Выбор оптимальной стратегии производства агрегатно-сборочного предприятия авиационного профиля в условиях неопределенности





















































































































































МИНИСТЕРСТВО НАУКИ И ОБРАЗОВАНИЯ УКРАИНЫ
НАЦИОНАЛЬНЫЙ АЭРОКОСМИЧЕСКИЙ УНИВЕРСИТЕТ
ИМ. Н. Е. ЖУКОВСКОГО «ХАИ»
Кафедра 602
Курсовой проект
по дисциплине: «Планирование деятельности предприятия»
на тему: «ВЫБОР ОПТИМАЛЬНОЙ СТРАТЕГИИ ПРОИЗВОДСТВА АГРЕГАТНО – СБОРОЧНОГО ПРЕДПРИЯТИЯ АВИАЦИОННОГО ПРОФИЛЯ В УСЛОВИЯХ НЕОПРЕДЕЛЕННОСТИ»
Выполнила
Проверил
преподаватель
Лысенко А.И
Харьков
План
Введение
Исходные данные
Расчет основных параметров проектируемого предприятия
Определение необходимого количества технологического оборудования
Определение численности работников предприятия
основных производственных рабочих
вспомогательных рабочих
служащих (СКП)
специалистов (ИТР)
администрации (руководства)
младшего обслуживающего персонала (МОП)
Определение необходимых площадей и объемов помещений
производственных
вспомогательных
складских
конторско-бытовых
прочих
Расчет оптимальных программ выпуска продукции при различных уровнях цен на ресурсы и готовые изделия
Постановка задачи линейного программирования
Расчет прямых затрат на производство j-того изделия при i-ом уровне цен на основные ресурсы
Расчет косвенных производственных затрат при i-том уровне цен на основные ресурсы
Определение оптимальных программ выпуска продукции при различных состояниях «внешней среды»
Определение оптимальной стратегии производства в условиях неопределенности цен на ресурсы и готовую продукцию
Построение матричной игры с «внешней средой»
Расчет стратегии производства
Заключение
Введение
В рыночных условиях обеспечение конкурентоспособности выпускаемой продукции является одной из главных задач деятельности предприятий.
Один из основных факторов, определяющих конкурентоспособность выпускаемой продукции - это эффективность производства.
Экономическая эффективность узкоспециализированных предприятий обуславливается увеличением объема производства однородной в конструктивно-технологическом отношении продукции, что создает предпосылки для широкого применения высокопроизводительного, специализированного оборудования и передовых технологических процессов.
Небольшие масштабы предприятия способствуют повышению гибкости и мобильности производства при переходе на новые виды продукции, усиливают мотивацию трудового коллектива при выполнении принятых обязательств, благодаря реальной связи между результатами труда и получаемым вознаграждением. Все это позволяет повысить производительность труда, снизить себестоимость и улучшить качество выпускаемой продукции. Для предприятий, выпускающих узкоспециализированную продукцию и функционирующих в условиях риска и неопределенности рынка, главная задача планирования заключается в том, чтобы на основе имеющихся данных определить стратегию производства, придерживаясь которой предприятие в наименьшей степени будет уязвимо в будущем с точки зрения некоторого выбранного критерия оптимальности его деятельности. В данном курсовом проекте рассматривается проблема определения оптимальной диверсификации производственных ресурсов, позволяющей максимизировать гарантированную прибыль агрегатно-сборочного предприятия авиационного профиля вне зависимости от сложившейся конкретной ситуации на рынке авиационной техники.
1. Исходные данные
Задаваемые исходные данные представляют собой характеристики проектируемого агрегатно-сборочного предприятия авиационного профиля, предлагаемого «портфеля заказов» и возможных состояний «внешней среды» (уровней цен на производственные ресурсы и готовую продукцию).
Проектируемое предприятие характеризуется:
- производственной мощностью Тгод<=900 000 [н-час];
- располагаемыми денежными средствами Д<=13 000 000 [грн.];
- количеством рабочих смен в сутках – 2;
- перечнем видов основного технологического оборудования;
- перечнем специальностей основных производственных рабочих.
Каждый k-тый вид основного технологического оборудования характеризуется:
- процентной долей трудоемкости выполняемых работ Тк [%];
- полной первоначальной (балансовой) стоимостью единицы оборудования
Цк [грн.];
- нормативом удельной площади на единицу технологического оборудования
Sк [м2];
- количеством одновременно работающих на единице k-того вида оборудования
Кодн к [чел.].
Каждая k-тая специальность основных производственных рабочих характеризуется процентной долей трудоемкости Тк [%] и разрядом (Rк) выполняемых работ.
Предлагаемый «портфель заказов» характеризуется номенклатурой (перечнем ) однородных в конструктивно- технологическом отношении изделий є {1,2,…,n}, для каждого из которых известны трудоемкость tj [н-час] и материалоемкость Нpj [кг/изд] изготовления.
Возможное i-тое состояние «внешней среды» функционирования предприятия характеризуется:
- уровнем цен на материальные ресурсы Смi : См1=9,00 [грн/кг], См2=10,00[грн/кг];
-минимальным уровнем заработной платы di : d1=20 [грн/мес], d2=18 [грн/мес];
-относительным уровнем цен на готовую продукцию Цij [%] j є {1,n}, где Цij =(Цij/Sij)*100%,
Sij – прямые затраты на производство j-го изделия при i-том уровне цен на ресурсы.
Таблицы исходных данных
-
№
Наименование оборудования
Т[%]
Ц[грн/шт]
Sуд.[м2]
Кодн.[чел]
1
Стапель общей сборки
35
70000
40
6
2
Стеллаж внестапельной доработки
20
5000
40
2
3
приспособления для узловой и панельной сборки
30
8000
12
2
4
Сверлильно-зенковальное и клепальное оборудование
15
70000
80
2
№
Специальность
Разряд
Т[%]
1
Слесарь-сборщик
5
35
2
Cверловщик ручным пневмо-инструментом
4
20
3
Клепальщик ручным пневмо-инструментом
4
35
4
Сверловщик на СЗА
5
5
5
Клепальщик на прессах
5
5
Индекс изделия
i
1
2
3
4
5
Трудоемкость изделия, н-час
ti
400
500
700
800
1000
Норма расхода материала на изделие, кг/ед.
Hpi
1500
1200
900
800
700
Относительная цена изделия
Ц1i
210
180
190
200
170
Ц2i
190
170
160
150
240
2. Расчет основных параметров проектируемого предприятия
Исходной информацией при расчетах основных параметров предприятия является объем выполняемых работ, и величина фонда времени работы оборудования и работников в планируемом периоде.
Объем работ характеризуется величиной трудоемкости, которая измеряется количеством труда, затраченного на единицу работы. Различают нормированную и фактическую трудоемкости, которые связанны между собой следующим образом
Тфак = Тнор / Квн ,
где Т фак – фактическая трудоемкость, которая измеряется либо в человеко-часах, либо в станко-часах,
Тнор – нормированная (планируемая) трудоемкость, которая измеряется либо нормированными человеко-часами, которые называются нормо-часами, либо нормированными станко-часами,
Квн – коэффициент выполнения норм, который определяется способом оранизации труда на предприятии.
В свою очередь трудоемкость единицы работы в человеко-часах и станко-часах связанны между собой следующим соотношением:
Т [чел-час] = Т [ст-час]*Кодн
Что касается фондов времени работы оборудования и работников предприятии, то различают календарный Фк, режимный Фр и действительный Фд фонд времени.
Календарный годовой фонд времени Фк – это полное количество времени (часов, дней, месяцев) в году.
Фк=365дн*24 час/дн=8760 час
Режимный годовой фонд времени Фр – это количество времени (часов, дней, месяцев) в году, которое может отработать работник или оборудования при принятом режиме работы без учета потерь времени.
При расчетах режимного фонда времени принимаем во вниман6ие следующие факторы:
-длительность рабочей недели при нормальных условиях работы (41 час) и при вредных условиях (36 часов);
-количество недель в году (52);
-количество предпраздничных и праздничных дней в году (рассчитывается конкретно на каждый календарный год);
-длительность полной рабочей смены при нормальных условиях работы (8,2 час) и при вредных условиях (7,2 час);
-длительность сокращенной рабочей смены при нормальных условиях работы (7,2 час) и при вредных условиях (6,2 час);
-количество рабочих смен в сутках (для расчета режимного фонда времени оборудования).
