященных нестандартному анализу и его приложениям. В течение последнего десятилетия нестандартный анализ (точнее, элементарный математический анализ, но основанный на нестандартном подходе) преподавался в ряде высших учебных заведений США.
Определение и примеры линейных операторов
Пусть Е и Е1 – два линейных топологических пространства. Линейным оператором, действующим из Е в Е1, называется отображение
y=Ax (xE, yE1),
удовлетворяющее условию
А()=.
Совокупность DA всех тех хЕ, для которых отображение А определено, называется областью определения оператора А; вообще говоря, не предполагается, что DA=E, однако мы всегда будем считать, что DA есть линейное многообразие, т.е. если x,yDА, то и DA при всех и .
Оператор называется непрерывным, если он любую сходящуюся последовательность переводит в сходящуюся последовательность.
Пример 1: Пусть Е – линейное топологическое пространство. Положим
Iх=х для всех хЕ
Такой оператор I, переводящий каждый элемент пространства в себя, называется единичным оператором.
Пример 2: Если Е и Е1 – произвольные линейные топологические пространства и
0х=0 для всех хЕ
(здесь 0 – нулевой элемент пространства Е1), то 0 называется нулевым оператором.
Непрерывность оператора в первых двух примерах очевидна.
Пример 3: Общий вид линейного оператора, переводящего конечномерное пространство в конечномерное:
Пусть А – линейный оператор, отображающий n-мерное пространство Rn с базисом е1,е2,…,еn в m-мерное пространство Rm c базисом f1,f2,…,fm. Если х – произвольный вектор на Rn, то
х=
и, в силу линейности оператора А,
Ах=
Таким образом, оператор А задан, если известно, во что он переводит базисные векторы е1,е2,…,еn. Рассмотрим разложение векторов Аеi по базису f1,f2,…,fm. Имеем
Аеi=
Отсюда ясно, что оператор А определяется матрицей коэффициентов аi j. Образ пространства Rn в Rm представляет собой линейное подпространство, размерность которого равна, очевидно, рангу матрицы , т. е. во всяком случае, не превосходит n. Мы получили, что оператор в конечномерном пространстве задаётся матрицей коэффициентов разложения векторов Аеi по векторам базиса fi. Образ вектора х вычисляется, как произведение столбца координат этого вектора на матрицу коэффициентов. Отметим, что в конечномерном пространстве всякий линейный оператор автоматически непрерывен.
Пример 4: Пусть А – линейный оператор, отображающий пространство квадратных матриц размерности m на себя. Пространство квадратных матриц размерности m – конечномерное, следовательно, линейный оператор задаётся матрицей размерности m. Таким образом, получается пример, похожий на пример 3, только в роли конечномерного пространства векторов здесь выступает конечномерное пространство квадратных матриц.
Линейный оператор, действующий из Е в Е1, называется ограниченным, если он определён на всём Е и каждое ограниченное множество переводит снова в ограниченное множество. Между ограниченностью и непрерывностью линейного оператора существует тесная связь, а именно, справедливы следующие утверждения.
Всякий непрерывный оператор ограничен.
Если А – ограниченный оператор, действующий из Е в Е1, и в пространстве Е выполнена первая аксиома счётности (если каждая точка топологического пространства имеет счётную определяющую систему окрестностей, т.е. систему окрестностей точки, обладающую следующими свойствами: каково бы ни было открытое множество G, содержащее эту точку, найдётся окрестность из этой системы, целиком лежащая в G), то оператор А непрерывен.
То есть, в пространствах с первой аксиомой счётности ограниченность линейного оператора равносильна его непрерывности.
Если Е и Е1 – нормированные пространства, то условие ограниченности оператора А, действующего из Е в Е1, можно сформулировать так: оператор а называется ограниченным, если он переводит всякий шар в ограниченное множество. В силу линейности оператора А это условие можно сформулировать так: А ограничен, если существует такая постоянная С, что для всякого
.
Наименьшее из чисел С, удовлетворяющих этому неравенству, называется нормой оператора А и обозначается . Справедлива так же такая теорема:
Теорема: Для любого ограниченного оператора А, действующего из нормированного пространства в нормированное,
= .
Определение: Пусть А и В – два линейных оператора, действующих из линейного топологического пространства Е в пространство Е1. Назовём суммой А+В оператор С, ставящий в соответствие элементу хЕ элемент
y=Ax+ByE1.
