Кейнсианска теория
Содержание:
1.Введение
2.Основные положения «Общей теории занятости, процента и денег».
3.Эффект мультипликатора.
4.Кейнсианская программа экономического роста.
5.Кейнсианский крест
6.Заключение.
7.Список использованной литературы.
1.Введение.
Джон Мейнард Кейнс – «отец-основатель» кейнсианской теории. В 1915 г. он
завершает и впоследствии публикует свой «Трактат о вероятностях» — плод его
увлечения математикой. Правда, философ Б. Рассел отозвался об этой работе
Кейнса не без иронии: «Книга слишком трудна для того, чтобы ее слишком
хвалить».
Свою первую экономическую монографию «Индийская валюта и финансы» Кейнс
опубликовал в 1913 г. Он рекомендовал сохранить подчиненное положение валюты
доминиона по отношению к английской, которая должна, по его мнению, твердо
опираться на золотой стандарт. Здесь обозначился его интерес к теории денег,
верность которой он сохранял всю жизнь. В 1919 году выходит книга
«Экономические последствия Версальского договора», ставшая бестселлером и
вызвавшая неудовольствие правительственных кругов Великобритании. Кейнс
писал: «Если мы намеренно стремимся к обнищанию в Центральной Европе, то
возмездие не заставит себя долго ждать». Следующей большой работой Кейнса
стал «Трактат о денежной реформе» (1923 г.), где доказывается
необоснованность возвращения Британии к золотому стандарту. Здесь ж" впервые
выдвигается в качестве ключевой проблема занятость и указывается, что
инфляция, стимулирующая экономически активные элементы общества, является
меньшим злом, та как в обнищавшем мире гораздо опаснее провоцировать
безработицу, чем неудовольствие рантье. Эти идеи Кейнс развивал также в
памфлетах «Экономические последствия валютной политики мистера Черчилля» и
«Конец laissez fair», где критиковал политику невмешательства государства в
экономику классический принцип «laissez fair».
В 1930 г. выходит в свет двухтомный «Трактат о деньгах». Кроме вопросов
денежного обращения, Кейнс разрабатывает здесь основы теории занятости и
национального дохода, выдвигая на первый план проблему экономической
нестабильности и намечает принципиально новый подход к ней по средствам
анализа соотношения между инвестициями и c6epежениями. Берущая здесь свое
начало концепция «эффективного спроса» стала несущей опорой кейнсианской
теории.
Опубликованный в 1936 году главный труд Кейнса «теория занятости, процента и
денег» знаменовал собой революционный переворот в развитии экономической
мысли. Автор в предисловии противопоставляет свой метод классическому
наследию А. Смита и Д. Рикардо.
Дж. Кейнс считается создателем системы государственного регулирования
экономики, хотя оно, скорее следствие, чем побудительный мотив
макроэкономического анализа.
Стимулятором производства является, согласно кейнсианской модели, спрос,
определяемый как психологическая готовность общества к потреблению.
2.Основные положения «Общей теории занятости, процента и денег».
Приступая к изложению собственной системы взглядов, Кейнс счел необходимым
подвергнуть критике ряд предрассудков, укоренившихся в современной ему
западной экономической науке. Одним из таких предрассудков, несостоятельность
которого в годы «великой депрессии» стала совершенно очевидной, был «закон
рынков» Сея. Согласно воззрениям Сея, которые разделялись и неоклассиками,
товаропроизводитель продает свой товар, чтобы купить другой, т. е. каждый
продавец обязательно становится затем покупателем. Следовательно,
предложение автоматически порождает соответствующий спрос, общее
перепроизводство невозможно. Возможно лишь перепроизводство отдельных
товаров, в отдельных отраслях (частичное перепроизводство), которое затем
быстро ликвидируется.
Кейнс отвергал подобную позицию, указывая, что капиталистическая экономика
основана не только на обмене товара на товар, она опосредована обменом денег.
Деньги же — не просто вуаль, наброшенная на бартерные сделки. Денежный
фактор играет весьма активную самостоятельную роль: накапливая денежные
знаки, осуществляя функцию сбережения, экономические агенты сокращают
совокупный объем платежеспособного спроса. Таким образом, может возникнуть и
реально возникает общее перепроизводство.