В проектных расчетах режимный годовой фонд времени работы персонала принимаем при 41-часовой рабочей неделе
Фр = 2070 час.
Соответственно в зависимости от длительности рабочей недели (41 час) режимный фонд времени оборудования будет составлять при двухсменной работе 4140 час.
Действительный годовой фонд времени Фд определяет то планируемое время, которое работник или оборудование отрабатывает с учетом неизбежных для нормального организованного производства потерь времени, не входящих в техническую норму времени. К таким потерям для работников относятся: основные и дополнительные отпуска, отпуска по учебе, невыходы на работу по болезни, декретные отпуска, сокращенное время для подростков и кормящих матерей и т.д.
Фд = Фр (1-а/100%),
где: а – процент плановых потерь времени.
По статистическим данным для работников принимаем потери от их режимного фонда времени в размере а =10% при 15 днях отпуска в год.
Для технологического оборудования к потерям относят время его простоев в плановом ремонте. В данном проекте принимаемых в размере, а = 5%.
Фд =4140 (1-5/100%)=3933 (час)
2.1 Расчет количества технологического оборудования
Методика расчета количества основного производственного оборудования зависит от формы организации производства на предприятии.
На агрегатно-сборочных предприятиях, для которых характерна стапельная (стендовая) стационарная сборка, тип производства определяется не характером и степенью загрузки стапелей (стендов), т. к. специальную оснастку загрузить другими изделиями невозможно, а характером загрузки рабочих-сборщиков и характером их перемещения от одного рабочего места к другому.
Расчетное количество к-того вида технологического оборудования определяется как
Срасч = Тк[ст.-час] / Ф∂к,
где Тк[ст.-час] = Тк[%] * Тгод[н-час] / 100%Квн.к / Кодн.к
Полученное в результате расчета дробное количество оборудования к-того вида Срасч.к. округляется до необходимого целого значения Спр.к. с учетом следующих требований:
1.Отношение расчетного количества оборудования к принятому
кз= Срасч / Спр
которое называется коэффициентом загрузки оборудования, должно находиться в пределах кз = [0,8…0,9].
2. Принятое количество стапелей сборки консолей крыла и горизонтального оперения должно быть четным.
Коэффициент выполнения норм принимается при сдельной системе оплаты труда Квн=1,1.
Результаты заносим в таблицу 1.
Таблица 1.
Расчет количества оборудования
№ п/п
Наименование оборудования
Кол-во одновременно работающих на ед. оборудования
Годовой действительный фонд времени
Годовая трудоемкость работ
Количество оборудования
Коэффициент загрузки оборудования
к
Кодн к [чел]
Фд к [час]
Тк[ст-час]
Cрасч к [шт]
Спр к [шт]
Кз к
1
Стапель общей сборки
6
3933
47727,27
12,14
14
0,87
2
Стеллаж внестапельной доработки
2
3933
81818,18
20,80
24
0,87
3
Приспособле-ния для узло-вой и панель-ной сборки
2
3933
122727,27
31,20
35
0,89
4
Сверлильно-зенковальное и клепальное оборудование
2
3933
61363,64
15,60
18
0,87
2.2 Расчет количества работающих на предприятии
В штат предприятия входят следующие категории работающих:
-производственные рабочие;
-вспомогательные рабочие;
-руководители (администрация);
-специалисты (инженерно-технические работники - ИТР);
-служащие (счетно-конторский персонал - СКП);
-младший обслуживающий персонал (МОП).
Количество основных производственных рабочих к-той специальности рассчитывается по формуле:
Nрасч.к. = Тк[чел-час] / Ф∂к,
где
Тк[чел-час]=Тк[%] * Тгод[н-час]/100% / Квн.к
Фд =2070* (1-11/100%) = 1842,3 (час).
Принятое количество основных производственных рабочих определяется путем округления их расчетного числа. Полученные результаты заносим в таблицу 2.
Таблица 2.
Расчет количества основных производственных рабочих
Специальность
Разряд Rк
Годовая трудоемкость работ Тк [чел-ч]
Длительность отпуска [дн.]
Годовой действительный фонд времени Ф∂к[ч]
Расчетное кол-во рабочих nрасч.к. [чел.]
Принятое кол-во работающих nосн.к. [чел.]
Слесарь-сборщик
5
286363,64
18
1842,3
155,44
155
Сверловщик ручным пневмо-инструментом
4
163636,36
18
1842,3
88,82
89
Клепальщик ручным пневмо-инструментом
4
286363,64
18
1842,3
155,44
155
Сверловщик на СЗА
5
40909,09
18
1842,3
22,21
22
Клепальщик на прессах
5
40909,09
18
1842,3
22,21
22
Итого
818181,82
443
Количество вспомогательных рабочих nвсп определяется по нормам обслуживания Нобсл., приведенными в таблице 3.
nвсп = nосн / Нобсл.
Таблица 3 Характеристики вспомогательных рабочих агрегатно сборочного предприятия авиационного профиля
Наименование специальности (должности)
Норма обслуживания на одного вспомогательного рабочего Нобс [чел]
Длительность отпуска [дн]
Вид оплаты труда
Слесари по обслуживанию оборудования
120
15
Почасовая повременная
Электромонтеры
120
15
Почасовая повременная
Слесари мастерской ПРИН
85
15
Почасовая повременная
Станочники мастерской ПРИН
85
15
Почасовая повременная
Кладовщики ИРК
130
15
Должностной оклад
Кладовщики и комплектовщики производственных складов (СГД, МАСК, ПРОСК)
35
15
Должностной оклад
Раздатчики чертежей
200
15
Должностной оклад
Подготовители (распределители) работ
25
15
Должностной оклад
Транспортные рабочие
50
15
Должностной оклад
Контролеры
20
15
Почасовая повременная
Уборщики производственных помещений
60
15
Должностной оклад
Полученные результаты сводятся в таблицу №4.
Таблица 4.
Штат вспомогательных рабочих
Специальность
Норма обслуживания [чел] Набс
Количество рабочих [чел] nвсп
Разряд R
Вид оплаты труда
Длитель-ность отпуска [дн]
Слесари по обслуживанию оборудования
120
4
5
Почасовая
15
Электромонтеры
120
4
5
Почасовая
15
Слесари мастерской ПРИН
85
5
5
Почасовая
15
Станочники мастерской ПРИН
85
5
5
Почасовая
15
Кладовщики ИРК
130
3
4
Должностной оклад
15
Кладовщики и комплектовщики производственных складов (СГД, МАСК, ПРОСК)
35
13
Должностной оклад
15
Раздатчики чертежей
200
2
4
Должностной оклад
15
Подготовители (распределители) работ
25
18
4
Должностной оклад
15
Транспортные рабочие
50
9
4
Должностной оклад
15
Контролеры
20
22
5
Почасовая
15
Уборщики производственных помещений
60
7
4
Должностной оклад
15
Рассчитаем примерную численность специалистов, служащих и младшего обслуживающего персонала.
Таблица 5
Примерная численность специалистов (ИТР) для агрегатно-сборочных предприятий авиационного профиля
Структурное подразделение
Должность
Количество основных производственных рабочих [чел]
Руководящий состав
Директор
1
Главный инженер
1
Зам. директора по коммерческим вопросам
1
Производство
Начальник производственного участка
4
Старший мастер
7
Мастер
22
Технологическое бюро
Начальник
1
Технолог
7
Конструктор
5
Инструментальное бюро
Начальник
1
Инженер по инструменту
1
Техник по инструменту
2
Заведующий ИРК
1
Планово-экономический отдел
Начальник
1
Экономист
2
Инженер
1
Отдел организации труда и зарплаты
Начальник
1
Специалист по нормированию
1
Нормировщик
3
Планово-диспетчерское бюро
Начальник
1
Плановик (инженер)
5
Диспетчер (техник)
3
Техник по материалам
1
Бюро материально-технического снабжения
Начальник
1
Инженер
5
Техник
2
Отдел сбыта
Начальник
1
Инженер
3
Специалист по маркетингу
2
Менеджер по рекламе
1
Отделтехнического контроля
Начальник
1
Старший контрольный мастер
6
Контрольный мастер
11
Таблица 6
Примерная численность служащих (СКП) для агрегатно-сборочных предприятий авиационного профиля
Структурное подразделение
Должность
Количество основных производственных рабочих [чел]
Планово-диспетчерское бюро
Нарядчик
2
Учетчик
1
Бухгалтерия
Главный бухгалтер
1
Бухгалтер
2
Технологический отдел
Архивариус
1
Чертежник копировщик
1
Отдел снабжения
Учетчик
2
Хозяйственный отдел
Завхоз
1
Отдел организации труда и заработной платы
Табельщик
1
Кадровый отдел
Начальник
1
Делопроизводитель
2
Секретарь-машинист
1
Таблица 7
Примерная численность младшего обслуживающего персонала (МОП) для агрегатно-сборочных предприятий авиационного профиля
Структурное подразделение
Должность
Количество основных производственных рабочих [чел]
Хозяйственный отдел
Уборщик конторских помещений
2
Гардеробщик
2
Курьер
4
Кубовщик
3
Количество заместителей и помощников у руководителя предприятия определим следующей формулой
nзам = 1,5+0,00037(nосн.+ nвсп).
nзам = 1,5+0,00037(443+ 92) =2.