С=А+В – линейный оператор, непрерывный, если А и В непрерывны. Область определения Dc есть пересечение DADB областей определения оператора А и оператора В.
Если Е и Е1 – нормированные пространства, а операторы А и В ограничены, то С тоже ограничен, причём
.
Это следует из:
.
Определение: Пусть А и В – линейные операторы, причём А действует из пространства Е в Е1, а В действует из Е1 в Е2. Произведением ВА операторов А и В называется оператор, ставящий в соответствие элементу хЕ элемент
z=B(Ax)
из Е2. Область определения DC оператора С=ВА состоит из тех хDA, для которых AxDB. Ясно, что оператор С линеен. Он непрерывен, если А и В непрерывны.
Если А и В – ограниченные операторы, действующие в нормированных пространствах, то и оператор С=ВА ограничен, причём
Это следует из:
Обратный оператор. Обратимость
Пусть А – оператор, действующий из Е в Е1, и DA – область определения, а RA – область значений этого оператора.
Определение: Оператор А называется обратимым, если для любого уравнение
имеет единственное решение.
Если А обратим, то каждому можно поставить в соответствие единственный элемент , являющийся решением уравнения . Оператор, осуществляющий это соответствие, называется оператором обратным к А и обозначается .
Рассмотрим оператор, переводящий конечномерное пространство в конечномерное. Выше было сказано, что он задаётся матрицей коэффициентов. Таким образом, оператор обратим, если обратима матрица коэффициентов, которой он задаётся. А матрица обратима лишь в том случае, если её определитель не равен нулю. То есть матрицы, которые имеют ненулевой определитель, задают обратимый оператор, переводящий конечномерное пространство в конечномерное.
Теорема: Оператор , обратный к линейному оператору А, также линеен.
Теорема Баноха об обратном операторе: Пусть А – линейный ограниченный оператор, взаимно однозначно отображающий банахово пространство Е на банахово пространство Е1. Тогда обратный оператор тоже ограничен.
Теорема: Пусть ограниченный линейный оператор А0, отображающий банахово пространство Е на банахово пространство Е1, обладает ограниченным обратным и пусть – такой ограниченный линейный оператор, отображающий Е в Е1, что . Тогда оператор А= отображает Е на Е1 и обладает ограниченным обратным.
Теорема: Пусть Е – банахово пространство, I – тождественный оператор в Е, а А – такой ограниченный линейный оператор, отображающий Е в себя, что норма . Тогда оператор существует, ограничен и представляется в виде
.
Резольвента линейного оператора
Определение и примеры резольвенты оператора
Рассмотрим оператор А, действующий в (комплексном) линейном топологическом пространстве Е, и уравнение
Ах=
Решения этого уравнения зависят от вида оператора . Имеется три возможности:
уравнение Ах= имеет ненулевое решение, т.е. есть собственное значение для А; оператор при этом не существует;
существует ограниченный оператор , т.е. есть регулярная точка;
оператор существует, т.е. уравнение Ах= имеет лишь нулевое решение, но этот оператор не ограничен.
Введём следующую терминологию. Оператор называется резольвентой оператора А. Число мы назовём регулярным для оператора А, действующего в линейном топологическом пространстве Е, если оператор определён на всём Е и непрерывен, множество таких будем называть резольвентным множеством и обозначать . Совокупность всех остальных значений называется спектром оператора А, будем обозначать . Спектру принадлежат все собственные значения оператора А, так как если х=0 при некотором , то не существует. Их совокупность называется точечным спектром. Остальная часть спектра, т.е. совокупность тех , для которых существует, но не непрерывен, называется непрерывным спектром. Итак, каждое значение является для оператора А или регулярным, или собственным значением, или точкой непрерывного спектра. Возможность наличия у оператора непрерывного спектра – существенное отличие теории операторов в бесконечномерном пространстве от конечномерного случая.
В конечномерном же случае имеется лишь две первые возможности. Причём, называется собственным значением оператора, если данное уравнение имеет ненулевое решение. Совокупность всех собственных значений образуют спектр оператора, а все остальные значения называются – регулярными. Иначе, говоря , есть регулярная точка, если оператор обратим.
Рассмотрим насколько примеров резольвент операторов.
Пример 1: Возьмём оператор, переводящий конечномерное пространство в конечномерное, как было сказано выше, его можно задать матрицей коэффициентов:
, тогда
С помощью нехитрых преобразований находим обратную матрицу, тем самым резольвенту этого оператора:
,
здесь хорошо видно, что оператор, заданный этой матрицей не существует при =1, то есть это собственное значение оператора А.