В критике доктрины Сея Кейнс указал лишь на внешнюю причину кризисов
перепроизводства, при этом неисследованными остались более глубокие причины
кризисов, порождаемые спецификой и противоречиями накопления капитала. Тем
не менее, критика « закона рынков » Сея привела Кейнса к важному выводу:
объем производства национального дохода, а также его динамика определяются
непосредственно не факторами предложения (размерами применяемого труда,
капитала, их производительностью), а факторами эффективного
(платежеспособного) спроса.
Считалось, что освободиться от «излишка» рабочей силы, если он возникал,
можно без особых затруднений – посредством снижения заработной платы, а
поднять уровень занятости следует противоположным путем – увеличив размеры
заработной платы. Иными словами, можно добиться повышения или падения спроса
на труд через динамику оплаты труда. Возникновение безработицы связывалось с
изменением уровня оплаты труда. Понижая заработную плату, предприниматели
сокращали производственные издержки, расширяли выпуск продукции, не опасаясь
затоваривания. Они исходили из того, что и на рынке товаров, и на рынке
труда, и на рынке денег в условиях свободной конкуренции надежно
функционирует универсальный регулятор – цена. Движение цен (процента,
заработной платы) позволяет перераспределять ресурсы и исправлять
возникающие несоответствия на всех рынках. В противовес Сею и неоклассикам,
Кейнс поставил ее в центр своих исследований, сделал исходным пунктом
макроанализа.Факторы, лежащие на стороне спроса, по Кейнсу, решают дело в объяснении общего объема занятости. Излагая собственную позицию в данном вопросе, Кейнс полемизирует с последователем кембриджской школы профессором А. Пигу,
автором книги «Теория безработицы» (1933).
Пигу исходил из существования только двух видов безработицы:
а) фрикционной (имеющей в качестве причины плохую информированность рабочих
о предложении рабочих мест, их нежелание менять квалификацию, место
жительства); б) добровольной (образующейся в тех случаях, когда рабочие или
не хотят трудиться за плату, равную предельному продукту труда, или оценивают
«тягостность труда» выше, чем предлагаемая заработная плата.) (В последних
случаях рабочие, по мнению Пигу, остаются незанятыми добровольно и сами
повинны в своем положении.)
Кейнс не оспаривал существования фрикционной и добровольной безработицы.
Однако в условиях глубочайшей депрессии 30-х гг. он счел необходимым
признать, что существует еще и вынужденная (недобровольная) безработица.
Отразив действительную ситуацию на рынке труда, Кейнс выступил с заявлением,
что даже при уменьшении реальной заработной платы занятые трудящиеся не
бросают работы, а безработные не сокращают предложения рабочей силы.
Реальная заработная плата, по Кейнсу, зависит от спроса на труд, но,
поскольку он ограничен, существуют безработные поневоле. Тезис Кейнса о
вынужденной безработице связывал объем занятости с объемом спроса в масштабах
всего общества (совокупным спросом), т. е. опять-таки подводил к учению о
спросе как центральной проблеме макроанализа.
Почему же именно спрос, а не какие-то иные факторы, является решающим при
определении уровня занятости? Отвечая на этот вопрос, Кейнс вводит понятие
совокупный спрос.
В общем виде совокупный спрос распадается на потребительский спрос C и
инвестиционный спрос I. Совокупный спрос – это денежный спрос. Спрос
на потребительские товары зависит от того, каков объем совокупного денежного
дохода и как расходуется этот доход.
Естественно, что с ростом доходов растет и спрос, увеличиваются расходы на
потребление. Но это не означает, что расходы увеличиваются в той же самой
пропорции, на ту же самую сумму. Возражая классикам, Кейнс писал об
ошибочности утверждения, что «вся стоимость продукции должна быть
израсходована прямо или косвенно на покупку продуктов», будто «весь доход
человека расходуется на покупку услуг и товаров». Расходуются не все деньги,
получаемые в виде дохода; часть их откладывается в виде сбережений. Поэтому
совокупные расходы представляют лишь одну часть совокупного дохода, другая
его часть – сбережения.