Количество самостоятельных структурных подразделений подчиненных непосредственно руководителю предприятия может быть рассчитано следующим образом
nстр.под = 0,396*(nосн+ nвсп)
nстр.под = 0,396*(443+ 92)= 8.
2.3 Расчет площадей и объемов помещений
Площадь предприятия по своему назначению делится на:
производственную;
вспомогательную;
складскую;
конторско-бытовую;
прочую.
Производственная площадь – это площадь участков, на которых изготавливаются изделия основного производства, контрольные участки и загрузочные площадки, расположенные в общем потоке с оборудованием, проезды и проходы, служащие для движения рабочих и транспорта (кроме корпусных проездов).
Производственная площадь Sпр определяется по нормативам удельных площадей Sк на единицу k-того вида технологического оборудования
,
где Спр k – принятое количество k-того вида технологического оборудования.
Sпр=40*14+40*24+12*35+80*18=3380 [м2]
Вспомогательная площадь – это площадь участков, занятых ремонтом оборудования, ремонтом и изготовлением инструмента (мастерская ПРИН), мастерская механика, помещение электромонтеров и т.п.
Складская площадь – это площадь, предназначенная для хранения и выдачи материалов, полуфабрикатов, инструмента и т.д. К ней относятся:
склад материалов (МАСК);
промежуточные склады (ПРОСК);
склад готовых изделий (СГД);
инструментально-раздаточные кладовая (ИРК).
Конторско-бытовая площадь – это площадь, отведенная для кабинетов административно-технического персонала, для конторских помещений (техбюро, планово-диспетчерское бюро – ПДБ, бюро труда и зарплаты – БТЗ, планово экономическое бюро – ПЭБ, бюро технического контроля – БТК), а также гардеробных, умывальных, туалетов, душевых, пунктов приема пищи и т. п.
Прочая площадь – это площадь, занимаемая тамбурами, корпусными проездами, лестничными клетками, вентиляционными камерами и т.д.
При выполнении курсовых проектов, в случае, когда планировка производственных подразделений не делается, вспомогательную, складскую, конторско-бытовую и прочую площади можно рассчитать укрупнено в процентах от производственной площади.
Для агрегатно-сборочных предприятий авиационного профиля вспомогательная и складская площади составляют 25%, конторско-бытовая – 30%, прочая – 10% от производственной площади Sпр.
Объем t-го вида помещений рассчитывается по формуле
Vt = 1.1Stht,
где коэффициент 1,1 учитывает толщину стен, пространство, расположенное выше нижнего пояса ферм, и т.п.;
St – площадь t-го вида помещения [м2];
ht – высота t-го вида помещения, [м], которая приведена в таблице № 8.
Таблица 8
Примерная высота помещений агрегатно-сборочного предприятия авиационного профиля
№ п/п
Наименование помещения
Высота помещения [м]
1
Агрегатно-сборочный цех
12
2
Вспомогательные помещения
6
3
Складские помещения
6
4
Конторско-бытовые помещения
3,5
5
Прочие помещения
3,5
Результаты расчета площадей и объемов помещений предприятия сводим в таблицу 9.
Таблица 9
Площади и объемы помещений предприятия
№ п/п
Вид помещений
Процент от производственной площади [%]
Площадь помещения [м2]
Высота помещения [м]
Объем помещения [м3]
1
Производственные помещения
100
3380
12
44616
2
Вспомогательные и складские
25
845
6
5577
3
Конторско-бытовые помещения
30
1014
3,5
3903,9
4
Прочие
10
338
3,5
1301,3
3. Расчет оптимальных программ выпуска продукции при различных уровнях цен на ресурсы и готовые изделия
Проблема выбора управленческих решений в условиях различной степени информированности о состоянии «внешней среды» т. е. совокупности внешних факторов, оказывающих влияние на функционирование организации сводится к следующим двум вопросам:
выбор критерия принятия решения;
определение стратегии функционирования, обеспечивающей наилучшую реализацию принятого критерия
В зависимости от степени информированности о состоянии «внешней среды» различают следующие условия принятия решений:
условия определенности, соответствующие условиям когда состояние «внешней среды» строго определено (детерминировано), т. е. вероятность этого состояния практически равно единице;
условия риска, соответствующие условиям при которых задано (известно) распределение вероятностей возможных состояний «внешней среды»;
условия неопределенности, соответствующие условиям, когда распределение вероятностей состояний «внешней среды» неизвестно.
3.1 Постановка задачи линейного программирования
Проблема выбора из возможного «портфеля заказов» наиболее выгодного в данных условиях, для заданного предприятия выпуска продукции сводится к проблеме принятия решения в условиях определенности, когда известны:
рыночные цены на готовую продукцию Цj, j = и материальные ресурсы См;
минимальный уровень зарплаты d в отрасли;
трудоемкости tj и материалоемкости Hpj производства изделий
j{}
имеющиеся производственные мощности Тгод и располагаемые финансовые ресурсы D.
Сформулированная проблема эквивалентна задаче нахождения, исходя из критерия максимизации прибыли, количества xj0 заданных видов изделий j{1, n}, характеризующихся трудоемкостью tj и материальностью Hpj изготовления, при ограничениях по имеющимся производственным мощностям Тгод и располагаемым денежным средствам D, если известны цены на готовую продукцию, материальные и трудовые ресурсы.
Предполагается, что рынок комплектующих узлов и агрегатов авиационной техники в силу жесткого ограничения сбыта является абсолютно неэластичным по спросу, т.е. никакое изменение цены Цj не влечет за собой изменение количества требуемой продукции xj. Тогда формальное выражение прибыли (P) отдельного производителя как функции объемов выпуска продукции = x1,...,xn будет иметь вид
где З – производственные затраты производителя;
Затраты на производство (З) можно представить как сумму переменных (прямых)(Зпер) и условно-постоянных (косвенных)(Зпост) затрат
З = Зпер+ Зпост.
Переменные затраты на производство (Зпер) – это расходы, которые прямопропорциональны количеству выпускаемой продукции
где: Sj – прямые затраты на производство единицы j-го вида продукции.
Условно постоянные (косвенные) затраты - это расходы которые связаны с обслуживанием и управлением всем производством. Ставится задача найти также неотрицательные значения объемов выпуска продукции xj0, j{} доставляющие максимум целевой функции
при ограничении объемов производства
;
и ограничении производственных затрат
Сформулированная задача эквивалентна следующей задаче линейного программирования
где:
= (x1,...,xn) – вектор объема выпуска продукции;
= (k1,...,kn) – вектор коэффициентов целевой функции; причем
kj = sj(/100% - 1), j {};
А = (аgj)g=1,2 j=– матрица технико-экономических коэффициентов, характеризующих производство изделий j {};
a1j= tj; a2j=Sj;
= (b1, b2) – вектор констант ограничений,
b1 = Tгод; b2 = D - Зпост.
Для решения сформулированной задачи линейного программирования необходимо знать значения коэффициентов
Sj; j =; Зпост.
Расчет прямых затрат на производство j-го изделия при i-том уровне цен на основные ресурсы
Для каждого i-го состояния “внешней среды”, которое характеризуется вектором уровня цен на готовые изделия и ресурсы
= (Цi1,…., Цin,Смi,di), i {1,2};
прямые затраты (Sij) на производство j-того изделия рассчитывается как сумма следующих статей расходов
sij= Зм ij+ПЗПij+ДЗПij+Зотч ij+Зосв ij;
где: Зм ij – стоимость материалов, израсходованных на производство j-того изделия при i-том уровн цен, [грн/изд];
ПЗПij – прямая заработная плата основных производственных рабочих по j-тому изделию при i-том состоянии «внешней среды», [грн/изд];
ДЗПij – дополнительная заработная плата основных производственных рабочих по j-тому изделию при i-том состоянии «внешней среды», [грн/изд];
Зотч ij – отчисления в фонды социального страхования, Чернобыля, занятости и пенсионный фонд по j-тому изделию при i-том состоянии «внешней среды», [грн/изд];
Зосв ij – затраты на подготовку и освоение производства j-того изделия при i-том состоянии «внешней среды», [грн/изд];
Стоимость материалов израсходованных на производство j-того изделия при i-том уровне цен определяется по формуле
Змij = 1,05*Hpj*Cмi;
где: Hpj – норма расхода материала на j-тое изделие [кг/изд];
Cмi – цена материала при i-том состоянии «внешней среды» [грн/кг].