Пример 2: Рассмотрим линейный оператор, отображающий пространство непрерывных функций на отрезке [a,b] на себя. Пусть это будет оператор умножения на функцию g(x). Тогда резольвента этого оператора запишется в следующем виде: , такой оператор непрерывен, если функция g(x) не принимает значение на отрезке [a,b], в противном случае будет являться собственным значением. То есть спектр этого оператора состоит из значений функции g(x) на отрезке [a,b]. Причём этот оператор имеет лишь непрерывный спектр, так как резольвента при существует, но не непрерывна. Точечного спектра оператор не имеет.
Пример 3: Рассмотрим оператор дифференцирования на множестве дифференцируемых функций. А: (для краткости будем писать вместо f(x) просто f). Рассмотрим резольвенту этого оператора: , то есть мы должны найти обратный оператор к оператору: , для чего надо решить дифференциальное уравнение относительно . Решим уравнение методом Бернулли:
;
;
;, откуда ,
тогда . Видно, что резольвента существует и непрерывна, когда существует и непрерывен интеграл.
Резольвентное множество. Спектр
Пусть А – оператор, действующий в В-пространстве. Если регулярна, т.е. оператор существует и ограничен, то при достаточно малом оператор тоже существует и ограничен, т.е. точка + тоже регулярна. Таким образом, регулярные точки образуют открытое множество. Докажем это.
Теорема: Резольвентное множество открыто, функция резолвента аналитична в этой области.
Доказательство:
Пусть - фиксированная точка в и - любое комплексное число, такое, что . Покажем, что . Оператор должен иметь обратный, если . Этот обратный оператор, если он существует, будет выглядеть так:
.
Рассмотрим эту дробь как сумму бесконечно убывающей геометрической прогрессии, тогда она представима в виде ряда
.
Мы предполагали, что , то , следовательно, этот ряд сходится. Покажем, то это резольвента :
,
отсюда и следует, что и что = аналитична в точке
Доказано.
Следовательно, спектр, т.е. дополнение этого множества – замкнутое множество, и резольвента аналитична на бесконечности.
Следствие: Если равно расстоянию от до спектра , то
, .
Таким образом, при и резольвентное множество есть естественная область аналитичности .
Доказательство:
В доказательстве предыдущей теоремы мы видели, что если , то . Следовательно, , от куда и следует доказываемое утверждение.
Доказано.
А сейчас рассмотрим резольвенту как функцию от и докажем несколько утверждений о её свойствах и особенностях. Для доказательства следующего утверждения нам понадобится следующая теорема.
Теорема 5: Пусть Е – банахово пространство, I – тождественный оператор в Е, а А – такой ограниченный линейный оператор, отображающий Е в себя, что . Тогда оператор существует, ограничен и представляется в виде
.
Доказательство:
Так как <1, то .Пространство Е полно, так что из сходимости ряда вытекает, что сумма ряда представляет собой ограниченный линейный оператор. Для любого n имеем
;
переходя к пределу при и учитывая, что , получаем
,
что и означает, что .
Доказано.
Теорема 7. Если А – ограниченный линейный оператор в банаховом пространстве и >, то – регулярная точка.
Доказательство:
Так как, очевидно, что ,
то
При < этот ряд сходится (см. теорему 5), т.е. оператор имеет ограниченный обратный. Иначе говоря, спектр оператора А содержится в круге радиуса с центром в нуле.
Доказано.
Из выше доказанной теоремы вытекает разложение резольвенты в ряд Лорана на бесконечности
При < этот ряд сходится. Но – это наименьшее из чисел С, удовлетворяющих неравенству:
Аf=Cf, если С – собственное значение, то и , то для наибольшего по модулю из собственных значений неравенство будет иметь место, с другой стороны, это число будет наименьшим. Следовательно, ряд будет сходиться при <(А), где (А) – наибольший модуль собственных значений оператора А. Величина (А) называется спектральным радиусом оператора А.
Теорема 8: (А)=.
Для доказательства воспользуемся теоремой Коши-Адамара, сформулируем её. Теорема Коши-Адамара: Положим , . Рассмотрим степенной ряд . Тогда он сходится всюду в круге и расходится всюду вне этого круга.
Доказательство:
Рассмотрим разложение резольвенты в ряд Лорана как степенной ряд:
.
