Теория случайных функций












































































Московский Государственный Институт Электроники и Математики
(Технический Университет)
КУРСОВАЯ РАБОТА
по курсу
“Теория случайных функций“
Студент: Ференец Д.А.
Преподаватель: Медведев А.И.
Вариант: 2.4.5.б
Москва, 1995
Дано:
Восстанавливаемая, резервированная система (5,1) с КПУ, вероятность срабатывания КПУравна
Время невыхода из строя (т.е. безотказной работы) основного элемента распределено экспоненциально с параметром .
Время восстановления вышедшего из строя элемента распределено экспоненциально с параметром .
Тип резервироавния - ненагруженный.
Для описания состояния системы введем двумерный случайный поцесс (t) = ((t), (t)) с координатами, описывающими:
- функционирование элементов
(t) {0, 1, 2} - число неисправных элементов;
- функционирование КПУ
(t) {0,1} - 1, если исправен, 0 - если нет.
Так как времена безотказной работы и восстановления имеют экспоненциальное распределение, то в силу свойств экспоненциального распределения, получим, что (t) - однородный Марковский процесс.
Определим состояние отказа системы:
Система отказывает либо если переходит в состояние 2 процесса (t) (т.е. отказ какого-либо элемента при количестве резервных элементов, равным нулю), либо если находится в состоянии 0 процесса (t) (т.е. отказ какого-либо элемента и отказ КПУ).
Таким образом, можно построить граф состояний системы:
1 П
0 - состояние, при котором 0 неисправных элементов,
т.е. состояние (t) = (0, (t))
1 - состояние, при котором 1 неисправный элемент,
т.е. состояние (t) = (1, 1)
П - состояние, при котором либо 2 неисправных элемента, либо 1 неисправный элемент и неисправный КПУ,
т.е. композиция состояний (t) = (1, 1), (t) =(2, 0) - поглощающее состояние.
Найдем интенсивности переходов.
Так как выход из строя каждого из элементов - события независимые, то получим:
вероятность выхода из строя элемента: 1-exp(-5h) 5h + o(h)
вероятность восстановления элемента: 1-exp(-h) h + o(h)
Пусть
Получим систему дифференциальных уравнений Колмогорова:
Пусть ,
т.е. применим преобразование Лапласа к .
Т.к. , то, подставляя значения интенсивностей, получаем:
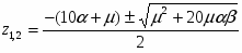
корни
Представляя каждую из полученных функций в виде суммы двух правильных дробей, получаем:
Применяя обратное преобразование Лапласа, получаем выражения для функций :
Искомая вероятность невыхода системы из строя за время t:
где
,
Итак,
где
Определим теперь среднее время жизни такой системы, т.е. MT
(T - время жизни системы):
Нравится материал? Поддержи автора!
Ещё документы из категории математика:
Чтобы скачать документ, порекомендуйте, пожалуйста, его своим друзьям в любой соц. сети.
После чего кнопка «СКАЧАТЬ» станет доступной!
Кнопочки находятся чуть ниже. Спасибо!
Кнопки:
Скачать документ