Коэффициент 1,05 учитывает транспортно-заготовительные расходы.
Прямая заработная плата основным производственным рабочим по j-тому изделию при i-том состоянии «внешней среды» включает в себя доплаты за условия и интенсивность труда и рассчитывается по формуле
ПЗПij = tj(1+(Кут+Кит)/100%);
где: tj – трудоемкость производства j-го изделия, [н-час];
– средняя часовая ставка основных производственных рабочих при i-том состоянии «внешней среды», [грн/н-час];
Кут – средний по предприятию норматив доплат за условия труда основных рабочих, [%];
Кит – средний по предприятию норматив доплат за интенсивность труда основных рабочих, [%];
Доплаты к тарифной ставке за работу в тяжелых и вредных условиях составляют 8%.
Рабочим, занятым на конвейерах, поточных и автоматических линиях могут устанавливаться доплаты за интенсивность труда в размере 10% тарифной ставки. Средняя часовая ставка при i-том состоянии «внешней среды» рассчитывается на основании данных таблицы №2 по формуле
,
где lri – часовая ставка r-го разряда при i-ом состоянии «внешней среды»;
nосн r – количество основных производственных рабочих r-го разряда.
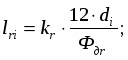
Часовая ставка r-го разряда при i-ом состоянии «внешней среды» рассчитывается по коэффициенту kr отношения месячного оклада рабочего r-го разряда к минимальному уровню зарплаты di в отрасли при i-том состоянии «внешней среды»
где: kr – коэффициент относительной часовой ставки рабочих r-го разряда в долях минимального уровня заработной платы, значения которого приведены в таблице № 10;
di – минимальный уровень заработной платы при i-том состоянии «внешней среды»;
Фдr – годовой действительный фонд времени производственных рабочих r-го разряда.
Таблица 10
Длительность отпуска и коэффициенты относительных часовых ставок производственных рабочих (основных и вспомогательных)
-
Вид оплаты
Разряд
1
2
3
4
5
6
7
8
Сдельная
8.34
9.08
10.04
11.26
12.76
15.01
17.5
18.62
Повременная
7.81
8.48
9.31
10.42
11.95
13.91
16.31
17.50
Длительность отпуска
15
15
15
15
15
15
15
15
L41=10,42*12*20/1842,3=1,47 [грн/н-час];
L42=10,42*12*18/1842,3=1,32 [грн/н-час];
L51=11,95*12*20/1842,3=1,66 [грн/н-час];
L42=11,95*12*18/1842,3=1,50 [грн/н-час];
=(1,47*(89+155)+1,66*(155+22+22))/443=1,55 [грн/н-час];
=(1,32*(89+155)+1,66*(155+22+22))/443=1,40 [грн/н-час].
Дополнительная заработная плата ДПЗij основных производственных рабочих по j-ому изделию при i-ом состоянии «внешней среды» рассчитывается по формуле
ДПЗij = ПЗПij((Kп+Kч+Kд+Kм)/100%),
где: Kn – средний норматив премиальных выплат [%];
Kч – средний норматив часовых доплат за работу в ночное время, за бригадирство, за обучение учеников [%];
Kд – средний норматив дневных доплат подросткам и кормящим матерям [%];
Kм – средний норматив месячных доплат за отпуска и командировки [%];
Премии по сдельно-премиальным или повременно-премиальным системам оплаты труда планируются в размере 25% от прямой заработной платы.
Для производственных рабочих доплаты составляют:
часовые - 10%;
дневные - 12%;
месячные при длительности отпуска 15 дней - 10%;
месячные при длительности отпуска 18 дней – 12%;
месячные при длительности отпуска 21 день – 14%;
месячные при длительности отпуска 24 дня – 16%;
от прямой заработной платы.
Данные о заработной плате основных производственных рабочих по различным видам изделий j {} в зависимости от состояния «внешней среды» i {1,2} сводятся в таблицу № 11.
Таблица 11
Расчет удельной заработной платы по различным видам изделий j {1,n} при различных состояниях «внешней среды» i {1,2}
-
Трудоемкость изделия tj
Средняя часовая ставка Li [грн/н-час]
Нормативы доплат
Прямая заработная плата ПЗПij [грн/изд]
Нормативы доплат
Дополнительная заработная плата ДЗПРij [грн/изд]
Полная заработная плата Зij [грн/изд]
i=1
i=2
За условия труда Кут[%]
За интенсивность труда Кит [%]
i=1
i=2
Премиальные Кп[%]
Часовые Кч[%]
Дневные Кд [%]
Месячные Км [%]
i=1
i=2
i=1
i=2
400
1,55
1,40
8
10
733,79
660,41
25
10
12
12
432,94
389,64
1166,73
1050,05
500
1,55
1,40
8
10
917,24
825,51
25
10
12
12
541,17
487,05
1458,41
1312,57
700
1,55
1,40
8
10
1284,13
1155,72
25
10
12
12
757,64
681,87
2041,77
1837,60
800
1,55
1,40
8
10
1467,58
1320,82
25
10
12
12
865,87
779,29
2333,45
2100,11
1000
1,55
1,40
8
10
1834,48
1651,03
25
10
12
12
1082,34
974,11
2916,82
2625,14
Расходы на отчисления Зотч в фонды социального страхования, Чернобыля, занятости и пенсионный фонд рассчитываются в виде процентных отчислений от полной заработной платы по j-му изделию при i-ом состоянии «внешней среды»
Зотчij = (ПЗПij+ ДЗПij)Hотч/100%;
где Hотч – процентный норматив суммарных отчислений, величина которых определяется действующим законодательством и может быть принятой в курсовом проекте равной 36% от полной заработной платы.
В затраты на подготовку и освоение производства Зосв входят расходы на подготовку и освоение производства новых видов продукции и новых технологических процессов. Данные расходы включаются в себестоимость изделия в виде отчисления в фонд освоения новой техники. При укрупненных расчетах величину этих затрат можно принимать в размере 10 % от суммы материальных затрат Змij и прямой заработной платы ПЗПij производственных рабочих по j-ому изделию при i-том состоянии «внешней среды»
Зосвij = 0,1(Змij+ПЗПij).
Результаты расчетов прямых затрат sij на производстве различных изделий j {1,n} при различных состояниях i {1,2} «внешней среды» сводятся в таблицу № 12.
Таблица 12
Индекс уровня цен i
1
2
Затраты на материалы Змij [грн/изд]
12600
10080
7560
6720
5880
15750
12600
9450
8400
7350
Прямая заработная плата основных рабочих ПЗПij [грн/изд]
733,79
917,24
1 284,13
1 467,58
1 834,48
660,41
825,51
1 155,72
1 320,82
1 651,03
Дополнительная заработная плата основных рабочих ДЗПij [грн/изд]
432,94
541,17
757,64
865,87
1 082,34
389,64
487,05
681,87
779,29
974,11
Отчисления в фонды социального страхования, Чернобыля, занятости и пенсионный фонд Зотчij [грн/изд]
420,02
525,03
735,04
840,04
1 050,05
378,02
472,52
661,53
756,04
945,05
Затраты на подготовку и освоение производства Зосвij [грн/изд]
1 333,38
1 099,72
884,41
818,76
771,45
1 641,04
1 342,55
1 060,57
972,08
900,10
Прямые затраты на производство Sij [грн/изд]
15 520,13
13 163,16
11 221,22
10 712,26
10 618,32
18 819,12
15 727,64
13 009,70
12 228,23
11 820,29
Расчет прямых затрат на производство различных изделий при различных уровнях цен на ресурсы
Расчет условно-постоянных производственных затрат при i-том уровне цен на основные ресурсы
Условно-постоянные затраты (Зпостi) при i-ом уровне цен на ресурсы представляют собой сумму производственных расходов, величина которых рассчитывается не по каждому изделию в отдельности, а полностью на всю годовую программу выпуска
Зпостi = Зсп.осн+А+ФОТi+Зотчi+Зпроч;
где: Зсп.осн – затраты на возмещение износа инструментов и приспособлений целевого назначения [грн/год];
А – годовой амортизированный фонд предприятия [грн/год];
ФОТi – годовой фонд оплаты труда вспомогательных рабочих, руководства, специалистов, служащих и младшего обслуживающего персонала при i-ом состоянии «внешней среды» [грн/год];
Зотчi – годовые отчисления на социальное страхование, в фонды Чернобыля, занятости, пенсионный фонд [грн/год];
Зпроч – прочие годовые затраты общезаводского назначения [грн/год].
