Статистический анализ условий социально-экономического развития Ленинградской области

































































































































Северо-Западная академия государственной службы
Курсовая работа
по дисциплине Статистика
на тему
Статистический анализ условий социально-экономического развития Ленинградской области
Выполнил
Студент курса
группы
отделения
Руководитель
Санкт-Петербург
2007
Содержание
Введение 3
Глава 1. Основная характеристика и прогноз развития Ленинградской области 4
1.1. Демографическая ситуация 4
1.2. Валовой региональный продукт 5
1.3. Промышленность 6
Глава 2. Исследование динамики некоторых показателей 26
2.1. Объем произведенного ВРП 27
2.2. Объем собственных доходов консолидированного бюджета 29
2.3. Объем инвестиций в основной капитал 32
2.4. Объем промышленного производства 34
2.5. Среднемесячная номинальная начисленная заработная плата одного работника 37
Глава 3. Пути совершенствования социально-экономической статистики 39
Заключение 46
Литература 50
Введение
Ленинградская область на сегодняшний день является одним из наиболее экономически развитых регионов России. Экономическая ситуация в регионе в 1999-2007 годах характеризовалась положительной динамикой развития.
Основной показатель успешного развития региона – постоянно увеличивающиеся объемы валового регионального продукта (ВРП). За последние семь лет ВРП увеличился в 2,1 раза и достиг 266,5 млрд. рублей.
В структуре ВРП наметилась устойчивая тенденция увеличения доли услуг за счет развития транспорта и связи, торговли и коммерческой деятельности по реализации товаров и услуг.
Основой экономического потенциала Ленинградской области является промышленное производство. Положительная динамика развития областной промышленности является результатом вложения значительного объема российских и иностранных инвестиций в создание новых предприятий, реконструкцию и модернизацию действующих. В 2006 году промышленное производство к уровню 1999 года выросло в 2,4 раза1. Индекс промышленного производства в январе-мае текущего года составил 110,8% к достаточно высокому показателю аналогичного периода 2006 года (115,1%). Объем промышленного производства на душу населения в 2006 году в Ленинградской области (147,3 тысяч рублей) превысил российский показатель на 30%, в 1999 году (21,8 тысяч рублей) – на 2%.
Основная доля выпуска промышленной продукции приходится на обрабатывающие производства, объемы которых за последние четыре года выросли в 2 раза, а за январь-май 2007 года к январю-маю 2006 года – на 11,5%. Наиболее высокие темпы роста объемов производства за рассматриваемый период зафиксированы в производстве транспортных средств и оборудования – в 21,5 раза.
Промышленность Ленинградской области имеет глубоко диверсифицированную структуру. Наибольший удельный вес в общем объеме промышленного производства занимает производство пищевых продуктов (23,7%), целлюлозно-бумажное производство, производство изделий из дерева (12,3%), производство транспортных средств и оборудования (10,7%), производство кокса и нефтепродуктов (9,4%).
Доля малых предприятий в общем обороте предприятий составляет примерно 15%, в 2006 году ими произведено промышленной продукции более чем на 12 миллиардов рублей.
Благоприятный инвестиционный климат в области обеспечивает рост российских и прямых иностранных инвестиций, что способствует устойчивому развитию экономики и социальной инфраструктуры области.
В области создана гарантированная законодательная база по развитию и поддержке инвестиционной деятельности. Начиная с 1999 года, отмечается рост объемов инвестиций в основной капитал. В 2006 году объем инвестиций в основной капитал к 1999 году вырос в 2,2 раза2. Объем инвестиций в основной капитал в 2006 году составил 122,6 млрд. рублей, в январе-мае 2007 года – 23,5 млрд. рублей. Наибольший удельный вес составляют инвестиции в развитие промышленного производства и транспорта. Наряду с новым строительством реконструируются и модернизируются многие действующие производства, в полном объеме реализуется адресная инвестиционная программа.
Актуальность работы обусловлена необходимостью уметь прогнозировать экономические показатели.
Задачи работы:
Дать характеристику основным социально-экономическим показателям области
Описать задачи и пути совершенствования социально-экономической статистики
Цель работы. Построить тренды некоторых наиболее важных показателей и дать прогноз на 2007-2008 года.
В работе используются методы регрессионного анализа.
Глава 1. Основная характеристика и прогноз развития Ленинградской области
1.1. Демографическая ситуация
В 2006 году тенденция роста уровня рождаемости, отмечавшаяся с 2001 года, сменилась на противоположную. За 2006 год уровень рождаемости сократился на 6%. В то же время стабилизировался общий уровень смертности.
С 1990 года тенденция естественной убыли населения в Ленинградской области носит устойчивый характер. Единственным источником пополнения населения остается внешняя миграция. Миграционный прирост на 56% компенсирует естественную убыль.
В январе-апреле 2007 года уровень рождаемости по сравнению с соответствующим периодом прошлого года незначительно снизился. Вместе с тем, отмечалось уменьшение естественной убыли населения под влиянием более ощутимого снижения смертности. Число умерших сократилось на 3,8%, а коэффициент смертности снизился с 20,8 до 20,2 человек на 1000 населения.
По оценке, в 2007 году сокращение среднегодовой численности населения области (на 0,5%) по-прежнему будет обусловлено высокой естественной убылью населения. При этом прогнозируется некоторое снижение уровня естественной убыли (с 12,5 в 2005 году до 11,5 человек на 1000 населения) вследствие ожидаемого незначительного роста общего коэффициента рождаемости (с 7,8 до 8,0 человек на 1000 населения) и снижения показателя смертности (с 20,3 до 19,5 человек на 1000 населения).
В 2007 году среднегодовая численность постоянного населения составит 99,6% к 2006 году.
Общий коэффициент рождаемости в случае реализации мер материальной поддержки семей с детьми может увеличиться до 8,2 человек на 1000 населения.
Существенных изменений в развитии процессов смертности не предполагается. Общий коэффициент смертности составит в 2007 году 19,6 человек на 1000 населения. Коэффициент естественной убыли населения сократится до 11,4 человек на 1000 населения.
Сохранится положительная динамика миграции населения в область3.
В 2008-2009 годах тенденция роста рождаемости продолжится. Под влиянием намеченных мероприятий по стимулированию рождаемости ожидается увеличение коэффициента рождаемости до 8,9 человек на 1000 населения в 2009 году.
Прогнозируется некоторый рост смертности вследствие дальнейшего развития тенденции старения населения (увеличения численности населения старше трудоспособного возраста) до 20,0 человек на 1000 населения в 2009 году. Естественная убыль населения сократится до 11,1 человек на 1000 населения.
Коэффициент миграционного прироста увеличится до 77,9 человек на 10 тысяч населения в 2009 году. В результате прогнозируемых тенденций в развитии процессов естественного и миграционного движения численность населения Ленинградской области в 2009 году составит 1622,4 тыс. человек или 99,3% к 2007 году.
1.2. Валовой региональный продукт
В Ленинградской области сложилась устойчивая тенденция роста валового регионального продукта (ВРП) прежде всего в результате положительной динамики развития промышленного комплекса. За 2006 год ВРП составил 174,3 млрд. рублей (108,8% к уровню 2003 года в сопоставимых ценах). В структуре ВРП преобладает производство товаров, доля которого – 54,3%, доля производства услуг – 36,6%. В то же время за последние годы сформировалась устойчивая тенденция роста доли производства услуг за счет развития транспорта и связи, торговли и коммерческой деятельности по реализации товаров и услуг.
По оценке 2007 года ВРП в области составит 209,5 млрд. рублей или 108,3% к уровню предыдущего года в сопоставимых ценах. Доля производства услуг возрастет до 36,8%, доля производства товаров снизится до 53,4%. По предварительной оценке за 2006 год ВРП увеличится на 8% в сопоставимых ценах, за 2007 год – на 6,5%.
В среднесрочной перспективе тенденция роста ВРП сохранится, за 2008-2009 годы прирост ожидается на 11%. В 2009 году доля производства товаров составит 52,2%, доля производства услуг – 38,1%.
1.3. Промышленность
В 2006 году индекс промышленного производства по полному кругу предприятий составил 105,9% к уровню предыдущего года. Положительная динамика по основным видам деятельности наблюдалась в обрабатывающих производствах (107,5%). Снижение производства зафиксировано в производстве и распределении электроэнергии, газа и воды (97,5%, из-за сокращения выработки тепловой энергии) и добыче полезных ископаемых (85%, по причине остановки добычи сланца с 1 апреля 2005 года в ОАО «Ленинградсланец» ввиду прекращения переработки горючих сланцев в Эстонии и отсутствия альтернативных перерабатывающих мощностей на территории Российской Федерации).
Функционирование промышленных предприятий в текущем году характеризуется высокими темпами роста, индекс промышленного производства по полному кругу предприятий в январе-мае составил 131,3%, при этом положительная динамика наблюдалась по всем основным видам деятельности. Добыча полезных ископаемых возросла на 10,8%, выпуск продукции в обрабатывающих производствах – на 35,9%, производство и распределение электроэнергии газа и воды - на 0,8%.
Увеличение объема промышленного производства обеспечено, в основном, работой предприятий обрабатывающих производств4. Кроме того, устойчиво с ростом объемов производства функционировали предприятия, относящиеся к следующим видам деятельности: производство электрооборудования, электронного и оптического оборудования (рост на 23,3%), производство машин и оборудования (в 1,7 раза), обработка древесины и производство изделий из дерева (на 35,9%).
Итоги работы промышленных предприятий в январе-мае дают основания прогнозировать в 2007 году более высокий темп роста промышленного производства, чем в предыдущем году, по оценке в 2007 году прирост выпуска продукции составит 15,5% к уровню 2005 года. Сокращение объемов выпускаемой продукции не прогнозируется ни по одному виду деятельности – добыча полезных ископаемых возрастет на 4,2%, выпуск продукции в обрабатывающих производствах - на 16,8%, производство и распределение электроэнергии, газа и воды - на 5%. Основную долю прироста промышленного производства составят обрабатывающие производства за счет следующих видов экономической деятельности: обработка древесины и производство изделий из дерева (прогнозируемый прирост на 10%), производство резиновых и пластмассовых изделий (на 35%), производство транспортных средств и оборудования (в 1,6 раза), производство электрооборудования, электронного и оптического оборудования (на 18%).
