Типовой расчет

















































































































































































































































1. Найти сумму ряда:
Решение.
Разложим знаменатель на множители.
Значит,
Разложим дробь , используя метод неопределённых коэффициентов.
то есть:
, ,
Следовательно,
Тогда, исходный ряд примет вид:
Найдём n – первые членов ряда, записывая дроби с одинаковыми знаменателями друг под другом:
=
=
=
=
=
=
=
=
Сложим n – первых членов ряда и найдём их сумму.
.
Тогда искомая сумма равна:
.
Ответ: .
2. Найти сумму ряда:
Решение.
Разложим дробь , используя метод неопределённых коэффициентов.
то есть:
, , ,
Следовательно,
Тогда, исходный ряд примет вид:
Найдём n – первых членов ряда , записывая дроби с одинаковыми знаменателями, друг под другом:
=
=
=
=
=
=
=
=
Сложим n – первых членов ряда
и найдём их сумму.
.
Тогда искомая сумма равна:
Ответ: .
3. Исследовать ряд на сходимость
Решение.
Так как , то рассмотрим ряд
, тогда
Воспользуемся признаком Даламбера.
,
Тогда,
Так как , то ряд сходится. Значит, исходный ряд сходится по теореме о сравнении рядов.
Ответ: Ряд сходится.
4. Исследовать ряд на сходимость
Решение.
Преобразуем n – член этого ряда.
Сравним ряд с рядом , пользуясь предельным признаком сравнения:
,
Тогда,
Поскольку А = 1 (0<A<+∞) – действительное число. Следовательно, ряды либо сходятся, либо расходятся. Ряд - является рядом Дирихле. Так как α = 3 > 1, то данный ряд сходится. Следовательно, и сравниваемый ряд тоже сходится.
Ответ: ряд сходится.
5. Исследовать ряд на сходимость
Решение.
Воспользуемся признаком Даламбера.
,
Находим m по формуле:
Тогда:
Так как , то ряд расходится.
Ответ: ряд расходится.
6. Исследовать ряд на сходимость
Решение.
Рассмотрим ряд
.
Поскольку при :
Воспользуемся признаком Даламбера.
,
Находим m по формуле:
Тогда:
Так как , то ряд сходится.
Согласно признаку сравнения сходится и ряд .
Ответ: ряд сходится.
7. Вычислить сумму ряда с точностью α..
α. = 0,001.
Решение.
Прежде чем находить сумму ряда необходимо убедиться, что данный ряд сходится. Проверим исходный ряд на сходимость.
- числовой знакочередующейся.
Воспользуемся признаком Лейбница:
1)
2)
Следовательно, ряд условно сходится.
Проверим абсолютную сходимость ряда . Рассмотрим ряд .
Воспользуемся признаком Даламбера:
,
Находим m по формуле:
Тогда:
Следовательно, ряд
сходится абсолютно.
Вычисляем члены ряда с точностью до 4 цифр после запятой до тех пор, пока какой-нибудь член ряда по модулю не будет меньше α. = 0,001:
а1 = -1,5 а2 = 0,1042 а3 = - 0,0016 а4 = 0,0000093
Для приближённого вычисления ряда достаточно первых трех членов ряда (по следствию признака Лейбница: сумма сходящегося знакопеременного числового ряда не превышает его первого члена). Следовательно, ошибка при вычислении не превысит 0,0000093, а, значит, и . Требуемая точность достигнута.
Следовательно:
.
Ответ: .
8. Найти область сходимости функционального ряда
Решение.
Рассмотрим два интервала:
1)
Проверим необходимый признак сходимости рядов:
Необходимый признак не выполняется. Следовательно, при ряд расходится.
2) , то есть
Проверим необходимый признак сходимости рядов:
Необходимый признак не выполняется. Следовательно, при ряд расходится.
При имеем:
то есть ряд расходится.
Окончательно, получаем ряд расходится при любом Х
Ответ:
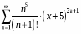
9. Найти область сходимости функционального ряда
Решение.
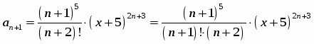
Воспользуемся признаком Даламбера:
.
В данном примере:
,
.
Следовательно, ряд сходится при любом Х, т.е.
Ответ: .
10. Найти сумму ряда:
Решение.
Найдём область абсолютной сходимости ряда, пользуясь признаком Даламбера:
то есть . Ряд сходится для тех значений Х, для которых , то есть , .
При ряд расходится, так как .
Следовательно, .
Перепишем данный ряд:
Обозначим сумму трёх рядов через , и соответственно, тогда
.
Определяем область сходимости этих рядов, пользуясь признаком Даламбера:
1) :
то есть . Ряд сходится для тех значений Х, для которых , то есть , .
Следовательно, .
2) :
то есть . Ряд сходится для тех значений Х, для которых , то есть , .
Следовательно, .
3) :
то есть . Ряд сходится для тех значений Х, для которых , то есть , .
Следовательно, .
Найдём сумму ряда .
Это сумма бесконечной геометрической прогрессии: , тогда:
.
Найдём сумму ряда .
.
Обозначим сумму ряда в скобках за и проинтегрируем:
.
Продифференцируем :
.
Отсюда:
сумму ряда .
.
Обозначим сумму ряд в скобках за и проинтегрируем:
.
Тогда, продифференцируем :
Отсюда:
.
Следовательно:
для всех .
Ответ: для всех .
Нравится материал? Поддержи автора!
Ещё документы из категории математика:
Чтобы скачать документ, порекомендуйте, пожалуйста, его своим друзьям в любой соц. сети.
После чего кнопка «СКАЧАТЬ» станет доступной!
Кнопочки находятся чуть ниже. Спасибо!
Кнопки:
Скачать документ