По Кейнсу, доход является основным фактором, определяющим потребление. Он
считает, что размеры сбережений – это остаток, образуемый в виде разницы между
размером дохода и уровнем потребления. Денежная масса, вопреки представлениям
классиков, влияет не только на уровень цен, но и на деловую активность, с ней
связаны размеры дохода и динамика спроса. Кейнс ввел категорию «предпочтение
ликвидности», которое означает стремление иметь запас денег в виде наличности,
спрос на деньги. Он обусловливается различными причинами, не обязательно
связанными с процентной ставкой. Средства, используемые для личного
потребления, возрастают вместе с ростом дохода. Но они, как было отмечено,
возрастают не в той пропорции, в которой увеличивается доход. В качестве
причины, по терминологии Кейнса, выступает «основной психологический
закон», смысл которого состоит в том, что по мере роста дохода, увеличения
богатства склонность к потреблению снижается. «Основной психологический закон»
Кейнса отражает то реальное обстоятельство, что при возрастании дохода, идущего
на потребление, все большая его часть расходуется на покупку дорогостоящих
предметов длительного пользования и, следовательно, должна некоторое время
накапливаться. За определенным порогом роста доходов индивид удаляется от
положения наемного работника, тратящего большую часть дохода на личное
потребление, и приближается к положению капиталиста, общественная функция
которого состоит в накоплении капитала.
Отмечаются мотивы поведения людей, подталкивающие их к некоторому сдерживанию
расходов, направляемых на покупки, расширение потребления (скупость,
предусмотрительность, расчетливость и др., всего восемь мотивов).
Средства, используемые для личного потребления, возрастают вместе с ростом
дохода. Отношение уровня потребления C к размеру дохода Y кейнсианцы называют
склонностью к потреблению C/Y. Отношение же приростных величин – прироста
потребления к приросту дохода
– называют предельной склонностью к потреблению
. Главным фактором стимулирования совокупного спроса Кейнс считал инвестиции.
Они должны компенсировать недостаточность потребительского спроса. Рост
инвестиций призван стимулировать рост спроса, а рост платежеспособного спроса
приведет к повышению занятости и увеличению национального дохода.
Объем инвестиций также наталкивается на определенные препятствия. То, что с
ростом дохода растут и сбережения, не означает, что вслед за этим в той же
пропорции увеличиваются инвестиции. Прирост сбережений не обязательно
трансформируется в прирост инвестиций. Равенство, согласно которому сбережения
должны быть равны инвестициям (S=I), нарушается.
Проблема роста инвестиций особенно волновала Кейнса, поэтому он вводит
важные изменения и в представления о норме процента, от которой зависит
величина инвестиций.
Росту инвестиций препятствует снижение нормы ожидаемой прибыли. Падение этой
нормы происходит в силу закона убывающей производительности капитала. Ввиду
возрастающих размеров ранее накопленного капитала перспективы инвестиционных
вложений в производство становятся менее благоприятными. Если к тому же
процентная ставка сохраняется на относительно высоком уровне, денежные
средства вкладываются не в оборудование, станки, прирост запасов, а в ценные
бумаги. Деньги накапливаются, а не направляются в отрасли, обеспечивающие
экономический рост.
Размер инвестиций зависит также от ожиданий, степени риска, уверенности в
целесообразности инвестирования. Кейнсианцы отвергают доктрину laissez
faire и считают, что государство должно воздействовать на совокупный
спрос, если его объем недостаточен. В качестве инструментов регулирования
величины спроса они рассматривают кредитно-денежную и бюджетную политики.
Кредитно-денежная политика воздействует на увеличение спроса через понижение
процентной ставки, облегчая этим инвестиции. Это требует роста денежной
массы, но не вызывает инфляцию, если величина спроса недостаточна (и,
следовательно, если велика безработица), потому что инфляция и высокий
уровень безработицы несовместимы между собой.
Согласно выводам, к которым пришел Кейнс, экономическое равновесие
определяется в конечном счете равенством между сбережением и накоплением. А
главной проблемой является недостаточность совокупного спроса; ему
препятствует сокращение предельной склонности к потреблению, снижение
прибыльности увеличивающегося в размерах капитала, чрезмерное предпочтение
ликвидности (наличности).
Кейнс показал, что в современных условиях нет свободного движения цен в
сторону понижения. Нельзя без конца понижать процентную ставку. На каком-то
этапе может возникнуть такая ситуация, что владельцы денег начнут проявлять
осторожность и перестанут давать их взаймы, будут держать деньги в запасе на
случай всяких непредвиденных обстоятельств.
Итак, основные положения, на которые опираются в своём анализе кейнсианцы :
Совокупный спрос не равнозначен совокупным доходам.
Доходы в самом общем виде распадаются на две части: потребление и сбережения.