В целом по промышленному комплексу планируется рост объемов производства на уровне 9%. В среднесрочной перспективе предполагается дальнейшее увеличение объемов выпускаемой продукции, рост объемов промышленного производства в 2009 году составит 14,8% к уровню 2007 года. Спада объемов производства не ожидается ни по одному виду экономической деятельности.
Транспорт. Объём услуг, оказываемых крупными и средними организациями транспорта, за 2005 год составил 48 868 млн. руб., что на 20,1% (без учета инфляции) больше уровня 2004 года.
За январь-май 2006 года общий объем перевозок грузов5. Объем переработки грузов, выполненный стивидорными организациями Ленинградской области, осуществляющими деятельность на акватории портов Финского залива, составил 32 млн. т (115,5%).
Несмотря на рост показателей работы транспорта в натуральном выражении, в результате пересмотра ООО «Балтнефтепровод» внутренних тарифов на транспортировку нефти и отсутствия роста тарифов на погрузку нефти ООО «Приморский торговый порт» объем услуг крупных и средних организаций транспорта сократился на 3,1% (в действующих ценах) к соответствующему периоду прошлого года и составил 19 436 млн. руб.. Доля объема услуг трубопроводного транспорта составляет порядка 45% общего объема услуг.
Данная ситуация отрицательно сказалась и на финансовых показателях. Так, если сальдированный результат за 2005 год по транспорту и связи составлял 18 853 млн. руб. (121,2% к уровню предыдущего года), то в январе-апреле 2006 года снижение составило почти на 50% к соответствующему периоду прошлого года – 3 619 млн. руб., и до конца года прироста не ожидается.
В целом за 2006 год объём услуг, оказываемых крупными и средними предприятиями транспорта, составил 49 млрд. руб. (100,2% к уровню 2005 года в действующих ценах) с учетом роста показателей работы трубопроводного транспорта и стивидорных организаций в натуральном выражении за счет увеличения мощностей.
В 2007 году сохранится тенденция роста объемов транспортировки и переработки грузов за счет увеличения мощностей трубопроводного транспорта и стивидорных организаций.
Потребительский рынок. Оборот розничной торговли по полному кругу организаций за 2005 год составил 62,7 млрд.руб. или 122% к уровню предыдущего года в результате увеличения сети объектов розничной торговли на 3,7%.
В текущем году продолжается позитивное развитие отрасли. За январь-май 2006 года оборот розничной торговли составил 27,7 млрд.руб. или 106,2% к аналогичному периоду прошлого года.
Динамика развития розничного сектора указывает на достаточную насыщенность территорий муниципальных образований мощностями предприятий розничной торговли. Средняя обеспеченность мощностями розничной торговли по Ленинградской области cоставляет 135% от норматива.
До конца года тенденция роста оборота розничной торговли сохранится и в целом за 2006 год рост составит 5% к уровню предыдущего года. В текущем году намечены вводы двух торгово-развлекательных комплексов МЕГА-Дыбенко в д.Кудрово и МЕГА-Парнас в д.Бугры Всеволожского района, размещение сетевых магазинов (в частности предприятий «Пятерочка», «Карусель»), замещение мелкорозничной торговли современными торговыми комплексами.
В 2007 году оборот розничной торговли составит 83,4 млрд.руб. или 108% к уровню 2006 года, в 2008-2009 годах ожидается ежегодный рост на 9%. Во всех муниципальных образованиях на основе социальных стандартов разработаны схемы развития предприятий потребительского рынка до 2010 года, в соответствии с которыми за 2007-2010 годы будет введено 73 торговых комплекса, 208 магазинов, 29 рынков, 104 павильона в городской и сельской местности.
Оборот общественного питания в 2005 году с учетом проведенного сплошного статистического обследования индивидуальных предпринимателей составил 3,5 млрд.руб. или 128,8% к 2004 году. Сеть предприятий общественного питания на 1 января текущего года насчитывала 2 тыс. объектов. В прошлом году произошло сокращение пищеблоков учебных заведений (сокращение сети профтехучилищ), предприятий, но при этом количество ресторанов, кафе, баров, общедоступной сети возросло на 1,5%. Средняя обеспеченность мощностями общественного питания (посадочные места) по области составляет 155%.
За 5 месяцев 2006 года оборот общественного питания составил 1,7 млрд.руб. или 118,4% к соответствующему периоду прошлого года. В рамках успешно развивающегося предпринимательства, открытия в крупных торговых комплексах филиалов сетевых предприятий общественного питания, предприятий системы быстрого питания оборот общественного питания увеличивается и за 2006 год составит 3,9 млрд. руб. или 106% к уровню 2005 года (на фоне высокого темпа роста за 2005 год).
Прогноз на 2007–2009 годы формировался на основе схем развития предприятий общественного питания в муниципальных образованиях. За 2007– 2010 годы на территории области в данном секторе будет открыто 141 предприятие, в том числе 16 ресторанов, 111 кафе и 14 столовых. В 2007 году оборот общественного питания возрастет на 4% к уровню предыдущего года, за 2008-2009 годы – на 11,3%.
Объем платных услуг населению в 2005 году составил 14,8 млрд. руб. или 106,3%6. В 2006 году произошло незначительное замедление динамики. В январе-мае 2006 года было оказано услуг населению на 7,3 млрд. руб. или 100,6% к соответствующему периоду прошлого года. В целом в 2006 году объем платных услуг населению возрастет на 2% к уровню 2005 года. В перспективе структура платных услуг принципиально не изменится. Наращивание объемов жилищного строительства будет способствовать росту объемов жилищно-коммунальных услуг, сдерживающим фактором является установка населением индивидуальных счетчиков учета воды. Дальнейшее развитие рынка услуг связи связано с внедрением новых видов услуг почтовой связи на базе почтово-кассовых терминалов и контрольно-кассовых аппаратов, развитием сети Интернет, мобильной связи. Постепенный рост объема транспортных услуг населению предполагается за счет приобретения новых транспортных средств и увеличения маршрутов основными предприятиями транспорта - ГУПом «Гатчинапассажиравтотранс» и филиалом ОАО «Российские железные дороги» Октябрьской железной дорогой. Резервом развития бытовых услуг является размещение на территории области прачечных, химчисток, комплексных пунктов приема заказов в сельской местности. По этим видам бытовых услуг обеспеченность мощностями составляет от 8% до 22% от норматива. Основными источниками увеличения объема платных услуг населению в сфере образования остается рост численности обучающихся в средних и высших учебных заведениях по договорам с возмещением затрат на обучение, совершенствование механизма формирования регионального заказа на подготовку кадров в соответствии с потребностями экономики области, привлечение средств работодателей и других заинтересованных структур в систему профессионального образования.
В 2007 году объем платных услуг населению увеличится на 4% к уровню предыдущего года, за 2008-2009 годы – на 11,3%.
Малое предпринимательство. По итогам 2005 года на территории Ленинградской области осуществляли деятельность 1174 тысяч малых предприятий, на которых работали с учетом вторичной занятости 150,6 тысяч человек (106% к уровню прошлого года), в том числе на условиях постоянной занятости – 138,7 тысяч человек (108%). Кроме того, на 1 января 2006 года по сведению УФНС России по Ленинградской области прошли перерегистрацию и встали на налоговый учет 25,1 тысяч индивидуальных предпринимателей. Всего, включая 6,1 тысяч фермерских (крестьянских) хозяйств малый бизнес обеспечивает работой каждого третьего от числа занятых в экономике Ленинградской области.
В структуре малых предприятий наибольший удельный вес занимали предприятия оптовой, розничной торговли, ремонта автотранспортных средств, мотоциклов, бытовых изделий и предметов личного пользования – 34%, предприятия обрабатывающих производств составляли 16%, строительные организации - 12%.
Оборот малых предприятий за 2005 год составил 62,9 млрд. руб. или 16% от общего оборота организаций Ленинградской области. Объем инвестиций в основной капитал малых предприятий в 2005 году остался на уровне 2004 года и составил 1 млрд. рублей.
Фактические налоговые поступления по ЕНВД и упрощенной системе налогообложения в 2005 году составили 571 млн. рублей, что на 48% больше, чем в 2004 году. Специальные налоговые режимы используют более 40% малых предприятий и около 75% индивидуальных предпринимателей области.
Комитет по развитию малого, среднего бизнеса и потребительского рынка Ленинградской области активно участвует в программах Министерства экономического развития и торговли Российской Федерации, которым разработаны мероприятия по поддержке малого предпринимательства. На реализацию этих мероприятий предусматриваются средства из федерального бюджета с софинансированием со стороны субъектов Российской Федерации. В 2006 году Ленинградская область признана победителем конкурсов по направлениям «Развитие системы кредитования малого предпринимательства» и «Поддержка субъектов малого предпринимательства, производящих товары (работы, услуги), предназначенные на экспорт», на реализацию которых из федерального бюджета будет привлечено 4,2 млн. рублей.
По предварительной оценке к концу 2006 года по сравнению с 2005 годом прогнозируется сокращение числа малых предприятий до 10,9 тыс. единиц в связи с введением в действие в текущем году порядка исключения юридических лиц из единого государственного реестра юридических лиц по решению регистрирующего органа в соответствии с Федеральным законом от 02.07.2005 года № 83-ФЗ. Среднесписочная численность занятых на малых предприятиях составит 138,6 тысяч человек.
Оборот малых предприятий в 2006 году составит 70 млрд. рублей (101,5% к 2005 году в сопоставимых ценах), из которых 30,4 млрд. рублей или 43% будет приходиться на предприятия оптовой и розничной торговли, ремонта автотранспортных средств мотоциклов, бытовых изделий и предметов личного пользования; 15,7 млрд. рублей (22,5%) - на предприятия, занимающиеся промышленной деятельностью; 9,5 млрд. рублей (13,6%) – на строительные организации.
