Теория вероятности

























































































КОНТРОЛЬНАЯ РАБОТА
на тему «Теория вероятности»
по предмету «Математика»
Задание 1
Общее число возможных элементарных методов равно числу сочетаний из 10 по 5:
.
Подсчитываем число исходов, благоприятствующих нашему событию. Среди 3-х женщин две женщины могут быть выбраны способами; при этом остальные 5–2=3 людей должны быть мужчинами. Взять же 3 мужчины из 7 можно способами. Следовательно, число исходов благоприятствующих нашему событию:
.
Искомая вероятность равна:
.
Задание 2
.
Возможны следующие три случая:
А – среди трех студентов посетивших библиотеку первый заказал учебник по теории вероятностей, а два других не заказали;
В – второй студент заказал учебник по теории вероятностей, а первый и второй нет.
Вероятность каждого из этих событий по теореме умножения равны:
;
;
.
Искомая вероятность по теореме сложения несовместных событий:
.
Поэтому: .
Чтобы нити оказались одного цвета должны выполниться следующие события:
А – вынуть две нити красного цвета;
В – вынуть две нити белого цвета.
Вероятность каждого из этих событий по теореме умножения вероятностей будут:
;
.
Искомая вероятность по теореме сложения вероятностей: .
Задание 3
.
I – 4б; 6кр; II – 5б; 10кр
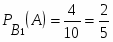
Обозначим события А – выбранный шар белый. Можно сделать два предложения:
– белый шар выбран из 1-го ящика
– белый шар выбран из 2-го ящика, так как ящик выбирают на удачу, то:
.
Условная вероятность того, что шар будет белым и извлечен он из первого ящика будет:
.
Вероятность того, что белый шар будет извлечен из второго ящика:
.
Формула полной вероятности:
.
Тогда вероятность того, что наугад взятый шар будет белым:
.
Задание 4
Воспользуемся локальной теоремой Лапласа:
;
;
.
В нашем случае n=600; k=25; P=0,05; q=0,95.
.
Так как функция – четная, то по таблице находим:
.
Тогда .
Задание 5
-
x
20
25
30
35
40
P
0,2
0,3
0,2
0,1
0,2
.
;
;
;
.
Начальный момент первого порядка: .
Аналогично: .
.
Находим центральные моменты по формулам:
;
;
.
Следовательно:
;.
Многоугольник распределения
Задание 6
Распределение Х и распределение Y
-
Xi
4
9
12
Yi
6
7
Pi
0,36
0,24
0,4
Pi
0,65
0,35
;
.
;
;
;
;
;
.
Коэффициент коррекции находим по формуле:
,
где: Kxy – корелляционный момент связи случайных величин X и Y; – среднеквадратические отклонения величин X и Y.
.
Тогда:
;
;
.
.
Задание 7
; .
;
.
Задание 8
Распределение Х и распределение Y
-
Xi
1
3
5
Yi
12
13
15
Pi
0,1
0,7
0,2
Pi
0,5
0,1
0,4
x1=1; x2=3; x3=5; y1=12; y2=13; y3=15; x1+ y1=13; x1+ y2=14; x1+ y3=16;
x2+ y1=15; x2+ y2=16; x2+ y3=18; x3+ y1=17; x3+ y2=18; x3+ y3=20;
Обозначим xi + yj=7, тогда имеем следующие значения z:
z1=13; z2=14; z3=15; z4=16; z5=17; z6=18; z7=20.
Соответствующие вероятности будут:
;
;
;
;
;
;
.
Искомое распределение
-
x+y
13
14
15
16
17
18
20
P
0,04
0,06
0,12
0,28
0,04
0,36
0,10
Контроль:
0,04+0,06+0,12+0,28+0,04+0,36+0,1=1.
Задание 9
-
Xi
2
4
6
8
10
12
14
16
ni
1
2
3
4
5
10
6
5
Находим значение эмпирической функции.
Вычисления выполняем в таблице.
Таблица вычислений
-
Xi
2
4
6
8
10
12
14
16
Частота
0,028
0,056
0,083
0,111
0,139
0,278
0,166
0,139
0,028
0,084
0,167
0,278
0,417
0,695
0,861
1,00
График эмпирической функции
Несмещенной оценкой генеральной средней является выборочная средняя:
.
Тогда:
.
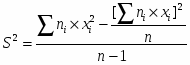
Несмещенную оценку генеральной дисперсии найдем по формуле:
Последовательно находим:
;
;
;
.
Модой называют варианту, имеющую наибольшую частоту.
.
Медиана:
.
Размах варьирования:
R=16–2=14.
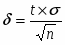
Из соотношения находим и t=1,96.
Находим точность оценки по формуле:
.
Тогда:
.
Доверительный интервал таков: ().
Нравится материал? Поддержи автора!
Ещё документы из категории математика:
Чтобы скачать документ, порекомендуйте, пожалуйста, его своим друзьям в любой соц. сети.
После чего кнопка «СКАЧАТЬ» станет доступной!
Кнопочки находятся чуть ниже. Спасибо!
Кнопки:
Скачать документ