В статью расходов на возмещение износа инструментов и приспособлений целевого назначения (Зсп.осн) включаются затраты на специальную оснастку (стапели общей сборки, приспособления узловой, агрегатной и панельной сборки и т.п.), которая предназначена для изготовления изделий только одного вида
;
где: Цк – полная первоначальная (балансовая) стоимость единицы специальной оснастки k-ого вида [грн/шт];
Спрk – принятое количество k-го вида специальной оснастки [шт];
t – количество лет, за которое списываются затраты на специальную оснастку ( принимаем 2 года).
Зсп.осн = (70000*14+8000*35) / 2=630 000 (грн)
Годовой амортизационный фонд предприятия (А) рассчитывается как сумма годовых амортизационных отчислений по каждой отдельной группе элементов основных производственных фондов
А=Азд+Аоб+Апр+Аинс+Аинв;
где: Азд – годовые амортизационные отчисления от стоимости зданий [грн/год];
Аоб – годовые амортизационные отчисления от стоимости универсального технологического оборудования [грн/год];
Апр – годовые амортизационные отчисления от стоимости измерительных и регулирующих приборов [грн/год];
Аинс – годовые амортизационные отчисления от стоимости универсальных, дорогостоящих инструментов и приспособлений [грн/год];
Аинв – годовые амортизационные отчисления от стоимости ценного производственного и хозяйственного инвентаря [грн/год].
Годовые амортизационные отчисления по i-ой группе элементов основных производственных фондов определяются
Аi = Наi Сi /100%, i {ЗД, ОБ, ПР, ИНС, ИНВ};
где: Наi – норма амортизационных отчислений по i-ой группе элементов основных фондов [%];
Сi – полная первоначальная (балансовая) стоимость i-ой группы элементов основных производственных фондов [грн].
Значения норм амортизационных отчислений для различных групп элементов основных фондов приведены в таблице № 13.
Таблица 13
Примерные нормы амортизационных отчислений для различных групп элементов основных производственных фондов
Наименование элементов основных фондов
Здания
Универсальное технологическое оборудование
Измерительные и регулирующие приборы
Универсальные дорогостоящие инструменты и приспособления
Ценный производственный и хозяйственный инвентарь
Норма амортизационных отчислений
На [%]
3
14
12
15
13
Полная первоначальная (балансовая) стоимость зданий (Сзд) рассчитывается по объемам и удельным стоимостям помещений соответствующего назначения согласно данным, приведенным в табл. № 15.
Сзд = VпкЦпк+VпрЦпр
где:
Vпк – объём производственного корпуса, где расположены производственные, вспомогательные и складские помещения [м3];
Цпк – удельная стоимость 1 м3 производственного корпуса [грн/м3];
Vпр – объём пристройки, где находится конторские, бытовые и прочие службы и отделы [м3];
Цпр – удельная стоимость 1 м3 пристройки [грн/м3] (из таблицы 14).
Таблица 14
Примерная удельная стоимость помещений
Характер помещения
Производственный корпус объёмом до 100000 м3
Производственный корпус объёмом свыше 100000 м3
Пристройка одноэтажная
Пристройка двух – трёхэтажная
Удельная стоимость 1 м3 помещения [грн/м3]
14
10
21
18
Принимаем Цпк=14 [грн/м3], так как Vпк=44616+5577=50 193 м3 <100 000 м3, а Цпр =21 [грн/м3] (пристройка одноэтажная).
Полная первоначальная (балансовая) стоимость универсального технологического оборудования (Соб) рассчитывается по формуле
;
где: Цк – полная первоначальная (балансовая) стоимость единицы к-го вида универсального технологического оборудования [грн/шт];
Спр. к – принятое количество к-го вида универсального технологического оборудования [шт] (см. табл. № 1);
Ктр. к – коэффициент, учитывающий затраты на транспортировку и монтаж к-го вида универсального технологического оборудования.
Так как мы планируем закупать оборудование, то примем ктр = 0,1.
Коэффициент 1,1 учитывает полную первоначальную (балансовую) стоимость подъёмно-транспортных средств, дополнительного и вспомогательного оборудования.
Полная первоначальная стоимость измерительных и регулирующих приборов (Спр) принимается равной 3% от балансовой стоимости технологического оборудования
Спр = 0.03 Соб.
Полная первоначальная (балансовая) стоимость ценных универсальных инструментов и приспособлений (Синс) принимается равной 15% от балансовой стоимости технологического оборудования
Синс = 0.15 Соб..
Полная первоначальная (балансовая) стоимость ценного производственного и хозяйственного инвентаря (Синв) может быть принята равной 3% от балансовой стоимости технологического оборудования
Синв = 0.03 Соб.
Результаты расчётов полной первоначальной стоимости основных производственных фондов и годовых амортизационных отчислений сводятся в таблицу № 15.
Таблица 15 Расчёт основных и амортизационных фондов
Название группы основных производственных фондов
Полная первоначальная стоимость основных производственных фондов Сi , [грн]
Норма амортизационных отчислений Hаi , [%]
Годовой амортизационный фонд Аi , [грн/год]
Здания
812011,2
3
24360,34
Универсальное технологическое оборудование
1669800
14
233772,00
Измерительные и регулирующие приборы
50094
12
6011,28
Универсальные ценные инструменты и приспособления
250470
15
37570,50
Ценный производственный и хозяйственный инвентарь
50094
13
6512,22
Итого
2832469,2
308226,34
Для каждого i-го состояния «внешней среды» i{1,2} годовой фонд оплаты труда (ФОТi), независящий от объёмов производства, рассчитывается как сумма годовых фондов оплаты труда следующих категорий работников предприятия
ФОТi= ФОТвсп i+ФОТрук i+ФОТитр i+ФОТскп i+ФОТмоп i;
где:
ФОТвсп i – годовой фонд оплаты труда вспомогательных рабочих при i-ом состоянии «внешней среды» [грн/год];
ФОТрук i – годовой фонд оплаты труда руководителей предприятия при i-ом состоянии «внешней среды» [грн/год];
ФОТитр i – годовой фонд оплаты труда специалистов (инженерно-технических работников) при i-ом состоянии «внешней среды» [грн/год];
ФОТскп i – годовой фонд оплаты труда служащих (счетно-конторского персонала) при i-ом состоянии «внешней среды» [грн/год];
ФОТмоп i – годовой фонд оплаты труда младшего обслуживающего персонала (МОП) при i-ом состоянии «внешней среды» [грн/год];
При этом для каждого i-го состояния «внешней среды» годовой фонд оплаты труда каждой к-ой категории работающих определяется как сумма прямой и дополнительной заработных плат
ФОТк i = ПЗПк i + ДЗПк i;
к {ВСП, РУК, ИТР, СКП, МОП};
где: ПЗПк i – прямая заработная плата к-ой категории работающих при i-ом состоянии «внешней среды» [грн/год];
ДЗПк i – дополнительная заработная плата к-ой категории работающих при i-ом состоянии «внешней среды» [грн/год].
Прямая заработная плата к-ой категории работающих при i-ом состоянии «внешней среды» рассчитывается как
ПЗПк i = ПЗПк i j;
где: ПЗПк i j – прямая заработная плата j-ой специальности (должности) к-ой категории работающих при i-ом состоянии «внешней среды» [грн/год].
Дополнительная заработная плата к-ой категории работающих ДЗПк i при i-ом состоянии «внешней среды» определяется как
ДЗПк i = ДЗПк i j;
где: ДЗПк i j – дополнительная заработная плата j-ой специальности (должности) к-ой категории работающих при i-ом состоянии «внешней среды» [грн/год];
Дополнительная заработная плата j-ой специальности (должности) к-ой категории работающих при i-ом состоянии «внешней среды» определяется по формуле
ДЗПк i j = ПЗПк i j (кп к j+ кч к j+ кд к j+ км к j)/100% ;
где: кп к j, кч к j, кд к j, км к j – нормативы соответственно премиальных, часовых, дневных и месячных доплат для j-ой специальности (должности) к-ой категории работающих [%], [См. подраздел 4.2].