Государственные меры поддержки малого предпринимательства, предусмотренные региональной целевой программой «Развитие и государственная поддержка малого предпринимательства в Ленинградской области на 2006–2008 годы», утвержденной областным законом от 21.02.2006 года №6-оз, содействуют более динамичному развитию малого предпринимательства в Ленинградской области. Так в рамках ключевого направления программы - ресурсной поддержки субъектов малого предпринимательства за 1 полугодие 2006 года ОАО «Агентство кредитного обеспечения» заключено 8 договоров поручительства на общую сумму 11,6 млн. рублей, что позволило привлечь в сферу малого предпринимательства 63 млн. рублей. Всего с 2004 года за время деятельности Агентства заключено 37 договоров поручительства. Общая сумма выданных обязательств составила 26,8 млн. рублей, в сферу малого предпринимательства привлечено 105,7 млн. рублей.
Востребованными являются такие мероприятия, предусмотренные Программой, как компенсация части затрат субъектам малого предпринимательства, связанных с произведенными ими выплатами в счет погашения денежных обязательств по кредитным и лизинговым договорам, предоставление муниципальными организациями льготных займов субъектам малого предпринимательства.
В среднесрочной перспективе программно-целевой подход при формировании и реализации политики государственной поддержки малого предпринимательства окажет существенное влияние на сохранение положительных тенденций развития малого бизнеса в Ленинградской области.
В рамках региональной целевой программы «Развитие и государственная поддержка малого предпринимательства в Ленинградской области на 2006–2008 годы» будет продолжена работа по всем основным направлениям поддержки субъектов малого предпринимательства в целях устойчивого роста уровня развития малого бизнеса в регионе, усиления влияния малого предпринимательства в условиях реформы местного самоуправления на социально-экономическое развитие депрессивных муниципальных образований, более активного вовлечения в сферу малого предпринимательства социально незащищенных слоев населения и молодежи, ускорения развития малого бизнеса в приоритетных для Ленинградской области сферах развития малого предпринимательства.
В 2007 году прогнозируется сохранение числа малых предприятий на уровне 2006 года – 10,9 тыс. единиц. На это повлияют такие факторы, как ликвидация юридических лиц в соответствии с порядком исключения юридических лиц из единого государственного реестра юридических лиц, и, одновременно, увеличение количества юридических лиц, связанное с тем, что с 1 июля 2006 года поставка и продажа алкогольной продукции осуществляются только юридическими лицами7. Среднесписочная численность занятых на малых предприятиях увеличится до 140 тысяч человек. Прогнозируемое число работающих на одном малом предприятии в среднем останется постоянным – около 13 человек.
Рост оборота малых предприятий на 5,2% прогнозируется за счет увеличения объемов предприятий в обрабатывающих производствах, в строительном комплексе и в сфере социальных и бытовых услуг населению.
В 2008-2009 годах количество малых предприятий будут ежегодно увеличиваться на 300 единиц при среднегодовом росте среднесписочной численности занятых на малых предприятиях на 3,6-4,0 тыс. человек. Рост оборота малых предприятий в 2009 году составит 11% к 2007 году.
Инвестиционная деятельность. В 2006 году в результате благоприятного инвестиционного климата в области объемы российских инвестиций в основной капитал за счет всех источников финансирования на развитие экономики и социальной сферы области возросли до 78,3 млрд. руб. (96,8% к уровню 2005 года) и иностранных - до 351,2 млн. долл. США (рост в 2,2 раза); 87% от общего объема инвестиций приходится на производственную сферу.
Введены в эксплуатацию крупные производственные объекты: во Всеволожском районе - завод по производству автомобильных шин ЗАО «Нокиан Тайерс», производство бытовых и промышленных электрических водонагревателей ООО «Мерлони ТермоСанитари Русь», 2–я технологическая линия производства алюминиевой банки для напитков ООО «РОСТАР-Всеволожск», в Выборгском районе - 2-ая очередь распределительно-перевалочного комплекса РПК ОАО «Лукойл» в порту «Высоцк», нефтеналивной терминал (БТС) и комплекс по перевалке нефти и нефтепродуктов (расширение до 50 млн. т нефти в год) в порту «Приморск» и др. Реконструированы и модернизированы многие действующие производства. В полном объеме реализованы адресные программы капитального строительства жизненно важных социальных объектов.
Внешнеэкономическая деятельность. Внешнеторговый оборот Ленинградской области за 2006 год составил 8610,9 млн. долларов США, что на 32% больше уровня предыдущего года. При этом импорт товаров увеличился на 48%, экспорт – на 26%. Экспорт товаров превысил импортные поставки в 2,4 раза, сальдо торгового баланса составило 3550 млн. долларов США.
Торговые операции осуществлялись с партнерами из 123-х стран. Доля стран дальнего зарубежья в общем товарообороте области составила 96%.
Внешнеэкономическую деятельность осуществляли 879 участников, наиболее крупными из них явились следующие предприятия: ООО «ПО «Киришинефтеоргсинтез», ЗАО «Филип Моррис Ижора», ЗАО «Форд Мотор Компани», ОАО «Светогорск», ООО ПГ «Фосфорит», ООО «Катерпиллар Тосно», ООО «Нокиан Шина».
Экспортные поставки составили 6080,3 млн. долларов США. Стоимостной объем экспортных поставок в страны дальнего зарубежья увеличился на 24%, в страны СНГ – на 83%. В структуре экспорта лидирует экспорт минеральных продуктов – 79,4% от всего объема экспорта Ленинградской области. Второе место по экспорту занимает товарная группа «древесина, бумага и изделия из нее», доля этой группы товаров составляет 6,4%.
Импортные поставки составили 2530,7 млн. долларов США. На страны дальнего зарубежья приходится 98,7% всего объема импорта области. В импорте области лидирует машиностроительная продукция, стоимостной объем которой увеличился на 79%, доля этой группы товаров составила 37,6% от всего объема импорта и продовольственные товары, доля которых составила 33,4%, стоимостной объем импорта продовольствия увеличился на 42%.
В первом квартале 2006 года внешнеторговый оборот составил 2077,4 млн. долларов США, что на 12,4% больше уровня соответствующего периода прошлого года. По оценке 2006 года внешнеторговый оборот составит 10400 млн. долларов США, что на 20,8% превысит уровень 2005 года, возрастут как импортные (на 26,5%), так и экспортные поставки (на 18,5%).
Тенденция роста внешнеторгового оборота в прогнозируемом периоде сохранится, в 2007 году – на 19%, в 2009 году – на 34% к уровню 2007 года. Структура и направленность экспортных и импортных поставок сохранится.
Экспорт в 2007 году увеличится на 16% по сравнению с 2006 годом; в 2009 году – на 23% к уровню 2007 года. Импортные поставки в 2007 году возрастут на 26% к уровню 2006 года, в 2009 году – на 56% к уровню 2007 года. Рост импорта более высокими темпами ожидается в соответствии с реализацией инвестиционных проектов на территории области, предусматривающих приобретение импортного оборудования и комплектующих.
Финансы. Прогноз сводного финансового баланса Ленинградской области на 2007–2009 годы разработан в соответствии с Бюджетным и Налоговым кодексами Российской Федерации.
В расчетах учтены изменения налогового и бюджетного законодательства, проведение мероприятий по реструктуризации задолженности прошлых лет по платежам в бюджеты всех уровней и внебюджетные фонды, а также погашение недоимки по налоговым платежам и ряда других обстоятельств, влияющих на объем доходов.
Несмотря на сложившиеся позитивные тенденции в экономике области, прогнозировать существенное увеличение доходной части бюджета Ленинградской области не представляется возможным вследствие активного реформирования налогового и бюджетного законодательства, изменения структуры и пропорции распределения основных бюджетообразующих налогов, концентрации существенной доли доходов в федеральный бюджет.
Доходы (без учета взаимоотношений с другими уровнями власти) в 2007 году составят 138,9 млрд. рублей или 52,3% от валового регионального продукта.
Прогнозируется, что налоговые доходы в области составят 38,3% от доходной части баланса, прибыль прибыльных организаций – 32,5%, амортизационные отчисления – 14,7%, средства единого социального налога – 12,6%.
Из собранных на территории области в 2007 году финансовых средств в федеральный бюджет будет направлено 27,1 млрд. рублей или 19,5% от доходов баланса.
Доходы с учетом взаимоотношений с федеральным уровнем власти составят 110,7 млрд. рублей или 41,7% от валового регионального продукта.
Общая сумма расходов в 2007 году прогнозируется в размере 112,3 млрд. рублей, из них 19,4% - расходы на социально-культурные мероприятия, финансируемые за счет средств бюджета области.
Общие расходы Ленинградской области на 2007 год прогнозируются с дефицитом 1,66 млрд. рублей. В 2008-2009 годах доходы территории составят соответственно 122,8 млрд. рублей и 134,96 млрд. рублей (111,0% и 109,9% по отношению к предыдущему году).Доля прибыли прибыльных организаций в доходах 2008-2009 годов составит соответственно 40,6% и 40,4%, амортизационных отчислений – 17,9% и 17,6%, налогов и взносов на социальные нужды – 16,6% и 17,1%.
Из собранных на территории области в 2008-2009 годах финансовых средств в федеральный бюджет соответственно будет передано 31,4 млрд. рублей (25,6% от доходов баланса) и 34,6 млрд. рублей (25,7%). Общая сумма расходов в 2008-2009 годах прогнозируется соответственно в размере 125,3 млрд. рублей и 135,9 млрд. рублей, из них 19,1% и 19,2% - расходы на социально-культурные мероприятия, финансируемые за счет средств бюджета области. Общие расходы Ленинградской области на 2008-2009 годы прогнозируются с дефицитом 2,45 млрд. рублей и 1,01 млрд. рублей соответственно.
Уровень жизни населения. На фоне устойчивого экономического подъема стабильно повышается жизненный уровень населения Ленинградской области.
В 2006 году по сравнению с 2005 годом темп роста денежных доходов населения (126%) превысил инфляцию, уровень которой в области составил 112%. Ожидается, что такая же тенденция сохранится и в 2007 году (темп роста денежных доходов населения - 120,6%, уровень инфляции - 113,2%) и на период до 2009 года (115,8% и 109% соответственно).