Сбережения не обязательно равны инвестициям, они в силу ряда причин
«отстают» и не превращаются в инвестиции.
При анализе ситуации возникающего неравновесия на макроуровне следует идти не
от производства, а от спроса. Размеры спроса играют более важную роль при
обеспечении занятости и загрузке производственных мощностей, нежели движение
и «гибкость» цен.
Рассмотрение функциональных связей между важнейшими категориями следует вести
на макроуровне, что позволит выявить факторы, влияющие на экономический рост
и равновесность.
Соответствие между совокупным спросом и совокупным доходом – предпосылка
достижения равновесия в экономике. Оно будет иметь место тогда, когда
сбережения равны инвестициям. Если инвестиции уменьшаются, то уменьшается и
доход. Меньшие размеры дохода означают соответствующее уменьшение
сбережений, а от размера сбережений зависят инвестиции.
3.Эффект мультипликатора.
Важную роль в кейнсианской теории играет концепция мультипликатора. В
переводе мультипликатор означает «множитель» (multiplication – умножение,
увеличение; multiplier – множитель, коэффициент). Инвестиционный
мультипликатор множит, усиливает спрос в результате воздействия инвестиций на
рост дохода.
Первоначально эффект мультипликации был показан на примере увеличения
занятости при организации общественных работ. При расширении общественных
работ рост числа занятых оказывался более значительным, чем увеличение числа
работников, непосредственно привлекаемых к общественным работам. К примеру,
рабочие, нанятые для сооружения шоссейных дорог, увеличивая спрос на
потребительские товары, «вызывают» тем самым дополнительную занятость в
отраслях, специализирующихся на выпуске этих товаров во «вторичном»
секторе. В свою очередь рост доходов и потребления этой группы рабочих
потребует расширения производства предметов потребления в смежных отраслях –
«третичном» секторе. Образующаяся таким образом цепная связь
распространяется (по убывающей) и на другие сектора. Эффект мультипликации
будет зависеть от величины «начального» импульса.
Кейнс использовал мультипликатор, трансформировав его в показатель,
выражающий взаимосвязь между приростом инвестиций и увеличением дохода.
Кейнсианский мультипликатор показывает, как влияет прирост инвестиций
(государственных и частных) на прирост выпуска (и дохода).
Мультипликатор помогает «почувствовать» эффект государственного
стимулирования. Если государство наняло рабочих, доходы которых вырастут на 1
млн. долл., то совокупный доход в обществе вырастет на большую сумму. Это
произойдет, во-первых, потому что существует взаимосвязь между отраслями.
Прирост доходов под влиянием увеличения инвестиций порождает цепочку
межотраслевых взаимосвязей, которая в итоге вызывает рост производства, а
значит, и дохода.
Во-вторых, прирост дохода, возникший от увеличения объема
инвестиций, делится на личное потребление и сбережение. Чем выше доля
потребления С, тем сильнее действует мультипликатор. Мультипликатор и
прирост потребления (предельная склонность к потреблению - МРС) находятся в
прямой пропорциональной зависимости. Мультипликатор и прирост сбережений
(предельная склонность к сбережению - МРS) находятся в обратно
пропорциональной зависимости.
Формула мультипликатора исходит из известного нам положения, согласно которому
доход Y равен сумме потребления C и сбережений S. Если
принять, что Y=1, то C+S=1.
Поскольку мультипликатор
показывает, в какой мере увеличивается (прирастает) доход под воздействием
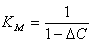
накопления, то коэффициент мультипликации KM может быть
выражен как единица, деленная на предельную склонность к сбережению:
(1)
Другое выражение этой зависимости:
(2)
где – предельная склонность к потреблению.
Общий эффект мультипликатора не проявляет себя сразу, а как бы
«растягивается» на протяжении определенного периода. Применительно к
показателям американской экономики 20-х годов затухание первоначального
эффекта продолжалось примерно полтора-два года. Эффекты мультипликации
наслаивались и добавлялись. В реальной действительности действует не
простой, а многосложный мультипликатор.
Само проявление мультипликационного эффекта предполагает наличие
определенных условий. Он проявляет себя, прежде всего, при наличии
неиспользованных мощностей, свободной рабочей силы. Весьма существенно, куда,
в какие отрасли направляются инвестиционные вложения, какова их структура.
Эффект мультипликации имеет место обычно в условиях подъема, а не в период
спада. Вообще, мультипликатор – механизм с двумя лезвиями: он может усиливать
как рост национального дохода, так и его сокращение.