Для каждого i-го состояния “внешней среды” прямая заработная плата вспомогательных рабочих j-ой специальности (ПЗПвсп ij) при почасовой системе оплаты труда определяется по формуле:
ПЗПвсп ij = nlj Фд j lij(1+ (kym j+kum j)/100%);
где: nlj – списочное количество вспомогательных рабочих j-ой специальности, которая характеризуется почасовой оплатой труда [чел], (см. табл. № 4);
Фд j – годовой действительный фонд времени работы вспомогательных рабочих j-ой специальности [час];
lij – часовая (повременная) ставка вспомогательных рабочих j-ой специальности [грн/час] ;
kyм j – нормативная доплата за условия труда j-ой специальности вспомогательных рабочих [%];
kuм j – нормативная доплата за интенсивность труда j-ой специальности вспомогательных рабочих [%];
Для j-ой специальности вспомогательных рабочих, оплата труда которых осуществляется согласно должностным окладом, прямая заработная плата при j-ом состоянии “внешней среды” определяется следующей зависимостью
ПЗПвсп ij = noj Фд j Оij (1+(кyм j+ кuм j)/100%);
где: noj – списочное количество вспомогательных рабочих j-ой специальности, имеющих должностной оклад Oij при i-ом состоянии «внешней среды» [чел];
Фдj – годовой действительный фонд времени работы вспомогательных рабочих j-ой специальности [мес];
Оij – должностной оклад j-ой специальности вспомогательных рабочих при i-ом состоянии “внешней среды” [грн/мес];
кyм j, кuм j – нормативы доплат соответственно за условия и интенсивность труда вспомогательных рабочих j-ой специальности [%].
Прямая заработная плата руководителей, специалистов, служащих и младшего обслуживающего персонала рассчитывается по каждой j-ой должности для каждого i-го состояния “внешней среды”.
ПЗПij = nj Фд j Оij (1+ кyм j /100%);
где: nj – численность работников j-ой должности [чел];
Фдj –годовой действительный фонд времени работников j-ой должности [час]
Оij – месячный оклад работников j-ой должности при i-ом состоянии «внешней среды» [грн/мес];
кyм j – норматив доплат за условия труда работников j-ой должности [%].
Месячный оклад работников j-ой должности при i-ом состоянии «внешней среды» определяется как
Оij = kj di;
где: kj – коэффициент относительной величины месячного оклада работников j-ой должности в долях минимального уровня зарплаты, значения которого приведены в таблице № 16;
di – минимальный уровень месячной заработной платы, при i-ом состоянии “внешней среды”.
Таблица 16
Длительность отпусков и коэффициенты должностных окладов руководителей, специалистов, служащих и младшего обслуживающего персонала
Индекс должности J
Наименование должности
Длительность отпуска
аj [дн]
Коэффициент должностного оклада
кj
1
Директор предприятия
24
31.25
2
Главный инженер предприятия
24
27.75
3
Зам. директор предприятия
24
27.55
4
Начальники отделов специализированных подразделений
24
21.00
5
Начальники лабораторий, бюро,
заведующие секторами
24
19.00
6
Начальники производственного участка
24
18.50
7
Механик, энергетик цеха
24
18.00
8
Старший мастер производственного участка
18
16.50
9
Старший контрольный мастер
18
16.75
10
Мастер производственного участка
18
16.00
11
Контрольный мастер
18
16.25
12
Специалисты (инженеры) по организации и нормированию труда
24
18.50
13
Специалисты (инженеры) конструктор, технолог, экономист, диспетчер, плановик, бухгалтер
24
17.50
14
Главный бухгалтер
24
19.25
15
Техники всех специальностей
18
11.76
16
Нарядчики, учётчики, архивариусы, чертёжники, секретари-машинистки, табельщики, делопроизводители
15
9.25
17
Завхоз
18
12.21
18
Гардеробщики, уборщики, курьеры, кубовщики и т.п.
15
7.46
Результаты расчетов годового фонда оплаты труда ФОПi независящего от объёмов производства при различных состояниях «внешней среды» i {1,2} сводятся в таблицу № 17.
Таблица 17
Индекс должности или специальности
Наименование должности или специальности
Количество работников
Часовая ставка
Должностной оклад
Годовой действительный фонд времени Фд
Длительность отпуска aj [дн]
Нормативы доплат
ПЗПij [грн год]
Нормативы доплат
Годовая дополнительная заработная плата ДЗПij [грн/год]
Годовой фонд оплаты труда ФОТij [грн/год]
За условия труда Кут I [%]
За интенсивность труда Кит[%]
Премиальные Кпj [%]
Часовые Кчj [%]
Дневные Кдj [%]
Месячные Кмj [%]
i=1
i=2
i=1
i=2
[час]
[мес]
i=1
i=2
i=1
i=2
i=1
i=2
1
Слесари по обслуживанию оборудования
4
1,64
1,48
1863
15
8
10
14454,528
13009,075
25
10
12
10
8239,081
7415,173
22693,61
20424,25
2
Электромонтеры
4
1,64
1,48
1863
15
8
10
14454,528
13009,075
25
10
12
10
8239,081
7415,173
22693,61
20424,25
3
Слесари мастерской ПРИН
5
1,64
1,48
1863
15
8
10
18068,16
16261,344
25
10
12
10
10298,85
9268,966
28367,01
25530,31
4
Станочники мастерской ПРИН
5
1,64
1,48
1863
15
8
10
18068,16
16261,344
25
10
12
10
10298,85
9268,966
28367,01
25530,31
5
Кладовщики ИРК
3
185
166,5
10,8
15
8
10
7072,92
6365,628
25
10
12
10
4031,564
3628,408
11104,48
9994,04
6
Кладовщики и комплектовщики производственных складов (СГД,-МАСК,ПРОСК)
13
185
166,5
10,8
15
8
10
30649,32
27584,388
25
10
12
10
17470,11
15723,1
48119,43
43307,49
7
Раздатчики чертежей
2
185
166,5
10,8
15
8
10
4715,28
4243,752
25
10
12
10
2687,71
2418,939
7402,99
6662,69
8
Подготовители (распре-делители) работ
18
185
166,5
10,8
15
8
10
42437,52
38193,768
25
10
12
10
24189,39
21770,45
66626,91
59964,22
9
Транспортные рабочие
9
185
166,5
10,8
15
8
10
21218,76
19096,884
25
10
12
10
12094,69
10885,22
33313,45
29982,11
10
Контролеры
22
1,64
1,48
1863
15
8
10
79499,904
71549,914
25
10
12
10
45314,95
40783,45
124814,85
112333,36
11
Уборщики производственных помещений
7
149,2
134,28
10,8
15
8
10
13309,8336
11978,85
25
10
12
10
7586,605
6827,945
20896,44
18806,79
12
Директор пр-тия
1
625
562,5
10,4
24
8
10
7047
6342,3
25
10
12
16
4439,61
3995,649
11486,61
10337,95
13
Главный инженер пр-тия
1
555
499,5
10,4
24
8
10
6257,736
5631,9624
25
10
12
16
3942,374
3548,136
10200,11
9180,10
14
Зам. Директора по коммерческим вопросам
1
551
495,9
10,4
24
8
10
6212,6352
5591,3717
25
10
12
16
3913,96
3522,564
10126,60
9113,94
15
Начальник производственного участка
4
370
333
10,4
24
8
10
16687,296
15018,566
25
10
12
16
10513
9461,697
27200,29
24480,26
16
Старший мастер
7
330
297
10,7
18
8
10
26644,464
23980,018
25
10
12
12
15720,23
14148,21
42364,70
38128,23
17
Мастер
22
320
288
10,7
18
8
10
81202,176
73081,958
25
10
12
12
47909,28
43118,36
129111,46
116200,31
18
Начальник технологического бюро
1
380
342
10,4
24
8
10
4284,576
3856,1184
25
10
12
16
2699,283
2429,355
6983,86
6285,47
19
Технолог
7
350
315
10,4
24
8
10
27624,24
24861,816
25
10
12
16
17403,27
15662,94
45027,51
40524,76
20
Конструктор
5
350
315
10,4
24
8
10
19731,6
17758,44
25
10
12
16
12430,91
11187,82
32162,51
28946,26
21
Начальник инструментального бюро
1
380
342
10,4
24
8
10
4284,576
3856,1184
25
10
12
16
2699,283
2429,355
6983,86
6285,47
22
Инженер по инструменту
1
370
333
10,4
24
8
10
4171,824
3754,6416
25
10
12
16