По теореме Коши-Адамара его радиус сходимости равен числу
, но с другой стороны радиус сходимости ряда Лорана резольвенты есть спектральный радиус.
Доказано.
Уравнение Гильберта: .
Доказательство:
Возьмем . Учитывая, что , получаем следующее:
, что и требовалось доказать.
Доказано.
Следствие из уравнения Гильберта: .
Доказательство:
Оно вытекает из уравнения Гильберта: действительно, возьмём , тогда получим по уравнению Гильберта, что произведение равно отношению приращения функции к приращению аргумента, то есть , перейдя к пределу при получаем нужное равенство.
Доказано.
Теорема 9: .
Доказательство:
Докажем это равенство методом математической индукции, опираясь на предыдущее утверждение:
если k=1, то получаем следствие из уравнения Гильберта
.
Пусть для k=n равенство выполнено, то есть .
Докажем, что для k=n+1, оно тоже имеет место:
Получили, что если равенство выполняется для n, то оно выполняется и для n+1, то по аксиоме индукции оно выполняется и для всех натуральных чисел, что и требовалось доказать.
Доказано.
Таким образом, мы получили, что резольвента – функция бесконечно дифференцируемая.
Теорема 10: Зная все производные резольвенты, мы можем разложить её в ряд Тейлора в окрестности точки :
.
Напомним формулу разложения функции в ряд Тейлора:
, подставляя в эту формулу соответствующие элементы резольвенты, получаем нужное равенство.
Введение в нестандартный анализ
Один из наиболее принципиальных моментов нестандартного анализа состоит в том, что бесконечно малые рассматриваются не как переменные величины, а как величины постоянные. Достаточно раскрыть любой учебник физики, чтобы натолкнуться на бесконечно малые приращения, бесконечно малые объёмы и т. п. Все эти величины мыслятся, разумеется, не как переменные, а просто как очень маленькие, почти равные нулю.
Итак, речь будет идти о бесконечно малых числах. Какое число следует называть бесконечно малым? Предположим, что это положительное число , если оно меньше всех положительных чисел. Легко понять, что такого не бывает: если больше нуля, то оно является одним из положительных чисел, поэтому наше определение требует, чтобы число было меньше самого себя. Поэтому потребуем, чтобы было наименьшим в множестве положительных чисел. На числовой оси такое должно изобразиться самой левой точкой множества . К сожалению числа с указанными свойствами тоже нет и быть не может: число будет положительным числом, меньшим .
Более точное определение бесконечной малости числа >0 , которое мы будем использовать вдальнейшем таково. Будем складывать число с самим собой, получая числа + и т. д. Если все полученные числа окажутся меньше 1, то число и будет называться бесконечно малым. Другими словами, если бесконечно мало, то сколько раз не откладывай отрезок длины вдоль отрезка длины 1, до конца не дойдёшь. Наше требование к бесконечно малому можно переписать в такой форме
1<
Таким образом, если число бесконечно мало, то число бесконечно велико в том смысле, что оно больше любого из чисел: 1, 1+1, 1+1+1, 1+1+1+1 и т.д. Из сказанного можно видеть, что существование бесконечно малых противоречит так называемой аксиоме Архимеда, которая утверждает, что для любых двух отрезков А и В можно отложить меньший из них (А) столько раз, чтобы в сумме получить отрезок, превосходящий по длине больший отрезок (В).
Вывод таков: если мы хотим рассматривать бесконечно малые, мы должны расширить множество R действительных чисел до некоторого большего множества *R. Элементы этого нового множества мы будем называть гипердействительными числами. В нём аксиома Архимеда не выполняется, и существуют бесконечно малые числа, такие, что, сколько их не складывай с собой, сумма будет всё время оставаться меньше 1. Нестандартный, или неархимедов, анализ изучает множество гипердействительных чисел *R.
Какие требования естественно предъявлять к гипердействительным числам?
1). Чтобы множество гипердействительных чисел содержало все обыкновенные действительные числа: R *R.
2).Чтобы над гипердействительными числами можно было выполнять обычные операции: любые два гипердействительные числа нужно уметь складывать, умножать, вычитать и делить, причем так, чтобы выполнялись обычные свойства сложения и умножения. Кроме того, нужно уметь сравнивать гипердействительные числа по величине, т.е. решить какое из них больше.