Реально располагаемые денежные доходы населения по оценке 2007 года возрастут по сравнению с 2006 годом на 7%. В среднесрочной перспективе денежные доходы населения в реальном выражении будут увеличиваться и составят 106,7% в 2009 году к уровню предыдущего года.
Основным и стабильным источником доходов населения являются доходы, получаемые по месту работы, - это заработная плата и выплаты социального характера, рост которых, по-прежнему, является важнейшим фактором обеспечения повышения жизненного уровня населения.
В Ленинградской области имеет место динамичный рост заработной платы8. Таким образом, заработная плата в 2009 году по сравнению с 2005 годом вырастет в 2,1 раза.
Динамика роста обусловлена как высоким уровнем заработной платы на предприятиях, размещающих свои производственные мощности на территории Ленинградской области в результате реализации инвестиционных проектов, так и проводимой Правительством Ленинградской области активной политикой повышения заработной платы, своевременности и легализации выплат.
Высокий рост заработной платы обеспечивается за счет внедрения трудосберегающих производственных технологий и значительным повышением производительности труда в ведущих отраслях производственной сферы, что потребует высококвалифицированных специалистов.
Вместе с тем, в 2004-2006 годах приняты нормативные акты, регулирующие отношения оплаты труда, обеспечивающие уровень минимальной заработной платы не ниже величины прожиточного минимума в Ленинградской области, а также предусмотренные социальные выплаты отдельным категориям граждан (пособия и социальная помощь, возмещение расходов инвалидам и т.п.).
Сохраняющаяся инфляция обуславливает устойчивую динамику роста величины прожиточного минимума, как в среднем на душу населения, так и по отдельным социально-демографическим группам.
Несмотря на устойчивую тенденцию роста величины прожиточного минимума (2005г. – 2766 руб., оценка 2006г. – 3294 руб., по прогнозу на 2007г. – 3633 руб., на 2009г. – 4210 руб.), доля численности населения с доходами ниже прожиточного минимума снижается (2005г. – 21,2%, оценка 2006г. – 21%, по прогнозу на 2007г. – 21%, на 2009г. – 19%).
В 2007 году доля численности населения с доходами ниже прожиточного минимума сохранится на уровне 2006 года. Это обусловлено ростом стоимости потребительской корзины с 1 января 2007 года в результате расширения перечня товаров и услуг, входящих в состав потребительской корзины, в соответствии с новым областным законом о потребительской корзине в Ленинградской области на 2007-2011 годы. Кроме того, в области наблюдается тенденция опережающего роста цен на товары и услуги, входящие в потребительскую корзину.
По оценке 2006 года расходы и сбережения населения достигнут 133,2 млрд. руб. или 113,4% к предыдущему году. Наиболее существенная часть расходов населения направляется на покупку товаров и оплату услуг. В 2005 году на эти цели было направлено 69%, к 2009 году их доля увеличится до 71,3%.
Прирост вкладов в банках, расходы на приобретение недвижимости, валюты являясь показателем роста благосостояния, в то же время выражают и наличие отложенного спроса. По прогнозу на 2007 год прирост составит 21%. В дальнейшем тенденция роста сохранится.
Социальная сфера. В области уделяется значительное внимание повышению качества жизни населения посредством развития социальной сферы. Программно-целевой метод планирования и многоканальность финансирования региональных целевых программ социальной направленности позволяют экономично решать приоритетные задачи и наиболее острые проблемы социальной сферы. В 2006 году укреплялась материально-техническая база учреждений, повышен уровень, качество, доступность различных видов социальных услуг, возросла эффективность работы социальных учреждений. Ленинградская область – один из трех регионов страны, где для работников бюджетной сферы осуществляется губернаторская надбавка к зарплате.
В 2006 году началась реализация приоритетных национальных проектов «Здоровье», «Образование», «Доступное жилье».
Здравоохранение. Главная задача сегодня в реализации национального проекта «Здоровье» – укрепить первичное звено в сфере здравоохранения, снизить смертность среди населения области от социально значимых заболеваний, повысить качество и доступность первичной медицинской и скорой помощи и др.
Весьма значительное повышение заработной платы участковым врачам дало свои результаты – начали устраиваться на работу молодые специалисты.
В каждой крупной поликлинике уже в этом году для льготников открываются пункты отпуска лекарств по федеральным и региональным спискам. Выполняется большая программа по диспансеризации населения. Для ликвидации очереди изменен режим работы всех поликлиник – они переведены на шестидневный график. Устанавливается медицинское оборудование, компьютеры с программным продуктом.
Благодаря системе сертификатов появилась возможность отслеживать эффективность работы родильных отделений и консультаций. Проведенная работа по переоснащению областных учреждений и районных больниц позволяет всех рожениц принимать в своих районах. По статистике, в области лучшие в России показатели по сохранению новорожденных и недопущению детской смертности. Это – результат работы персонала, технической оснащенности стационаров и женских, детских консультаций.
Проводится дальнейшая реструктуризация стационарной базы в сторону наращивания стационарозамещающих технологий. Количество коек клинического плана (более дорогостоящих) постепенно снижается, даже с учетом ввода строящихся новых объектов. Этому процессу способствует дифференциация имеющихся мощностей стационаров, продолжающееся сокращение сроков лечения в больницах с применением новейших технологий и развертывание коек сестринского ухода, отделений восстановительного и интенсивного лечения, отделений долечивания (дневные стационары), развертывание медикосоциальных коек, что в свою очередь позволяет более экономично использовать выделенные финансовые средства.
Обеспеченность больничными койками на 10 тыс. жителей в 2006 и 2007 годах составит 87,6 коек. На перспективу до 2009 года будет продолжаться снижение обеспеченности населения больничными койками до 87 койки на 10 тыс.населения, но за этот же период возрастет обеспеченность стационарами дневного пребывания на 10 тыс.населения с 9,2 в 2006 году до 10,5 в 2009 году, которые экономичнее стационарных круглосуточных коек. Кроме того, организация лечебной помощи в стационарах проводится с использованием интенсивных методов лечения, что позволяет сокращать сроки лечения, активно использовать в течение года имеющиеся мощности. При этом обеспеченность койками интенсивного лечения постепенно увеличивается.
Обеспеченность амбулаторно-поликлиническими учреждениями по оценке в 2006 году составит 249,6 посещений в смену на 10 тыс.населения. На перспективу ожидается небольшой рост обеспеченности амбулаторно-поликлиническими учреждениями – до 250,6 пос. в смену на 10 тыс.населения, также увеличится обеспеченность населения области дневными стационарами при поликлиниках, что даст возможность более тщательно проводить обследование.
В связи с тем, что сделан акцент на более широкий охват населения области первичной медицинской помощью, увеличится показатель числа заболеваний, зарегистрированных у больных с впервые установленным диагнозом.
Реформа амбулаторно-поликлинических служб направлена на развитие семейной практики; изменение функций среднего медицинского персонала, с передачей части врачебных обязанностей; целенаправленное развитие мероприятий профилактического характера; развитие медицинской и медико-социальной помощи на дому, в том числе и организация работы стационаров на дому; расширение практики амбулаторной хирургии. Особое место уделено организации медицинской помощи сельскому населению, особенно в отдаленных пунктах, в том числе за счет активизации выездной работы.
Образование. Главная задача национального проекта «Образование» – повысить качество ресурсов системы образования и на основе этого добиться качественных сдвигов в учебном и воспитательном процессах. Все общеобразовательные учреждения должны выйти во всемирную информационную сеть.
В области уже много наработано и достигнуто. Результаты мониторинга вариативности образовательных программ, реализуемых в 2005/2006 учебном году, свидетельствуют, что достигнута стабильность региональной образовательной системы по видам общеобразовательных учреждений и реализуемым образовательным программам. Созданы модели таких учреждений как базовая сельская школа, профильная сельская школа, центр образования, социокультурный комплекс. В 85% образовательных учреждениях созданы воспитательные службы. Сегодня 76% школ используют электронные средства обучения, 57% оснащены мультимедийными проекторами, 40% школ подключены к сети Интернет.
В рамках национального проекта более 6 тысяч учителей получают доплату за классное руководство, кроме того, 94 учителям региона вручат премию Президента России в размере 100 тыс.руб. Школы получат 14 комплектов компьютеров. Предусмотрена премия по 60 тыс.руб. молодым талантам, проявившим инициативу и представившим наиболее интересные, актуальные и применимые к выполнению проекты.
В целом по области охват детей дошкольными образовательными учреждениями практически не меняется, на селе он более стабильный из-за избытка имеющихся в них мест, так как большинство детей находится дома. В крупных городах, таких как: Всеволожск, Выборг, Гатчина, Тихвин появилась очередь в дошкольные учреждения в связи с тем, что увеличился норматив санитарной площади на одного ребенка. В 2007 году обеспеченность дошкольными образовательными учреждениями останется на уровне 2006 года - 851,5 мест на 1 тыс.детей дошкольного возраста, в 2008-2009 годах незначительно снизится до 850 мест.
В дошкольных учреждениях внедряется система раннего выявления отклонений в развитии детей и оказание им медико-педагогической помощи, в том числе организация сети диагностико-консультативных пунктов на базе дошкольных образовательных учреждений. Продолжается развитие вариативных моделей «предшкольного» образования на базе учреждений различных видов и типов. Оказывается методическая, диагностическая и консультативная помощь семьям, воспитывающих детей на дому.
Упорядочивается процедура взимания и установления размера оплаты за содержание детей в дошкольных учреждениях.
Постоянно уменьшается число общеобразовательных школ и учащихся, занимающихся в две смены. С 2007/2008 года занятия во II смену планируется ликвидировать полностью.
Продолжается взаимодействие школы с учреждениями дополнительного образования детей, которыми реализуются 148 образовательных программ по 10 направлениям.
Все более значимым для экономики региона становится начальное профессиональное образование. Совершенствуется механизм формирования регионального заказа на подготовку кадров в соответствии с потребностями экономики области, привлечения инвестиций работодателей в систему профессионального образования. Определены базовые предприятия для прохождения производственной практики обучающихся.