2628,249
2365,424
6800,07
6120,07
23
Техник по инструменту
2
235,2
211,68
10,7
18
8
10
5425,78176
4883,2036
25
10
12
12
3201,211
2881,09
8626,99
7764,29
24
Заведующий ИРК
1
380
342
10,8
24
8
10
4432,32
3989,088
25
10
12
16
2792,362
2513,125
7224,68
6502,21
25
Начальник планово-экономического сектора
1
380
342
10,4
24
8
10
4284,576
3856,1184
25
10
12
16
2699,283
2429,355
6983,86
6285,47
26
Экономист
2
350
315
10,4
24
8
10
7892,64
7103,376
25
10
12
16
4972,363
4475,127
12865,00
11578,50
27
Инженер
1
370
333
10,4
24
8
10
4171,824
3754,6416
25
10
12
16
2628,249
2365,424
6800,07
6120,07
28
Начальник бюро организации труда и зарплаты
1
380
342
10,4
24
8
10
4284,576
3856,1184
25
10
12
16
2699,283
2429,355
6983,86
6285,47
29
Специалист по нормированию
1
370
333
10,4
24
8
10
4171,824
3754,6416
25
10
12
16
2628,249
2365,424
6800,07
6120,07
30
Нормировщик
3
370
333
10,4
24
8
10
12515,472
11263,925
25
10
12
16
7884,747
7096,273
20400,22
18360,20
31
Начальник планово-диспетчерского бюро
1
380
342
10,4
24
8
10
4284,576
3856,1184
25
10
12
16
2699,283
2429,355
6983,86
6285,47
32
Плановик (инженер)
5
370
333
10,4
24
8
10
20859,12
18773,208
25
10
12
16
13141,25
11827,12
34000,37
30600,33
33
Диспетчер (техник)
3
235,2
211,68
10,7
18
8
10
8138,67264
7324,8054
25
10
12
12
4801,817
4321,635
12940,49
11646,44
34
Техник по материалам
1
235,2
211,68
10,7
18
8
10
2712,89088
2441,6018
25
10
12
12
1600,606
1440,545
4313,50
3882,15
35
Начальник бюро материально-технического снабжения
1
380
342
10,4
24
8
10
4284,576
3856,1184
25
10
12
16
2699,283
2429,355
6983,86
6285,47
36
Инженер
5
370
333
10,4
24
8
10
20859,12
18773,208
25
10
12
16
13141,25
11827,12
34000,37
30600,33
37
Техник
2
235,2
211,68
10,7
18
8
10
5425,78176
4883,2036
25
10
12
12
3201,211
2881,09
8626,99
7764,29
38
Начальник бюро сбыта
1
380
342
10,4
24
8
10
4284,576
3856,1184
25
10
12
16
2699,283
2429,355
6983,86
6285,47
39
Инженер
3
370
333
10,4
24
8
10
12515,472
11263,925
25
10
12
16
7884,747
7096,273
20400,22
18360,20
40
Специалист по маркетингу
2
350
315
10,4
24
8
10
7892,64
7103,376
25
10
12
16
4972,363
4475,127
12865,00
11578,50
41
Менеджер по рекламе
1
350
315
10,4
24
8
10
3946,32
3551,688
25
10
12
16
2486,182
2237,563
6432,50
5789,25
42
Начальник отдела технического контроля
1
420
378
10,4
24
8
10
4735,584
4262,0256
25
10
12
16
2983,418
2685,076
7719,00
6947,10
43
Старший контрольный мастер
6
335
301,5
10,7
18
8
10
23184,144
20865,73
25
10
12
12
13678,64
12310,78
36862,79
33176,51
44
Контроль-ный мастер
11
325
292,5
10,7
18
8
10
41235,48
37111,932
25
10
12
12
24328,93
21896,04
65564,41
59007,97
45
Нарядчик
2
185
166,5
10,8
15
8
10
4315,68
3884,112
25
10
12
10
2459,938
2213,944
6775,62
6098,06
46
Учетчик
1
185
166,5
10,8
15
8
10
2157,84
1942,056
25
10
12
10
1229,969
1106,972
3387,81
3049,03
47
Главный бухгалтер
1
385
346,5
10,4
24
8
10
4340,952
3906,8568
25
10
12
16
2734,8
2461,32
7075,75
6368,18
48
Бухгалтер
2
350
315
10,4
24
8
10
7892,64
7103,376
25
10
12
16
4972,363
4475,127
12865,00
11578,50
49
Архивариус
1
185
166,5
10,8
15
8
10
2157,84
1942,056
25
10
12
10
1229,969
1106,972
3387,81
3049,03
50
Чертежник-копиров-щик
1
185
166,5
10,8
15
8
10
2157,84
1942,056
25
10
12
10
1229,969
1106,972
3387,81
3049,03
51
Учетчик
2
185
166,5
10,8
15
8
10
4315,68
3884,112
25
10
12
10
2459,938
2213,944
6775,62
6098,06
52
Завхоз
1
244,2
219,78
10,7
18
8
10
2816,70048
2535,0304
25
10
12
12
1661,853
1495,668
4478,55
4030,70
53
Табельщик
1
185
166,5
10,8
15
8
10
2157,84
1942,056
25
10
12
10
1229,969
1106,972
3387,81
3049,03
54
Начальник кадрового сектора
1
380
342
10,4
24
8
10
4284,576
3856,1184
25
10
12
16
2699,283
2429,355
6983,86
6285,47
55
Делопроизводитель
2
185
166,5
10,8
15
8
10
4315,68
3884,112
25
10
12
10
2459,938
2213,944
6775,62
6098,06
56
Секретарь-машинист
1
185
166,5
10,8
15
8
10
2157,84
1942,056
25
10
12
10
1229,969
1106,972
3387,81
3049,03
57
Уборщик конторских помещений
2
149,2
134,28
10,8
15
8
10
3480,5376
3132,4838
25
10
12
10
1983,906
1785,516
5464,44
4918,00
58
Гардеробщик
2
149,2
134,28
10,8
15
8
10
3480,5376
3132,4838
25
10
12
10
1983,906
1785,516
5464,44
4918,00
59
Курьер
4
149,2
134,28
10,8
15
8
10
6961,0752
6264,9677
25
10
12
10
3967,813
3571,032
10928,89
9836,00
60
Кубовщик
3
149,2
134,28
10,8
15
8
10
5220,8064
4698,7258
25
10
12
10
2975,86
2678,274
8196,67
7377,00
Годовые отчисления Зотч i; на социальное страхование, в фонды Чернобыля, занятости и пенсионный фонд рассчитываются в виде процентов от годового фонда полной заработной платы при i-ом состоянии «внешней среды»
Зотч i = ФОТi (Hотч /100%);
где: Hотч – процентный норматив суммарных отчислений, величина которых определяется действующим законодательством. В курсовом проекте может быть принята равной 36%.
Прочие годовые затраты общезаводского назначения Зпроч включающие расходы на содержание, эксплуатацию и текущий ремонт основных производственных фондов, возмещение износа малоценных, быстроизнашивающихся инструментов, приспособлений и инвентаря, охрану труда и промышленную санитарию, внутризаводское перемещение грузов, испытания, исследования, рационализацию, изобретательство и т.п., могут быть приняты при укрупненных расчётах равными 12% от первоначальной стоимости основных производственных фондов (см. табл. № 15)
Зпроч= 0.12 (Сзд+ Соб+ Спр+ Синс+ Синв).
Результаты проведенных расчётов условно-постоянных производственных затрат Зпост i при различных состояниях «внешней среды» i {1,2} сводятся в таблицу № 18.
Таблица 18
Расчет условно-постоянных производственных затрат при различных уровнях цен на основные ресурсы
Индекс уровня цен i
Затраты на спец. Оснастку Зсп. осн [грн./год]
Годовой амортизационный фонд A [грн./год]
Годовой фонд оплаты труда ИТР, СКП, МОП, ФОТi [грн./год]
Годовые отчисления в фонды соц. страх., Чернобыля, занятости, пенсионный фонд. Зотч i [грн/год]
Прочие годовые затраты общезаводского значения Зпроч [грн/год]
Условно постоянные производственные затраты Зпост i [грн/год]
1
630 000,00
308 226,34
1 174 932,85
422 975,83
339 896,30
2 876 031,32
2
630 000,00
308 226,34
1 056 639,57
380 390,24
339 896,30
2 715 152,45
Определение оптимальных программ выпуска продукции при различных состояниях «внешней среды»
При условии полной определенности i-го состояния «внешней среды», которое характеризуется вектором уровня цен на ресурсы и готовую продукцию
Оптимальная программа выпуска
определяется решением сформулированной в подразделе 4.1 следующей задачи линейного программирования
которая может быть представлена в следующей развернутой форме
;
;
;
где – вектор переменных xj, характеризующих объёмы производства изделий ;
– вектор коэффициентов целевой функции при
i-ом состоянии «внешней среды» ;
– вектор констант ограничений при i-ом состоянии «внешней среды»
b1 = Тгод ; bi2 = D - Зпост i ;
– матрица технико-экономических характеристик , производства изделий при i-ом состоянии «внешней среды» .