Пусть имеется некоторое множество Р, в нём выделены некоторые элементы 0 и 1 и определены операции сложения, вычитания, умножения и деления, ставящие в соответствие двум любым элементам и множества Р их сумму , произведение , разность и частное (если ). Пусть при этом перечисленные операции обладают всеми обычными свойствами.
;
;
;
;
;
;
;
;
(если ).
В таком случае множество Р называется полем. Пусть на поле Р введён порядок, т. е. для любой пары не равных друг другу элементов и определено, который из них больше. При этом выполняются такие свойства:
если и , то ;
если , то для любого ;
если , , то ;
если , , то .
В таком случае говорят, что введенный порядок превращает Р в упорядоченное поле. Упорядоченное поле Р является неархимедовым тогда и только тогда, когда в нём есть положительные бесконечно малые элементы. Упорядоченное поле Р называется расширением поля действительных чисел R, если Р содержит все действительные числа и, кроме того, операции и порядок из Р, рассматриваемые на элементах их R, совпадают с обычными арифметическими операциями и обычным порядком на действительных числах.
Пример неархимедовой числовой системы
Построим пример неархимедова упорядоченного поля, являющегося расширением поля действительных чисел.
Предположим, что искомое расширение *R уже построено, и исследуем его строение. Элементы множества *R мы будем называть гипердействительными числами. Среди них содержатся и все действительные числа. Чтобы отличить их, будем называть действительные числа (элементы R) стандартными, а остальные гипердействительные числа (элементы *R/R)—нестандартными.
По нашему предположению, поле *R содержит бесконечно малые числа, не равные нулю. Гипердействительное число называется бесконечно малым, если все суммы
и т. д.
меньше 1. Здесь через обозначен модуль гипердействительного числа , определяемый так: .
Отметим, что стандартное число 0 также оказывается, согласно этому определению, бесконечно малым. Но все остальные бесконечно малые числа не могут быть стандартными. Это следует из того, что для стандартных чисел справедлива аксиома Архимеда.
Наряду с бесконечно малыми в поле *R существуют и бесконечно большие. Мы называем гипердействительное число А бесконечно большим, если
и т.д.
Если, бесконечно мало, но отлично от нуля, то число бесконечно велико. Верно и обратное, если число А бесконечно велико, то число бесконечно мало. Отсюда следует, что все бесконечно большие числа нестандартны.
Гипердействительные числа, не являющиеся бесконечно большими, называются конечными. Каждое конечное гипердействительное число можно представить в виде где – стандартное число, а –- бесконечно малое. Пусть – конечное гипердействительное число. Разобьём действительные числа на два класса: меньшие и большие . Т.к. конечно, то оба класса не пусты. По “аксиоме полноты“ существует действительное число , разделяющее эти классы. Легко видеть, что будет бесконечно малым. Число называется стандартной частью конечного гипердействительного числа . Обозначается это так:. Таким образом, множество конечных гипердействительных чисел разбивается на классы. Эти классы называются монадами. Монадой стандартного числа называется множество всех бесконечно близких к нему гипердействительных чисел.
Обсудив структуру нестандартного “микромира”, скажем несколько слов о строении нестандартного “макромира”. Их можно разбить на классы (“галактики”), каждый из которых устроен, подобно множеству всех конечных гипердействительных чисел. Среди галактик нет ни самой большой, ни самой малой; между любыми двумя галактиками есть бесконечно много других галактик.
Что ещё нужно знать о бесконечно малых?
Рассмотрим, что получается в результате построения поля гипердействительных чисел.
Прежде всего, мы получаем неархимедово расширение поля действительных чисел. Кроме того, “каждому объекту стандартного мира” поставлен в соответствие его аналог в “нестандартном мире”. Именно нестандартным аналогом любого действительного числа является оно само; любому подмножеству А множества R соответствует подмножество *А множества *R, каждой функции f из R в R соответствует функция *f из *R в *R, каждой двуместной функции g из R в R соответствует функция *g из *R в *R и т. д. Разумеется, эти аналоги *A, *f, *g не произвольны, а должны обладать некоторыми специальными свойствами: так, *А, на действительных числах f и *f совпадают, так что *f является продолжением для f, а *g – продолжением для g. При этом оказывается выполненным так называемый принцип переноса, утверждающий, грубо говоря, что в стандартном универсуме истинны те же утверждения формального языка, что и в нестандартном универсуме. Типичное использование состоит в том, что мы доказываем желаемый результат в нестандартном универсуме, а потом, заметив, что результат выразим в языке, заключаем, что он выполнен также в стандартном универсуме.