Получило дальнейшее развитие среднее профессиональное образование. В результате деятельности колледжей среднего педагогического образования сократилась потребность в учителях начальных классов.
В вузах и филиалах высших учебных заведений области можно получить образование более чем по 70-ти специальностям.
Жилищно-коммунальное хозяйство. Для реализации национального проекта «Доступное жилье» в области проделана большая работа. Реализуются жилищные региональные целевые программы «Жилье для молодежи на 2002-2011 годы»; «Социальное развитие села до 2010 года»; «Переселение граждан Российской Федерации, проживающих на территории Ленинградской области, из ветхого и аварийного жилищного фонда до 2013 года»; «О поддержке граждан, нуждающихся в улучшении жилищных условий, на основе принципов ипотечного кредитования на 2003-2012 годы», определены территории под застройку с учетом инженерной инфраструктуры, созданы действенные схемы финансирования строительства жилья для тех жителей области, которым необходима помощь. В этом году внедрена электронная система учета граждан, нуждающихся в улучшении жилищных условий. Регион участвует в федеральной целевой программе «Жилище» на 2002-2010 годы.
Помимо выполнения государственных обязательств перед льготными категориями граждан, ведется работа по развитию ипотечного кредитования. В области создано жилищное агентство ипотечного кредитования для предоставления жителям кредитов на покупку жилья.
В 2006 году планируется обеспечить жильем 10 тысяч семей, в том числе 51 семью по программе «Жилье для молодежи», 72 семьи – молодых специалистов на селе; 64 семьи – работников села; 46 семей – работников бюджетной сферы с использованием ипотеки, а также ветеранов и инвалидов, граждан уволенных в запас с военной службы, переселенцев с Крайнего Севера, участников ликвидации аварии на Чернобыльской АЭС и др.
Ввод в действие жилых домов за счет всех источников финансирования в 2005 году составил 532,9 тыс.кв.м, по оценке в 2006 году – 650 тыс.кв.м, что на 22,0% больше, чем в 2005 году. В 2007 году ввод жилья достигнет уровня 1990 года - 800 тыс.кв.м, к 2009 году - 1млн. 200 тыс.кв.м. В результате активизации жилищного строительства возрастет обеспеченность населения общей площадью жилых помещений на 1 человека с 24,2 кв.м в 2006 году до 25,3 кв.м в 2009 году.
Жилищно-коммунальные услуги в области оказывают 175 организаций, основная доля которых (74,0%) приходится на муниципальные унитарные предприятия.
В 2006 году акцент делается на улучшение системы водоснабжения, теплообеспечения и реконструкции канализационных сетей. Проводится реконструкция главного канализационного коллектора в г.Гатчине – это один из важных экологических и коммунальных проектов области. Если за 3 года назад менее 1/3 котельных работали на природном газе, то сегодня газифицировано 72% всех котельных Ленобласти. Внедрение современного оборудования, переход муниципальных котельных на более технологичный вид топлива привели к сокращению численности работников на 2,4% на предприятиях ЖКХ в 2005 году.
Полная стоимость предоставленных населению жилищно-коммунальных услуг по оценке 2006 года составит 9,2 млрд.рублей и к 2009 году возрастет до 12,6 млрд.руб. Доля фактических платежей населения за жилищно-коммунальные услуги увеличится с 76,5% в 2005 году до 83,3% по оценке 2006 года. В 2008 году уровень оплаты жилищно-коммунальных услуг населением достигнет 100%.
Главной задачей в сфере жилищно-коммунального хозяйства является выработка жизнеспособной методики, по которой муниципальные образования первого уровня смогут обеспечить население услугами ЖКХ, не разрушая установившуюся систему районных хозяйств, не допуская чрезмерного роста тарифов за коммунальные услуги. Осуществляется работа по отработке механизма, позволяющего компенсировать за счет субсидий затраты на коммунальные услуги для пенсионеров и малоимущих категорий граждан. Отработан во Всеволожском районе и г.Сосновый Бор пилотный проект по замене льгот на коммунальные услуги ежемесячной денежной компенсацией.
В свете продолжения реформирования жилищно-коммунального комплекса области ведется работа по формированию нормативно-правовой базы по акционированию муниципальных унитарных предприятий ЖКХ.
В перспективе продолжится техперевооружение и реорганизация муниципальных котельных, ремонт и строительство магистральных тепловых и газовых сетей на территории области.
Наряду с реализацией национальных приоритетных проектов в области проводится большая работа в сфере социальной защиты населения, культуры, туризма, проводятся мероприятия по физическому оздоровлению населения в рамках развития физической культуры, спорта, проведения молодежной политики.
В сфере социальной защиты населения в 2007 году продолжается процесс реформирования полустационарных учреждений социального обслуживания. При определении размера финансирования видов обслуживания использован подход, учитывающий среднедушевой доход обслуживаемого.
До конца 2007 года планируется разработать техническую документацию для организации с 2007 года конкурсов на размещение регионального заказа на социальное обслуживание населения в учреждениях различных форм собственности; форму типового контракта с негосударственной организацией на предоставление бюджетных социальных услуг, провести ранжирование социальных услуг по их востребованности, по категориям населения (пенсионеры, инвалиды, дети-инвалиды и т.д.).
Учитывая рост контингента с тяжелыми соматическими заболеваниями, на 2007 год планируется перепрофилирование 8-ми общих отделений в отделения милосердия.
Обеспеченность домами-интернатами для престарелых, инвалидов и детей-инвалидов по оценке в 2007 году несколько снизится до 22,8 мест, так как интернаты переуплотнены и требуют сокращения мест в них в соответствии с санитарными нормами. На перспективу до 2009 года обеспеченность местами прогнозируется восстановить при условии выделения финансовых средств из федерального и областного бюджетов на строительство стационарных учреждений.
На 2007-2009 годы основные направления реализации государственной политики в сфере социальной защиты населения будут нацелены также на развитие сети домов-интернатов малой вместимости в муниципальных образованиях области с сохранением уровня общей обеспеченности стационарными учреждениями; повышение качества и расширение спектра социальных услуг, оказываемых населению; изменение системы учета оказываемых социальных услуг для оценки их воздействия на социальное здоровье населения; организацию летнего отдыха детей из малообеспеченных семей и инвалидов.
В культурной жизни области в 2007 году и на перспективу намечено продолжение работ по сохранению и освоению культурного наследия, развитию музеев, модернизации библиотечного дела и сохранению библиотечных фондов.
Учреждения культуры в муниципальных образованиях области предоставляют населению широкий спектр услуг как традиционных – проведение фестивалей, дискотек, работа кружков и студий прикладного искусства, так и достаточно новых – создание Интернет-клубов, создание клубов по интересам и т.д..
В сфере туризма активно осваиваются туристские ресурсы области, повышается их доступность, растет к ним интерес.
Для сохранения и создания условий по увеличению объемов предоставляемых населению туристических услуг проводятся мероприятия по привлечению инвесторов в развитие инфраструктуры туризма, оказанию помощи жителям села по развитию сельского туризма, обучению и повышению квалификации гидов-экскурсоводов и др.
Совместно с научными организациями и Росстатом с учетом зарубежного опыта разрабатываются подходы к созданию единой системы статистического учета туристской деятельности.
В сфере туризма на 2007-2009 годы планируется проведение мероприятий по расширению возможностей и повышению качества туристического обслуживания в районах области, создание на территории области ряда зон приоритетного развития туризма, создание информационно-туристских центров, выпуск каталогов инвестиционных проектов, увеличение туристских фирм и привлечение все большего количества туристов в область.
Рынок труда. В 2007 году ситуация на рынке труда Ленинградской области оставалась стабильной. Уровень регистрируемой безработицы по сравнению с началом года сократился на 0,1 п.п. и составил 1,1% от экономически активного населения. Из 11-ти территорий, входящих в Северо-Западный федеральный округ, Ленинградская область по-прежнему сохраняет самый низкий после Санкт-Петербурга (0,8%), уровень безработицы. По сравнению со среднероссийским показателем уровень регистрируемой безработицы в Ленинградской области ниже в 2 раза.
В январе-мае 2007 года уровень регистрируемой безработицы по сравнению с началом года не изменился и на начало июня текущего года составил 1,1% от экономически активного населения, а по сравнению с аналогичной датой прошлого года уменьшился на 0,1 п. п..
В 2006 году и 2007-2009 годах ситуация на рынке труда Ленинградской области будет определяться влиянием как факторов, действовавших в 2005 году, так и ряда новых факторов9.
В результате ввода новых производственных объектов и реализации инвестиционных проектов на действующих предприятиях в 2008 году предполагается создать свыше 10 тыс. новых рабочих мест, в основном в сфере торговли и услуг и обрабатывающих производствах.
Прогнозируется некоторое усиление напряженности на рынке труда вследствие сохраняющегося дисбаланса между спросом и предложением рабочей силы в целом по области, и особенно, в сельской местности, и возможного высвобождения кадров с предприятий и организаций области. В 8 районах из 17 предложение рабочей силы на рынке труда превышает спрос на рабочую силу. На одну вакансию претендует в ряде районов от 4 до 9 человек из числа ищущих работу граждан. В сельской местности число претендентов на трудоустройство в текущем году более чем в 2 раза превышает количество вакансий, представленных работодателями для сельских жителей.
За 5 месяцев текущего года в службу занятости населения за помощью в трудоустройстве обратилось почти 3 тыс. работников, уволенных связи с ликвидацией организаций и сокращением персонала, что составляет 51% от показателя 2006 года.
В начале июня текущего года из 9,2 тыс. безработных, состоявших на учете в службе занятости населения, 24% (2,2 тыс. человек) – это граждане, потерявшие работу в связи с ликвидацией организации, либо сокращением численности или штата работников.
В третьем квартале планируется массовое высвобождение работников (750 человек) с ОАО «ПГ «Фосфорит» в Кингисеппском районе и ряде других предприятий области. Непростая ситуация сохраняется в ОАО «Ленинградсланец».
По оценке, всего в текущем году в службу занятости могут обратиться не менее 8 тыс. высвобожденных работников.