Представим задачу линейного программирования
- для 1-го уровня цен
Ограничения по ресурсам
400x1+500x2+700x3+800x4+1000x5<=900 000
15 520,13*x1 + 13 163,16*x2+11 221,22*x3+10712,26*x4+10618,32*x5 <= <=13 000 000-2 876 031,32
Целевая функция
17 072,14*x1 + 10 530,53*x2+10 099,10*x3+10 712,26*x4+7 432,82*x5 max
- для 2-го уровня цен
Ограничения по ресурсам
400x1+500x2+700x3+800x4+1000x5<=900 000
18 819,12*x1 + 15 727,64*x2+13 009,70*x3+12 228,23*x4+11 820,29*x5 <= <=13 000 000-2 715 152,45
Целевая функция
16 937,20*x1 + 11 009,35*x2+7 805,82*x3+6 114,12*x4+16 548,40*x5 max
Представленные задачи линейного программирования, имеющие только два ограничения, могут быть решены графо-аналитическим методом с помощью использования двойственной задачи, алгоритм составления которой следующий .
Целевая функция двойственной задачи образуется как скалярное произведение вектора констант ограничений исходной (прямой) задачи и вектора новых переменных , размерность которого соответствует числу ограничений прямой задачи
Критерий оптимальности задается диаметрально противоположным критерию прямой задачи.
Система ограничений двойственной задачи получается, если заданную матрицу Ai умножить слева на вектор новых переменных , в качестве вектора констант ограничений взять вектор коэффициентов целевой функции прямой задачи, а знак неравенства поменять на противоположный.
Полученные двойственные задачи линейного программирования
- для 1-го уровня цен
400у1 + 15 520,13*у2 >= 17 072,14
500y1 + 13 163,16*y2 >= 10 530,53
700y1 + 11 221,22*y2 >= 10 099,10
800y1 + 10712,26*y2 >= 10 712,26
1000y1 + 10618,32*y2 >= 7 432,82
900 000y1 + 10 123 968,68*y2 min
- для 2-го уровня цен
400у1 + 18 819,12*у2 >= 16 937,20
500y1 + 15 727,64*y2 >= 11 009,35
700y1 + 13 009,70*y2 >= 7 805,82
800y1 + 12 228,23*y2 >= 6 114,12
1000y1 + 11 820,29*y2 >= 16 548,40
900 000y1 + 10 284 847,55*y2 min
Решим двойственные задачи графо-аналитическим методом
- для 1-го уровня цен
B A
F (B)=min, поэтому принимаем программу выпуска =652 (ед.).
- для 2-го уровня цен
C B A
F (C) =min, поэтому принимаем программу выпуска =870 (ед.).
Определение оптимальной стратегии производства в условиях неопределенности цен на ресурсы и готовую продукцию
Ставим задачу определить оптимальную стратегию выпуска продукции
,
обеспечивающую максимальную гарантированную прибыль в условиях неопределенности состояния «внешней среды».
4.1 Построение матричной игры с «внешней средой»
Сформулированная задача может быть разрешена с помощью теории матричных (стратегических) игр, для чего необходимо составить матрицу возможных прибылей
которая представлена в виде таблицы № 19.
Таблица 19
Матрица возможных прибылей
-
Уровень цен I
Программа
выпуска, К
Из матрицы возможных прибылей следует.
1. Если будет реализована чистая стратегия производства , то в зависимости от состояния «внешней среды» прибыль предприятия будет составлять:
либо при уровне цен ;
либо при уровне цен ;
Прибыль
определяется решение М задачи
При этом трудоемкость годовой программы выпуска продукции равняется:
а производственные затраты составляют
Прибыль определяется как
при условии, что производственные затраты не превышают расчетную величину
Если же ограничения по производственным затратам не выполняются, то прибыль рассчитывается как
;
где:
В этом случае трудоемкость годовой программы выпуска продукции будет равняться
2. Если будет реализована чистая стратегия производства , то в зависимости от состояния «внешней среды» прибыль предприятия будет составлять:
либо при уровне цен ;
либо при уровне цен ;
Прибыль
определяется решением задачи линейного программирования
При этом трудоемкость годовой программы выпуска продукции равна
а производственные затраты составляют
Прибыль определяется как
при условии, что производственные затраты не превышают расчетную величину
Если же ограничение по производственным затратам не выполняется, то прибыль рассчитывается как
где:
В этом случае трудоемкость годовой программы выпуска продукции будет составлять:
Полученные результаты сводятся в таблицу № 20, где – косвенные затраты соответствующие к-му масштабу производства при i-ом состоянии «внешней среды».
Результаты расчетов по ограничениям и по возможным прибылям запишем в таблице 20.
Полученные прибыли запишем в матрице прибылей (таблица 21).
Программа выпуска
Уровень цен
Доход
Затраты
Затраты с учетом а
Прибыль
1
5
1
5
1
5
1
5
1
17 803 631,88
15 704 495,33
12 995 154,78
12 113 969,75
11 353 951,26
12 113 969,75
6 449 680,62
3 590 525,58
2
19 532 004,43
24 680 761,40
14 985 215,57
12 998 803,04
12 995 154,78
12 998 803,04
6 536 849,65
11 681 958,37
Таблица 20
Поправочный коэффициент 0,838.
Таблица 21
-
Уровень цен I
Программа
выпуска, К
6 449 680,62
6 536 849,65
3 590 525,58
11 681 958,37
4.2 Расчет стратегии производства
Ставится задача найти такое долевое распределение ресурсов между чистыми стратегиями производства при котором независимо от возможного уровня цен гарантированная прибыль была бы максимальной. Если принять допущение, что прибыли предприятия пропорциональны объемам производства, а те в свою очередь пропорциональны выделенным ресурсам, то для решения поставленной задачи необходимо решить сформулированную матричную игру, т.е. определить цену игры и обеспечивающую ее оптимальную стратегию
где:
Для решения этой задачи необходимо определить нижнюю и верхнюю цену игры
Так как в нашем случае равенство нижней и верхней цены игры, что соответствует наличию седловой точки в рассматриваемой матричной игре, цена игры ()- гарантированный максимальный результат - определяется одной из чистых стратегий , доставляющей максимальный результат из наихудших возможных исходов
= 6 449 680,62 (грн)
При этом
= *652*0,838=546 (ед.)
Таким образом, получим чистую стратегию производства, обеспечивающую наибольшую гарантированную прибыль в условиях неопределенности цен на ресурсы и готовую продукцию.
Заключение
В заключение выполняемого проекта, исходя из полученной годовой программы выпуска продукции , рассчитываются основные технико экономические характеристики деятельности рассматриваемого предприятия, которые сводятся в таблицу № 22.
Таблица 22
Технико-экономические показатели деятельности предприятия
№ п/п
Наименование показателя
Индекс уровня цен
Индекс изделия
Суммарное значение показателя
X1
1
Количество изделий [шт.]
-
546
-
2
Трудоемкость производства [н.-час.]
-
218400
218400
3
Количество стапелей общей сборки [шт.]
-
3
-
4
Количество стелажей внешнестапельной доработки [шт.]
-
-
5
5
Количество приспособлений для узловой и панельной сборки [шт.]
-
8
-
6
Количество сверлильно-зенковального и клепального оборудования [шт.]
-
-
4
7
Количество основных производственных рабочих [чел.]
-
-
108
8
Количество вспомогательных рабочих, руководителей, специалистов, служащих и МОП
-
-
55
9
Прямые затраты на одно изделие [грн./изд.]
1
15 520,13
-
2
18 819,12
-
10
Косвенные расходы [грн.]
1
-
2 876 031,32
2
-
2 715 152,45
11
Процент косвенных расходов [%] от годового фонда ПЗП основных рабочих
1
-
717,84
2
-
752,99
12
Цена изделия [грн./изд.]
1
32 592,27
-
2
35 756,32
-
13
Себестоимость изделия [грн./изд.]
1
20 787,58
-
2
23 791,92
-
14
Доход[грн.]
1
17 795 378,78
17 795 378,78
2
19 522 950,12
19 522 950,12
15
Затраты [грн.]
1
11 350 021,21
11 350 021,21
2
12 990 389,36
12 990 389,36
16
Прибыль[грн.]
1
6 445 357,56
6 445 357,56
2
6 532 560,76
6 532 560,76
Нравится материал? Поддержи автора!
Ещё документы из категории экономика:
Чтобы скачать документ, порекомендуйте, пожалуйста, его своим друзьям в любой соц. сети.
После чего кнопка «СКАЧАТЬ» станет доступной!
Кнопочки находятся чуть ниже. Спасибо!
Кнопки:
Скачать документ