Рассматривая эффект мультипликации, Кейнс имел в виду в первую очередь расходы
из государственного бюджета, в том числе на общественные работы. Он иронически
замечал, что можно было бы организовать и бессмысленные работы, чтобы только
занять безработных. «Если бы казначейство наполняло старые бутылки банкнотами,
закапывало их на соответствующей глубине в бездействующих угольных шахтах,
заполняло эти шахты доверху городским мусором, а затем, наконец, предоставляло
бы частной инициативе на основе хорошо испытанных принципов laissez faire
выкапывать эти банкноты из земли, то безработица могла бы полностью исчезнуть,
а косвенным образом, это привело бы, вероятно, к значительному увеличению
реального дохода общества, так и его капитального богатства по сравнению с
существующими размерами. Разумеется, более целесообразно было бы строить жилые
дома и т. п., но если этому препятствуют политические и практические трудности,
то и предлагаемый вариант окажется лучше, чем ничего».
Стимулирующий эффект мультипликатора зависит от многих факторов. Если
увеличиваются налоги, то величина реального мультипликатора снижается.
Если слишком значителен импорт, то часть новых доходов «уплывет» за границу,
увеличится вероятность дефицита платежного баланса.
Как известно, инвестиционная деятельность наименее стабильна, она сильнее
подвержена внешним воздействиям, чем, например, сфера потребления. На учете
действия мультипликационных связей строится экономическая политика,
принимаются решения по регулированию экономической жизни. Понимание
мультипликационных взаимосвязей необходимо и для уяснения особенностей
экономических сдвигов в условиях переходной экономики.
Само понятие
мультипликатора позволяет уяснить три важных особенности экономического
процесса. Во-первых, при KM>1 программы стимулирования
экономической деятельности должны частично основываться на самофинансировании:
получаемый доход должен приносить новый доход, часть которого сберегается и
служит источником новых инвестиций. Во-вторых, поскольку
<1, то рост доходов не может длиться бесконечно и затухает: величина
последующих инвестиций постепенно падает до нуля. Но это уменьшает уровень
занятости. Рыночная саморегулируемость, таким образом, не может гарантировать
полной занятости. Это противоречит утверждениям классиков, начиная с А. Смита.
В-третьих, сбалансированность сбережений и инвестиций зависит в большей
степени от изменений в уровне дохода, чем от изменений нормы процента, как
полагали экономисты-классики. Более низкий уровень дохода соответствует
меньшему объему сбережений. Равновесие сохранится, если этому меньшему
объему сбережений будет соответствовать меньший объем инвестиций. Наоборот,
если величина инвестиций больше сбережений, то спустя некоторое время
экономика, через действие мультипликатора, может перейти в новое равновесие,
соответствующее большему уровню дохода (или росту инфляции).
С этими величинами связана и занятость. Доход соизмерим с объемом продукции
(при неизменных ценах), а на малых интервалах времени, исключающих новое
применение НТП к производству, объем выпуска соизмерим с занятостью. На малых
интервалах времени, следовательно, теория равновесного дохода является
одновременно и теорией занятости.
Связь между величиной мультипликатора и изменением равновесного уровня
дохода легко выражается в мультипликаторной модели:
(3)
где – изменение
равновесного дохода и
– изменение объема инвестиций. Отсюда видно, что всякий раз, когда происходит
приращение (сокращение) инвестиций, равновесный или близкий к равновесному
доход увеличивается (уменьшается) на сумму, в MK раз
превышающую это приращение. Или иначе: каждый рубль, затраченный на
инвестиции, дает несколько рублей в совокупном доходе. Равенство (3)
показывает, что приращение дохода тем больше, чем выше склонность к потреблению
.
4.Кейнсианская программа экономического роста.
Кейнс написал работу теоретического характера. Однако его обоснования и
выводы представляют основу для формирования важнейших принципов
экономической политики. В своей «Общей теории» он в целях обеспечения
эффективного спроса как определяющего фактора роста и повышения уровня
занятости выдвигает следующие «рецепты»:
1. Денежная политика, регулирование процентной ставки. Предлагалось
снизить проценты на кредиты, что увеличит разрыв между стоимостью кредитов и
ожидаемой прибыльностью капиталовложении, поднимет их «предельную
эффективность». Предприниматели будут вкладывать денежные средства не в
ценные бумаги, а в развитие производства. Но снижение процентной ставки –
это не главный путь. Кейнс предполагал, что не исключена ситуация, когда
денежная масса продолжает расти, а понижение процентной ставки практически
останавливается. Возникает «ловушка ликвидности» .