Численность зарегистрированных безработных в 2007 году (с учетом состоящих на учете в начале года) увеличится с 34,0 до 42,2 тыс. человек и составит 124% к 2005 году. К концу года уровень безработицы может составить 1,3%. С 2008 года ожидается сокращение численности населения в трудоспособном возрасте и трудовых ресурсов; число лиц, выходящих за пределы трудоспособного возраста, превысит численность вступающих в него. В результате дальнейшего увеличения спроса экономики на рабочую силу прирост занятых в экономике прогнозируется на уровне 0,2%.
В 2008 году предполагается ввести около 7,0 тыс. новых рабочих мест. Основное количество дополнительных рабочих мест будет создано в обрабатывающих производствах и транспорте.
Прогноз развития рынка труда показывает, что интерес жителей области к услугам, оказываемым службой занятости, не будет ослабевать. Значительно большая численность граждан из числа ранее искавших работу самостоятельно, выйдет на регистрируемый рынок труда.
Число безработных, зарегистрированных в службе занятости, может увеличиться с 42,2 тыс. человек в 2006 году до 42,6 тыс. человек в 2007 году. Уровень регистрируемой безработицы составит 1,5%.
В 2008-2009 годах прогнозируется увеличение численности занятых в экономике на 0,4% к 2007 году.
В этот период предполагается создать не менее 16,0 тыс. новых рабочих мест, в основном в обрабатывающих производствах и сфере развития транспортной инфраструктуры.
На увеличение масштабов регистрируемого рынка труда области будут влиять следующие факторы.
1. Значительное количество и низкая конкурентоспособность на рынке труда отдельных категорий граждан: молодежи без практического опыта работы, женщин, имеющих малолетних детей, инвалидов, граждан, имеющих длительный (более года) перерыв в работе или не приступавших к трудовой деятельности и не имеющих профессии. Среди ищущих работу такие претенденты на трудоустройство составляют 30-35%.
2. Проведение реформ в жилищно-коммунальном хозяйстве, здравоохранении, образовании, обусловившие увеличение уровня платежей, а также отмена ряда социальных льгот, побуждающие жителей области активно обращаться в структуры, обеспечивающие социальную защиту граждан, в том числе и службу занятости, для получения социального статуса.
Общее число безработных граждан (включая стоящих на учете в начале соответствующего года), которые будут зарегистрированы в службе занятости, может увеличиться от 42,6 тыс. человек в 2007 году до 43,2 тыс. человек в 2009 году.
Уровень регистрируемой безработицы прогнозируется от 1,5% в конце 2007 года до 1,8% в конце 2009 года.
В то же время, при условии выделения в полном объеме из федерального бюджета средств, предусмотренных на реализацию Программы «Содействие занятости населения Ленинградской области на 2006-2008 годы», уровень регистрируемой безработицы и численность безработных на конец каждого года могут быть ниже прогнозируемых значений.
Глава 2. Исследование динамики некоторых показателей
Приведем основные социально-экономические показатели:
Показатели
2000 год
2001 год
2002 год
2003 год
2004 год
2005 год
2006 год
Объем произведенного ВРП, млрд.руб.
58834
81097
101775
132386
173600
201460
230630
Индекс роста ВРП, %
112,8
108,5
116,3
114,6
113,0
105,5
106,0
Объем собственных доходов консолидированного бюджета, млрд.руб.
9041,7
11018,9
14719,8
15373
20878,5
25256
28613,2
Индекс роста собственных доходов, %
148,0
122,0
134,0
104,0
136,0
121,0
113,0
Удельный вес собственных доходов в ВРП, %
15,37
13,59
14,46
11,61
12,03
12,54
12,41
Объем инвестиций в основной капитал, млрд.руб.
19,2
32,3
28,2
49,7
67
76,4
87,9
Динамика роста объема инвестиций в основной капитал, %
114,0
126,0
75,8
150,0
120,7
102,0
105,0
Объем инвестиций в основной капитал на 1 жителя, тыс.руб.
11,5
19,5
17,3
29,9
40,5
46,3
53,3
Объем промышленного производства, млрд.руб.
57
74,3
95,4
127,4
158,4
196,8
235,8
Индекс промышленного производства, %
127,2
110,1
136,4
121,8
110,3
110,2
109,1
Среднемесячная номинальная начисленная заработная плата одного работника, руб.
2179
3258
4528
5466
6777
8200
9850
Бюджетная обеспеченность на 1 жителя, руб./чел.
5552,7
7529,0
10079,0
11021,6
13525,3
16239,1
17352,0
Для некоторых показателе найдем тренд.
Приведем массив данных
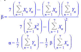
Для регрессии вида [6] найдем коэффициенты по формулам
Вычислим
Тогда
Откуда
Тогда линейная регрессия будет иметь вид [2]
Смысл коэффициента beta заключается в том, что каждый год ВРП увеличивается на 29569 млрд.руб. Нарисуем точки и регрессию:
Прогноз на 2007- 2008 года
Точечный прогноз для [4]
Приведем массив данных
Для регрессии вида найдем коэффициенты по формулам [9]
Вычислим
Тогда
Откуда
Тогда линейная регрессия будет иметь вид
Смысл коэффициента beta заключается в том, что каждый год объем собственных доходов увеличивается на 3334 млрд.руб. Нарисуем точки и регрессию:
Прогноз на 2007- 2008 года
Точечный прогноз для
Приведем массив данных
Для регрессии вида найдем коэффициенты по формулам
Вычислим
Тогда
Откуда
Тогда линейная регрессия будет иметь вид
Смысл коэффициента beta заключается в том, что с каждым годом инвестиции в основной капитал увеличиваются на 11,9 млрд.руб. Нарисуем точки и регрессию:
Прогноз на 2007-2008 года
Точечный прогноз для
Приведем массив данных
Для регрессии вида найдем коэффициенты по формулам
Вычислим
Тогда
Откуда
Тогда линейная регрессия будет иметь вид
Смысл коэффициента beta заключается в том, что каждый год объем промышленного производства увеличивается на 30,2 млрд.руб. Нарисуем точки и регрессию:
Прогноз на 2007- 2008 года
Точечный прогноз для
Приведем массив данных
Для регрессии вида найдем коэффициенты по формулам
Вычислим
Тогда
Откуда
Тогда линейная регрессия будет иметь вид
Смысл коэффициента beta заключается в том, что каждый год среднемесячная з/п увеличивается на 1255 руб. Нарисуем точки и регрессию:
Прогноз на 2007-2008 года
Точечный прогноз для
Глава 3. Пути совершенствования социально-экономической статистики
В рамках мероприятий Программы Федеральной службе государственной статистики во взаимодействии с федеральными органами исполнительной власти предстоит решить одну из основополагающих задач по созданию единой межведомственной системы информационно-статистического обеспечения органов государственной власти с целью получения своевременной, достоверной и полной социально-экономической статистики на основе интеграции всех статистических информационных ресурсов в масштабах государства для выработки управленческих решений и прогнозирования во всех сферах, включая анализ состояния и динамики развития национальной экономики.
Указанную систему предполагается реализовать путем объединения статистических информационных ресурсов федеральных органов исполнительной власти, формирующих статистические данные, с обеспечением оперативного доступа пользователей к этим ресурсам.
Реализация Программы будет направлена на:
доступность открытых статистических данных и прозрачность методологии их формирования для всех заинтересованных пользователей;
научный подход и применение международных статистических стандартов и классификаций при определении национальной системы статистических показателей и методов их формирования;
снижение нагрузки на отчитывающиеся хозяйствующие субъекты путем расширения практики использования в статистических целях административных данных, представляющих собой документированную информацию, полученную федеральными органами государственной власти, органами государственной власти субъектов Российской Федерации, органами местного самоуправления и государственными организациями в связи с осуществлением ими своих разрешительных, регистрационных, контрольно-надзорных полномочий;
методологическое и организационное обеспечение формирования показателей, характеризующих уровень достижения целей социально-экономического развития государства, и показателей деятельности федеральных органов исполнительной власти;
интеграцию статистических информационных ресурсов на основе методологической и технологической совместимости для эффективного их использования при решении задач управления и прогнозирования;
повышение качества официальной статистической информации;
совершенствование технологии сбора, формирования, хранения и распространения статистических данных с использованием современных информационно-коммуникационных систем, включая интернет-технологии;
разработку методов обеспечения конфиденциальности первичных статистических данных, полученных от респондентов.
В результате выполнения мероприятий Программы в Российской Федерации должны быть максимально реализованы принципы официальной статистики, одобренные Статистической комиссией ООН.
Выбор приоритетных целей и задач Программы основывается на стратегических целях и задачах Программы социально-экономического развития Российской Федерации на среднесрочную перспективу (2007 - 2009 годы), утвержденной распоряжением Правительства Российской Федерации от 19 января 2006 г. № 38-р, по повышению эффективности государственного управления и регулирования в части развития государственной статистики.
Исходя из стратегических целей и задач развития государства по модернизации экономики, защите прав, свобод и безопасности граждан, обретению доверия общества к государственной власти, повышению уровня жизни граждан, обеспечению экономического роста, целью Программы является обеспечение пользователей достоверными статистическими данными, отвечающими международным стандартам, путем формирования системы, направленной на повышение эффективности принятия управленческих решений.
Достижение цели Программы будет обеспечиваться путем решения следующих основных задач:
оптимизация состава официальной статистической информации, разрабатываемой федеральными органами государственной власти для принятия управленческих решений и прогнозирования на различных уровнях государственного, муниципального и корпоративного управления, с учетом международного опыта;
минимизация информационной нагрузки на респондентов на основе применения современных методов статистического наблюдения;
интеграция и гармонизация статистических информационных ресурсов, разрабатываемых федеральными органами государственной власти;
модернизация системы сбора, обработки, хранения и распространения статистической информации органов государственной статистики на основе применения современных информационно-телекоммуникационных технологий;
развитие системы обратной связи с респондентами и пользователями статистической информации.
Реализация первой задачи будет способствовать наиболее полному и качественному информационному обеспечению достижения стратегических национальных целей и решения задач на основе поступления и анализа исчерпывающей, объективной, научно обоснованной, надежной официальной статистической информации о социальном, экономическом, демографическом и экологическом положении Российской Федерации. На основе достигнутых результатов и исходя из требований дальнейшего совершенствования статистики в рамках экономической политики государства и ускоренных темпов информатизации общества необходимо решение новых важных методологических и практических проблем по следующим направлениям государственной статистики:
В целях реализации второй задачи необходимо дальнейшее развитие информационных статистических ресурсов с учетом организации государственных статистических наблюдений при оптимальном сочетании периодического проведения всероссийских переписей и выборочных статистических обследований.