Приведем два примера “нестандартных определений” стандартных понятий. Пусть – последовательность действительных чисел, или, другими словами, функция из N в R. Её нестандартный аналог представляет собой функцию из *N в *R; значение этой функции на гипернатуральном числе m естественно обозначать .
Определение предела. Стандартное число называется пределом последовательности , если все бесконечно далекие члены этой последовательности бесконечно близки к , т.е. для всякого нестандартного гипернатурального числа разность бесконечно мала.
Определение предельной точки. Стандартное число называется предельной точкой последовательности , если некоторые бесконечно далёкие члены последовательности бесконечно близки к , т.е. существует такое нестандартное гипернатуральное число , что разность бесконечно мала.
А теперь докажем эквивалентность «нестандартного» определения предела последовательности «стандартному», пользуясь принципом переноса:
Доказательство:
Пусть , что обозначает
Применим к этому утверждению принцип переноса, получим:
Но бесконечно большие номера будут удовлетворять этому условию при , поэтому для бесконечных данное неравенство выполнится при , что и означает .
Пусть выполнено условие данного утверждения. Возьмём , то . По принципу переноса такое же утверждение верно и в стандартном универсуме, это и означает, что .
Доказано.
Рассмотрим ещё один пример: доказательство равномерной непрерывности функции на отрезке: функция f равномерно непрерывна на отрезке тогда и только тогда, когда
Доказательство:
Пусть f равномерно непрерывна на отрезке . Тогда для любого можно найти , такое , что
.
По принципу переноса получается, что влечёт . Если на самом деле , то заведомо и, следовательно, . Так как было произвольное положительное действительное число, то .
Пусть , как только и . Тогда для любого получаем, выбирая в качестве произвольное положительное бесконечное малое,
Используя принцип переноса, получаем стандартное описание равномерной непрерывности.
Доказано.
Рассмотрим доказательство 1ой теоремы Вейерштрасса «нестандартными средствами»: функция, непрерывная на отрезке, является на нём ограниченной.
Доказательство:
Так как функция f непрерывна, то , то есть , то , значит, представляет собой конечное число, при этом отрезок обладает таким свойством: в его расширении любая точка будет бесконечно близкой к некоторой точке самого отрезка. Отсюда все значения функции на расширении отрезка конечны, что означает, что функция ограничена.
Это не верно для интервала, так как в существуют точки , где , которые бесконечно близки к точке а, которая не входит в интервал.
Доказано.
Что же такое гипердействительное число?
Гипердействительные числа можно рассматривать как классы последовательностей обыкновенных действительных чисел. Рассмотрим способ построения классов. Его определение будет использовать так называемый нетривиальный ультрафильтр на множестве натуральных чисел. Объясним, что это такое.
Пусть некоторые множества натуральных чисел называются “большими”, а некоторые – “малыми”, причем выполнены следующие свойства:
Любое множество натуральных чисел является либо большим, либо малым. Ни одно множество не является большим и малым одновременно.
Дополнение (до N) любого малого множества является большим, дополнение любого большого множества – малым.
Любое подмножество малого множества является малым, любое надмножество большого – большим.
Объединение двух малых множеств является малым, пересечение дух больших множеств – большим.
Всякое конечное множество является малым, всякое множество, имеющее конечное дополнение – большим.
С помощью такого ультрафильтра построим искомое неархимедово расширение поля действительных чисел.
Будем говорить, что последовательности эквивалентны, если равенство “выполнено почти при всех i“, т.е. Если множество тех i, при которых , большое. Согласно свойству 5 любые последовательности, отличающиеся в конечном числе членов, эквивалентны. С каждой последовательностью сопоставим ее класс эквивалентности – класс всех эквивалентных ей последовательностей. Получающиеся классы эквивалентности будут называться гипердействительными числами. Обыкновенные действительные числа вкладываются в множество гипердействительных чисел. Таким образом, *R оказывается, как мы того и хотели, расширением множества R.
Определим сложение и умножение на гипердействительных числах. Пусть класс содержит последовательность , класс – последовательность . Назовем суммой классов и класс, содержащий последовательность ,а произведением последовательность . Корректность этих определений обеспечивается свойством 4 из определения ультрафильтра.