2. Бюджетная политика. Чтобы стимулировать эффективный спрос, Кейнс
предлагал увеличить государственные расходы, увеличить государственные
инвестиции и государственные закупки товаров. Рекомендовалось также
уменьшить налоги. Но все же главным Кейнс считал наращивание расходов. В
дальнейшем увеличение расходной части госбюджета будет компенсировано
новыми налоговыми поступлениями, образуемыми за счет увеличения производства
и расширения занятости.
Расчет делался на то, что государство «будет брать на себя все большую
ответственность за прямую организацию инвестиций». Предполагалось, что
расширение инвестиционной деятельности государства будет направлено, прежде
всего, на организацию общественных работ – строительство дорог, освоение
новых районов, сооружение предприятий.
3. Перераспределение доходов в интересах социальных групп, получающих
наиболее низкие доходы. Такая политика была призвана увеличить «спрос» этих
социальных групп, повысить денежный спрос массовых покупателей. Склонность к
потреблению в обществе должна увеличиться.
4. Политика полной занятости, направленная на недопущение значительной
безработицы, на расширение системы социального обеспечения. Предлагался
комплекс мер социального характера, включая выплату пособий, развитие системы
долгосрочного кредита и т. д.
В качестве главного инструмента Кейнс рассматривал бюджетную политику, в том
числе расширение расходов и инвестиционной деятельности самого государства.
Косвенные методы регулирования, в частности снижение процентной ставки,
считались малоэффективными.
5. Кейнсианский крест
«Кейнсианский крест» (или «Крест Кейнса») — макроэкономическая модель, графическое изображение положительной зависимости между совокупными затратами экономических агентов и общим уровнем цен в экономике.
Кейнсианский крест состоит из двух видов кривых и чертится как функция . Первая строится как функция под углом в 45 градусов. Данная функция определяет кривую реальных совокупных издержек, так как в макроэкономической теории считается, что реальные общие затраты не могут не равняться совокупному выпуску. Другая кривая является функцией запланированных совокупных издержек, которая строится в зависимости от типа экономики.
Если рассматриваются только частный сектор или закрытая от внешней торговли экономика, то данную кривую чертят под углом равному предельной норме к потреблению (обозн. ранее, mpc) и на высоте от начала координат, равной либо просто автономному потреблению домохозяйств (), либо сумме автономного потребления и инвестиций в экономику (), или же сумме первых двух, ранее упомянутых и государственных закупок товаров и услуг (). Если же рассматривается открытая экономика, то есть поддерживающая международную торговлю, то тогда угол кривой запланированных издержек равен разнице предельной нормы к потреблению и предельной нормы к импорту (обозн. ранее, mpm) (mpc — mpm), а высота кривой относительно начала координат является суммой всех параметров равновесного объема выпуска, но только автономных ()[
«Кейнсианский крест» является одним из самых известных способов моделирования совокупного спроса. С помощью этой модели можно определить такие параметры, как равновесный объем выпуска, общий уровень цен в экономике, так же, как и в модели AD-AS. Поскольку пересечение кривых совокупных издержек показывает полную занятость ресурсов в экономике, по «кейнсианскому кресту» можно также анализировать фазы экономических циклов. Если реальные издержки превышают запланированные (то есть уровень выпуска больше уровня полной занятости ресурсов), это означает, что фирмы не смогли продать столько, сколько планировали, что влечет за собой уменьшение выпуска
продукции, увеличение уровня циклической безработицы, а следовательно в стране наблюдается рецессия. Если же реальные издержки меньше запланированных, когда уровень выпуска находится ниже уровня полной занятости, то у фирм, наоборот, меньше продукции, чем требуется на рынке, из-за чего они увеличивают свой объем выпуска, а таким образом можно наблюдать подъем в экономике.