Широкое внедрение выборочных обследований является важным аспектом дальнейшего развития государственной статистики, обеспечивающим сокращение затрат и сроков на проведение статистических работ и уменьшение информационной нагрузки на респондентов.
Выборочный метод является основным при проведении периодических статистических наблюдений населения, субъектов малого предпринимательства в большинстве государств и широко используется российской статистикой.
Одной из крупнейших работ в ближайшие годы в этой области является создание на базе территориальной выборки многоцелевого назначения, основанной на информационном массиве Всероссийской переписи населения 2002 года, выборочных совокупностей, отражающих современную структуру населения, его социально-экономическое и демографическое состояние.
Применение выборочного метода, основанного на принципах вероятностного отбора, позволяет сделать научно обоснованные выводы обо всей исследуемой совокупности, осуществляя при этом статистический контроль за точностью и достоверностью полученных результатов.
Организация и проведение государственных статистических наблюдений, в том числе с использованием выборочных методов, проведение сплошных обследований и всероссийских переписей будет и далее базироваться на единой информационной основе, сформированной в рамках статистического регистра хозяйствующих субъектов Федеральной службы государственной статистики. На его базе определяются совокупности хозяйствующих субъектов, включая малые, средние и крупные предприятия, формируются специальные признаки объектов наблюдения для реализации конкретных статистических задач.
Учитывая тенденции развития рыночных отношений, ослабление административных барьеров для начала предпринимательской деятельности и задачу снижения нагрузки на отчитывающиеся хозяйствующие субъекты, актуальной является разработка принципиально новых методологических подходов по организации статистического учета единиц наблюдения, в частности, использование новых критериев определения единиц статистического наблюдения, а также отражение в статистическом регистре хозяйствующих субъектов Федеральной службы государственной статистики финансовых связей объектов.
Число выборочных обследований в 2011 году увеличится по сравнению с 2006 годом на 15 – 20 процентов и они будут проводиться для наблюдения во всех секторах экономики.
Реализация третьей задачи связана с необходимостью создания единой системы информационно-статистического обеспечения органов государственной власти, которая предназначена для целостного обеспечения своевременности, качества и полноты формирования макроэкономической статистики на основе решения задачи интеграции статистических информационных ресурсов в масштабах государства с целью ее эффективного использования при решении задач управления и прогнозирования во всех сферах, включая анализ состояния и динамики развития национальной экономики.
Основной целью является создание на базе ведомственных информационных ресурсов единого государственного интегрированного информационного статистического ресурса и обеспечение возможности оперативного доступа к нему заинтересованных пользователей статистической информации.
В рамках проекта интернет-портала государственной статистики должна быть реализована единая точка входа в информационные ресурсы федеральных органов исполнительной власти, формирующих статистические данные, размещенные на их интернет-сайтах. При этом обеспечивается возможность поиска статистической информации и доступа к ней по унифицированным процедурам.
Формирование единого государственного интегрированного статистического ресурса предполагается в виде системы взаимодействующих хранилищ статистических данных, поставляющих информацию в центральное хранилище. Такой подход обеспечит повышение уровня автоматизации технологических процессов межведомственного взаимодействия в части сбора, обработки и доступа к статистической информации. Методические подходы и практические решения, использованные при создании интернет-портала государственной статистики, могут быть использованы при создании системы.
В процессе формирования указанного ресурса определяющее значение имеет организация межведомственного обмена статистическими данными на основе использования единой методологии с учетом сформированных в рамках реализации федеральной целевой программы «Электронная Россия (2002 - 2010 годы)» решений по:
обеспечению электронного межведомственного взаимодействия в полном соответствии со стандартами архитектуры «электронного правительства», формируемыми Министерством информационных технологий и связи Российской Федерации;
методическим подходам и практической реализации интернет-портала государственной статистики.
Для создания единого государственного интегрированного статистического ресурса необходимо обязательное использование единой методологии и общероссийских классификаторов, а также принятие ряда нормативных правовых актов и проведение проектно-технических и технологических работ, обеспечивающих организацию межведомственного информационного взаимодействия. При этом требуется:
разработка единых методических стандартов формирования информационно-статистических ресурсов, обеспечивающих доступ к ресурсам и возможность проведения комплексного анализа;
формирование стандартов представления и обмена статистическими данными с учетом использования международных стандартов;
обеспечение технологической, технической, методологической и информационной совместимости соответствующих информационных систем федеральных органов исполнительной власти.
Это создаст основу для эффективного информационного взаимодействия федеральных органов исполнительной власти в части формирования, использования и развития единого государственного интегрированного статистического ресурса.
В рамках четвертой задачи для эффективной работы системы государственной статистики необходимо четко определять, как должна выстраиваться организация статистических работ, на каких принципах, при каком наборе решаемых задач она будет наиболее полно отвечать предъявляемым требованиям адекватности, полноты и достаточности. Требуется развитие методических подходов по установлению однородности и взаимосвязи изучаемых явлений, определению закономерностей в их изменении, представлению их в виде комплекса целевых задач, лежащих в основе функционального обеспечения создаваемых систем. Это важно при создании любых статистических систем и особенно при организации и реорганизации систем государственной статистики как наиболее масштабных и многомерных. Отсюда первостепенное значение приобретает модернизация системы сбора, обработки, хранения и распространения статистической информации на основе применения современных информационно-телекоммуникационных систем с использованием высокоскоростных цифровых каналов связи и хранилищ данных большой емкости, что создает основу для формирования баз микроданных. Использование интернет-технологий и геоинформационных систем обеспечит переход на качественно новый уровень обслуживания, включая оперативный доступ к статистическим данным, и расширение числа пользователей.
При этом планируется ускоренное создание новой информационной инфраструктуры органов государственной статистики путем их масштабного переоснащения современными техническими и программными средствами с автоматизацией рабочих мест на основе новых технологических решений. Основными направлениями совершенствования статистических информационных ресурсов станут:
развитие сетевой и вычислительной инфраструктуры государственной статистики;
развитие информационной технологии сбора, формирования, хранения и распространения статистических данных;
развитие интегрированной технологии статистики и анализа;
обучение специалистов и технического персонала.
В ходе реализации пятой задачи будет существенно расширен доступ пользователей к официальной статистической информации. Необходимо расширить использование современных систем распространения статистической информации за счет геоинформационных технологий, позволяющих представить пользователям в наиболее удобном для восприятия виде статистические данные, в том числе графики, диаграммы, картограммы, в привязке к территории в границах административно-территориальных образований.
В целом применение современных технологий позволит повысить оперативность доведения до пользователей официальной статистической информации.
Институциональное развитие Федеральной службы государственной статистики с учетом международных норм в области статистики является ключевым фактором обеспечения эффективного распространения статистической информации, создания потенциала, необходимого для удовлетворения потребностей всех групп пользователей. Более высокая доступность статистической информации является необходимым условием для мониторинга последствий структурных и институциональных реформ, проводимых всеми заинтересованными сторонами.
В связи с этим в уточнении нуждается действующий порядок предоставления данных для их эффективного использования органами государственной власти и управления федерального и регионального уровней, а также другими заинтересованными пользователями.
Рост числа статистических показателей, совершенствование программных средств электронной обработки и хранения данных, возрастающее число запросов на статистическую информацию со стороны пользователей, а также повышение требований к качеству и достоверности распространяемой статистической информации обусловливают необходимость совершенствования административных процедур Федеральной службы государственной статистики, развития взаимодействия с пользователями статистических данных.
Представляется важным сформировать каналы обратной связи с респондентами и потребителями статистической информации, определить требования пользователей к статистической информации, обеспечив при этом защиту информационных статистических ресурсов, в частности баз данных, от несанкционированного доступа.
Одним из главных принципов органов государственной статистики является уважение прав респондентов. Достоверность официальной статистической информации напрямую зависит от ответственности респондентов за предоставление статистических данных.
Гарантией доверия респондентов к органам государственной статистики должны быть конфиденциальность представленных ими для формирования официальной статистики данных, а также уверенность в том, что эти данные не будут использованы не в статистических целях.
Вместе с тем каждый респондент заинтересован в получении сводной и рейтинговой информации, необходимой для определения своей роли в производственном процессе, и одна из задач органов государственной статистики - предоставить ему эту информацию.
Создание канала обратной связи с пользователями статистической информации в процессе информационного взаимодействия позволит Федеральной службе государственной статистики оценить степень востребованности статистических данных, выработать новые подходы к распространению статистической информации, разработать регламентные документы, регулирующие доступ к статистическим информационным ресурсам.
Предполагаются создание новой структуры управления системой распространения статистических данных, соответствующей лучшей международной практике, и разработка инструментов, соответствующих запросам различных групп пользователей.
Создание комплексной системы управления процессом распространения статистической информации с использованием высокопроизводительных вычислительных и телекоммуникационных средств позволит более эффективно использовать статистические ресурсы в интересах общества и государства для подготовки на качественно новой основе официальных статистических публикаций с целью максимального удовлетворения потребностей пользователей статистики.
Заключение
На основе изученных тенденций можно сделать выводы о последовательном улучшении социально-экономических показателей области. Так, к примеру, объем инвестиций за счет всех источников финансирования на душу населения в регионе в 2006 году составил 74,7 тыс. рублей, что в 2,3 раза больше среднероссийского значения; в 1999 году – 7, тыс. рублей, что в 1,6 раза больше среднероссийского значения.
Объем иностранных инвестиций в 2006 году превысил уровень 1999 года в 1,9 раза, в первом квартале текущего года по сравнению с тем же периодом прошлого года – в 1,6 раза.
Ежегодно возрастают объемы жилищного строительства. Объемы ввода жилья в 2006 году превышают уровень 1999 года в 1,8 раза. Всего за 8 лет введено около 3,8 млн. кв. м общей площади, из них в 2006 году – 671,5 тыс. кв. м. В январе-мае 2007 года построено 187,2 тыс. кв. м жилья, что в 1,8 раза больше, чем за аналогичный период 2006 года.