Итак, мы ввели на множестве гипердействительных чисел сложение, умножение и порядок. Нетрудно проверить, что мы получили упорядоченное поле, т.е. что во множестве гипердействительных чисел выполняются все обычные свойства сложения, умножения и порядка. Аксиома Архимеда, однако, в этом поле не выполняется.
А теперь посмотрим, как ведут себя расширения операторов.
Теорема 1:
Доказательство:
Пусть . Это внутреннее множество. Внутренне числовое множество имеет супремум. Пусть . Если М – конечен, то А – ограничен. Если М – бесконечен, то такой, что , но , то есть – бесконечна. Рассмотрим , но, с другой стороны, . Получили противоречие, если предположить, что норма бесконечна. Значит оператор А ограничен.
Доказано.
Теорема 2:
Доказательство:
Пусть есть операторы А и А1 такие, что
.
Воспользуемся теоремой:
Если оператор и обратим, а так же есть оператор В такой, что , то А1 – обратим, причём .
Поскольку данные операторы бесконечно близки, то норма их разности есть число бесконечно малое. А норма оператора А – конечна, а бесконечно малое число, естественно, меньше числа, обратного конечному, что гарантирует выполнение неравенства . Поэтому оператор В тоже обратим. Оценим норму , воспользуемся вторым неравенством: – конечна, , от сюда , то . Так как мы поняли, что оператор А1 обратим, то это неравенство можно записать по-другому:
, от куда получим . Имеем одновременное выполнение двух неравенств: и , то есть , откуда . Что и требовалось доказать.
Доказано.
Определение резольвенты в этом поле такое же, как и в стандартном. Но есть некоторое расхождение в определении спектра и собственного вектора.
Спектром линейного оператора в называется множество:
.
Здесь пользуются определением не собственного вектора, а почти собственного вектора:
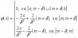
Когда оператор существует, но этот оператор не ограничен, и уравнение имеет ненулевое решение, тогда вектор х мы будем называть почти собственным вектором. А число является элементом непрерывного спектра. Выше мы рассматривали пример линейного оператора, отображающий пространство непрерывных функций на отрезке [a,b] на себя: оператор умножения на функцию g(x). Возьмём в качестве функции , тогда резолвента этого оператора запишется в следующем виде , тогда непрерывным спектром будет являться сам отрезок .
y
a
b

m


x
Рассмотрим функции вида (Рис. 1):
Рис. 1
Где m – некоторая точка отрезка , а . Такие функции будут непрерывны на отрезке и являются почти собственными векторами оператора умножения на функцию g(x)=х. То есть выполняется: . Покажем это. Для этого надо показать, что . В пространстве норма такая же, как и в его стандартном аналоге. Интеграл по принципу переноса считается аналогично.
Таким образом, получили, что .
Теорема 3:
Доказательство:
– ограничен, то ограничен и оператор , то по теореме 1 выполняется . А поскольку он ещё и обратим, то выполняется , так как
По теореме 1условие означает, что оператор ограничен, из чего и следует ограниченность оператора .
Доказано.
Теорема 4:
Доказательство:
Пусть есть число , то – ограничен, а по теореме 3 при этом выполняется условие , поскольку речь идёт о линейных операторах, то можно записать: , а следовательно, , от куда , то есть условие при .
Пусть есть некоторое число для оператора , такое, что , но , то условие можно переписать так:
.
Проведём доказательство методом от противного. Предположим, что число , для которого выполняется это условие, принадлежит спектру, но тогда по определению спектра резольвента оператора является неограниченным оператором, а по теореме 1 не выполнится условие , то есть , где , имеем, с одной стороны,
,
а, с другой,
,
получили противоречие. Значит .
Доказано.
М. Девис. Прикладной нестандартный анализ – Москва: Изд-во Мир, 1980 год.
А.Н. Колмогоров, С.В. Фомин. Элементы теории функций и функционального анализа.
Н. Данфорд, Дж.Т. Шварц. Линейные операторы.
И.М. Глазман, Ю.И. Любич. Конечномерный линейный анализ.
В.А. Успенский. Что такое нестандартный анализ? –
Москва: изд-во «Наука», 1987
Нравится материал? Поддержи автора!
Ещё документы из категории математика:
Чтобы скачать документ, порекомендуйте, пожалуйста, его своим друзьям в любой соц. сети.
После чего кнопка «СКАЧАТЬ» станет доступной!
Кнопочки находятся чуть ниже. Спасибо!
Кнопки:
Скачать документ