Теория Кейнса – это, прежде всего, теория эффективного спроса. Идея Кейнса
состоит в том, чтобы через активизацию и стимулирование совокупного спроса
(общей покупательной способности) воздействовать на производство и
предложение товаров и услуг. Кейнсианская теория это теория, придающая
решающее значение инвестициям. Чем выше их прибыльность, ожидаемый от них
доход и чем значительнее размеры инвестиций, тем больше масштабы и выше темпы
производства. Концепция, выдвинутая и отстаиваемая Кейнсом, предусматривает
активное вмешательство государства в экономическую жизнь. Кейнс не верил в
саморегулирующийся рыночный механизм и считал, что для обеспечения
нормального роста и достижения равновесия необходимо вмешательство в процесс
экономического развития извне. Рыночная экономика сама себя (без участия
государства) «вылечить» не может.
Во-вторых, теория кейнсианства остается значимой и популярной потому, что
имеет прямой выход на практику. Она представляет не просто дальнейшее
развитие теории, пересмотр теоретических положений классиков, а обосновывает
практические рекомендации, направленные на регулирование
воспроизводственного процесса, снижение уровня безработицы. По Кейнсу,
равновесие может быть достигнуто не только при полной, но и при неполной
занятости.
В-третьих, принципиальное значение имеет кейнсианская методология, которая
выходит за рамки какой-либо одной проблемы. Многие считают, что предложенная
Кейнсом система анализа означала «революцию» в экономической теории. Великие
классики прошлого не различали микро- и макроэкономические аспекты экономики.
Однако, поскольку условия процветания отдельной фирмы не тождественны
эффективности экономики в целом, то макроэкономический подход не может не
отличаться от микроэкономического. Поэтому дальнейшее развитие экономической
науки потребовало построения двух разных уровней экономического анализа.
Микроэкономический анализ был создан неоклассической экономикой, а вот
создание основ краткосрочного макроэкономического анализа выпало на долю
Кейнса.
Кейнс ввел в теоретический обиход экономической науки макроэкономические
модели, основанные на взаимосвязи небольшого числа наблюдаемых переменных, а
общее равновесие экономики – к равновесию товарного рынка, денежного рынка,
рынка облигаций и рынка труда. Причиной возможной нестабильности экономики он
считал колебания в уровне дохода, вызванные неожиданными изменениями объема
инвестиций. Последние, если они достигают опасной границы, не могут быть
скорректированы только силами рыночной саморегуляции и требуют
дополнительного (но не заменяющего рынка) вмешательства государства.
Взгляды кейнсианцев пользовались огромной популярностью до конца 50-х годов,
но позже, особенно когда изменились условия функционирования послевоенной
экономики, стали подвергаться все большей критике. Кризис кейнсианской
концепции государственного регулирования обусловлен многочисленными
факторами, среди которых, на первом месте стоят технологические и социальные
сдвиги, порожденные научно-технической революцией, а также всесторонняя
интернационализация производства и капитала. Первый фактор обусловил
гигантское расширение номенклатуры изделий при чрезвычайной ее изменчивости,
привел к невиданной ранее подвижности производственных и финансовых
пропорций, увеличил удельный вес мелких и мельчайших предприятий. В этих
условиях роль стимулов и рычагов спонтанного рыночного регулирования
объективно усилилась, тогда как значение государственного регулирования
относительно уменьшилось. В этом же направлении действовала и
интернационализация хозяйства ведущих капиталистических стран, понижавшая
действенность национальных средств воздействия на экономику. Однако даже
самые ярые их противники открыто признают, что современную экономическую
науку нельзя даже представить себе без того, что было привнесено в нее
творчеством Джона Мейнарда Кейнса.
Кейнсианцы показали, что экономический рост зависит от структуры
общественного продукта, что равновесие может быть достигнуто и при неполной
занятости и что полезно исследовать типичные явления, складывающиеся из
массовых устремлений и действий участников экономических процессов.
7.Список использованной литературы.
1. Кейнс Дж. М. Избранные произведения. М., 1993.
2. Кейнс Дж. М. Общая теория занятости, процента и денег. /Пер. с англ.;
М., 1978.
3. Костюк В.Н. История экономических учений. – М.: Центр, 1997.
4. Николаева И. П. Экономическая теория. М.: Финстатинформ, 1997.
Нравится материал? Поддержи автора!
Ещё документы из категории экономика:
Чтобы скачать документ, порекомендуйте, пожалуйста, его своим друзьям в любой соц. сети.
После чего кнопка «СКАЧАТЬ» станет доступной!
Кнопочки находятся чуть ниже. Спасибо!
Кнопки:
Скачать документ
