По строительству жилья Ленинградская область занимает в Северо-Западном Федеральном округе второе место (после Санкт-Петербурга).
В области осуществляется активная внешнеэкономическая деятельность. С каждым годом возрастает внешнеторговый оборот Ленинградской области и складывается положительное сальдо торгового баланса.
Внешнеторговый оборот региона в 2006 году превысил показатель 1999 года в 5,5 раз, в том числе экспорт – в 4,5 раза; в первом квартале т.г. относительно первого квартала 2006 года рост внешнеторгового оборота составил 27,3%, экспорта – 23,7%. В СЗФО Ленинградская область по внешнеторговому обороту занимает 1-е место по объему экспорта и 3-е по объему импорта по итогам 2006 года.
За 2006 год объем экспорта составил 4,2 тысяч долларов США на душу населения, что в 2 раза превышает среднероссийский показатель. В первом квартале объем экспорта составил 1734,5 миллионов долларов США и вырос по сравнению с первым кварталом прошлого года на 23,7% (в Российской Федерации рост составил 6%). По объему экспорта Ленинградская область занимает первое место в Северо-Западном федеральном округе. Объем экспорта в регионе увеличивается за счет роста экспортируемых объемов минеральных продуктов, продукции химической промышленности и древесины.
Темп роста по доходам 2006 года к 1999 году составил 6 раз.
Регион по доходам бюджета на душу населения в России в 1999 году занимал 30 место, в 2006 году – 23 место.
Поступление налоговых платежей и других сборов в бюджетную систему Российской Федерации с территории Ленинградской области в 2003 году составило 30 735 700 тысяч рублей (18,4 тысяч рублей на душу населения), в 2006 году – 53 071 700 тысяч рублей (32,3 тысяч рублей на душу населения).
Удельный вес оплаты труда в объеме расходов бюджета вырос с 22,4% в 2003 году до 30,9% в 2006 году.
Удельный вес капитальных вложений в основные фонды в объеме расходов бюджета в 2003 и 2006 годах составил соответственно 13,2% и 10,2%.
Доходы внебюджетных фондов за период с 2003 по 2006 годы выросли на 30-40%: Пенсионного фонда – с 13453 до 18019 миллионов рублей, Территориального фонда социального страхования – с 1453 до 1925 миллионов рублей, Фонда обязательного медицинского страхования – с 1369 до 3073 миллионов рублей, Фонда занятости – с 280 до 353 миллионов рублей.
Успешное и стабильное развитие экономики Ленинградской области и эффективная реализация приоритетных национальных проектов привели к росту благосостояния и качества жизни населения. В регионе невысокая доля населения с доходами ниже прожиточного минимума, низкий уровень регистрируемой безработицы.
Современный период демографического развития Ленинградской области характеризуется двумя тенденциями - с 2001 года в области отмечается рост уровня рождаемости, с 2005 года начал снижаться общий уровень смертности. Число родившихся в 2006 году по сравнению с 1999 годом увеличилось на 19%, число умерших – на 6%. В январе-апреле т.г. число родившихся составило 103% к аналогичному периоду 2006 года, число умерших – 91%. Источником пополнения населения остается миграция. Миграционный прирост увеличился с 11,7 тыс. человек в 1999 году до 12,2 тыс. человек в 2006 году, что частично компенсирует естественную убыль населения.
К числу важных положительных тенденций следует отнести снижение уровня младенческой смертности - с 11,8 в 1999 году до 7,9 умерших детей в возрасте до года на 1000 родившихся в 2006 году. На протяжении последних лет областные показатели младенческой смертности в среднем ниже, чем по России, и одни из самых низких в Северо-Западном федеральном округе.
В последние годы наблюдается стабильное развитие рынка труда в результате значительного расширения совокупного спроса экономики на рабочую силу. Уровень регистрируемой безработицы в области один из самых низких в России – менее 1% от экономически активного населения (в 1999 году – 2,3%). На 1 мая т.г. уровень регистрируемой безработицы в области составил 0,83% от экономически активного населения. На протяжении последних лет он более, чем в два раза ниже среднероссийского значения.
С 2000 года в области наблюдается устойчивый рост реальных денежных доходов; за 2000-2006 годы – в 2,6 раза, за пять месяцев т.г. - на 14,7% к аналогичному периоду 2006 года. В области этот показатель растет более высокими темпами, чем в среднем по России. Среднедушевые денежные доходы населения Ленинградской области в 2006 году к уровню 1999 года выросли в 8 раз (8092 рубля в месяц).
Величина прожиточного минимума в 2006 году по сравнению с 1999 годом увеличилась в 3,3 раза и составила в 4 квартале прошлого года 3321 рубль, в первом квартале текущего года – 3591 рубль.
В Ленинградской области имеет место динамичный рост заработной платы. С 1999 по 2006 годы среднемесячная номинальная начисленная заработная плата одного работника выросла в 7,3 раза, реальная – в 2,3 раза; в январе-апреле 2007 года на 25,9% и на 16,9% соответственно к январю-апрелю 2006 года. В апреле 2007 года средняя зарплата составила 11824 рублей. Начиная с 2005 года в Ленинградской области действует система оплаты труда работников бюджетной сферы, в соответствии с которой ни один работник не может получать зарплату ниже прожиточного минимума, в результате чего доля населения с доходами ниже прожиточного минимума снизилась с 52,4% в 1999 году до 14,2% в 2006 году.
Просроченная задолженность по заработной плате за период с 1999 года по 2006 год сократилась почти в 22 раза и на конец 2006 года составила 8,1 миллиона рублей.
Литература
Голуб Л. А. Социально-экономическая статистика. 2003
Бурцева С. А. Статистика финансов. 2004
Громыко Г.Л. Теория статистики. 2007
Елисеева И. И., Силаева С. А., Щирина А. Н. Практикум по макроэкономической статистике. 2007
Елисеева И.И. Общая теория статистики: Учебник для ВУЗов. – М.: Финансы и статистика, 2004.
Ефимова М.Р., Петрова Е.В., Румянцев В.Н. Общая теория статистики: Учебник. - М.: ИНФРА-М, 2002.
Ефимова М. Р., Бычкова С. Г. Практикум по социальной статистике. 2005
Теория статистики: Учебник. / Под ред. Р.А. Шмойловой. - М.: Финансы и статистика, 2002.
Назаров М. Г. Курс социально-экономической статистики. 2003
Палий И.А. Прикладная статистика. 2007
Салин В.П., Шпаковская Е.П. Социально-экономическая статистика: Учебник. - М.: Юрист, 2001.
Курс социально-экономической статистики: Учебник для вузов / Под ред. Проф. М.Г.
Практикум по социальной статистике: Учеб.пособие/ Под ред. И.И.Елисеевой.-М.: Финансы и статистика, 2002.
Экономическая статистика: Учебник / Под ред. Ю.Н. Иванова. - М.: ИНФРА-М, 2002.
Кибанов А.Я. «Экономика и социология труда: Учебник». – М.: ИНФРА-М, 2003. – 584с.
Липсиц И.В. «Экономика: учебник для вузов». – М.: Омега-Л, 2006. – 656с. – (Высшее экономическое образование).
Октябрьский П.Я. «Статистика: Учебник». – М.: ТК Велби, Изд-во Проспект, 2005.-328с.
Остапенко Ю.М. «Экономика труда: Учеб. пособие». – М.: ИНФРА-М, 2006 – 268с. – (Высшее образование).
Хейне П., Боуттке П., Причитко Д. «Экономический образ мышления», 10-е издание / пер. с англ. Гуреш Т.А. – М.: Изд. дом «Вильямс», 2005. – 544 с.
Чепурин М.Н., Киселева Е.А. «Курс экономической теории: учебник». – 5-е исправленное, дополненное и переработанное издание – Киров: «АСА», 2005. – 832с.
1по Российской Федерации рост в 1,5 раза.
2 по Российской Федерации – 149%
3 Коэффициент сальдо миграции увеличится с 73,1 в 2006 году до 74,7 человек на 10 тысяч населения.
4 Наиболее значительный рост зафиксирован в производстве транспортных средств и оборудования (в 2,3 раза), что связано с увеличением сборки легковых автомобилей из импортных комплектующих в ЗАО «Форд Мотор Компани», и в производстве резиновых и пластмассовых изделий (на 45,9%), что обусловлено началом производства шин для легковых автомобилей в ООО «Нокиан Тайерс».
5автомобильным (с учетом индивидуальных предпринимателей), трубопроводным (в целом по ООО «Балтнефтепровод») и внутренним водным транспортом увеличился на 3,6% по сравнению с январем-маем 2005 года и составил 45,5 млн. т при грузообороте 28,1 млрд. тонно-км (106,6%).
6 В структуре услуг основную долю занимали коммунальные (36,1%), жилищные (12,7%), бытовые услуги (12,7%), услуги связи (13,8%) и транспорта (10,5%), бытовые услуги (8,8%). Наиболее динамично развивались по сравнению с 2004 годом услуги образования (126,7%), коммунальные (117,4%) и бытовые (110,5%).
7 Федеральный закон №102-фз от 21.07.05.
8 Среднемесячная заработная плата в 2005 году составила 8485 рублей (125,8% к уровню 2004 года), в январе-апреле 2006 года рост составил 120,9% к соответствующему периоду предыдущего года и по оценке 2006 года заработная плата составит 10700 рублей (126,1% к уровню 2005 года). Тенденция роста среднемесячной заработной платы сохранится и на период до 2009 года (в 2007 году - на 21,7% к предыдущему году, в 2009 году – на 16,6%) и составит 18070 рублей.
9 По оценке, численность занятых в экономике в 2007 году составит 737,2 тыс. человек, увеличившись по сравнению с 2006 годом на 1,3 тыс. человек (100,2%).
1
Нравится материал? Поддержи автора!
Ещё документы из категории математика:
Чтобы скачать документ, порекомендуйте, пожалуйста, его своим друзьям в любой соц. сети.
После чего кнопка «СКАЧАТЬ» станет доступной!
Кнопочки находятся чуть ниже. Спасибо!
Кнопки:
Скачать документ