Билеты по физике за весь школьный курс

































































































































































































































































































































































































1. Механическое движение. Материальная точка.
Механическим движением тела называется изменение его положения в пространстве относительно других тел с течением времени. Изучает движение тел механика. Движение абсолютно твердого тела (не деформирующегося при движении и взаимодействии), при котором все его точки в данный момент времени движутся одинаково, называется поступательным движением, для его описания необходимо и достаточно описать движение одной точки тела. Движение, при котором траектории всех точек тела являются окружностями с центром на одной прямой и все плоскости окружностей перпендикулярны этой прямой, называется вращательным движением. Тело, формой и размерами которого в данных условиях можно пренебречь, называется материальной точкой. Это пренебрежение допустимо сделать тогда, когда размеры тела малы по сравнению с расстоянием, которое оно проходит или расстоянием данного тела до других тел. Чтобы описать движение тела, нужно знать его координаты в любой момент времени. В этом и залючается основная задача механики.
2. Относительность движения. Система отсчета. Единицы измерения.
Для определения координат материальной точки необходимо выбрать тело отсчета и связать с ним систему координат и задать начало отсчета времени. Система координат и указание начала отсчета времени образуют систему отсчета, относительно которой рассматривается движение тела. Система должна двигаться с постойнной скоростью (или покоиться, что вообще говоря одно и то же). Траектория движения тела, пройденный путь и перемещение – зависят от выбора системы отсчета, т.е. механическое движение относительно. Единицей измерения длины является метр, равный расстоянию, проходимому свету в вакууме за секунды. Секунда – единица измерения времени, равна периодам излучения атома цезия-133.
3. Траектория. Путь и перемещение. Мгновенная скорость.
Траекторией тела называется линия, описываемая в пространстве движущейся материальной точкой. Путь – длина участка траектории от начального до конечного перемещения материальной точки. Радиус-вектор – вектор, соединяющий начало координат и точку пространства. Перемещение – вектор, соединяющий начальную и конечную точки участка траектории, пройденные за время. Скорость – физическая величина, характеризующая быстроту и направление движения в данный момент времени. Средняя скорость определяется как. Средняя путевая скорость равна отношению пути, пройденному телом за промежуток времени к этому промежутку. . Мгновенная скорость (вектор) – первая производная от радиус-вектора движущейся точки. . Мгновенная скорость направлена по касательной к траектории, средняя – вдоль секущей. Мгновенная путевая скорость (скаляр) – первая производная пути по времени, по величине равна мгновенной скорости
4. Равномерное прямолинейное движение. Графики зависимости кинематических величин от времени в равномерном движении. Сложение скоростей.
Движение с постоянной по модулю и направлению скоростью называется равномерным прямолинейным движением. При равномерном прямолинейном движении тело за любые равные промежутки времени проходит одинаковые расстояния. Если скорость постоянна, то пройденный путь вычисляется как . Классический закон сложения скоростей формулируется следующим образом: скорость движения материальной точки по отношению к системе отсчета, принимаемой за неподвижную, равна векторной сумме скоростей движения точки в подвижной системе и скорости движения подвижной системы относительно неподвижной.
5. Ускорение. Равноускоренное прямолинейное движение. Графики зависимости кинематических величин от времени в равноускоренном движении.
Движение, при котором тело за равные промежутки времени совершает неодинаковые перемещения, называют неравномерным движением. При неравномерном поступательном движении скорость тела изменяется с течением времени. Ускорение (вектор) – физическая величина, характеризующая быстроту изменения скорости по модулю и по направлению. Мгновенное ускорение (вектор) – первая производная скорости по времени. .Равноускоренным называется движение с ускорением, постоянным по модулю и направлению. Скорость при равноускоренном движении вычисляется как .
Отсюда формула для пути при равноускоренном движении выводится как
Также справедливы формулы , выводимая из уравнений скорости и пути при равноускоренном движении.
6. Свободное падение тел. Ускорение свободного падения.
Падением тела называется его движение в поле силы тяжести (???). Падение тел в вакууме называется свободным падением. Экспериментально установлено, что при свободном падении тела движутся одинаково независимо от своих физических характеристик. Ускорение, с которым падают на Землю тела в пустоте, называется ускорением свободного падения и обозначается
7. Равномерное движение по окружности. Ускорение при равномерном движении тела по окружности (центростремительное ускорение)
Любое движение на достаточно малом участке траектории возможно приближенно рассматривать как равномерное движение по окружности. В процессе равномерного движения по окружности значение скорости остается постоянным, а направление вектора скорости изменяется. <рисунок>.. Вектор ускорения при движении по окружности направлен перпендикулярно вектору скорости (направленному по касательной), к центру окружности. Промежуток времени, за который тело совершает полный оборот по окружности, называется периодом. . Величина, обратная периоду, показывающая количество оборотов в единицу времени, называется частотой . Применив эти формулы, можно вывести, что , или . Угловая скорость (скорость вращения) определяется как . Угловая скорость всех точек тела одинакова, и характеризует движения вращающегося тела в целом. В этом случае линейная скорость тела выражается как , а ускорение – как .
Принцип независимости движений рассматривает движение любой точки тела как сумму двух движений – поступательного и вращательного.
8. Первый закон Ньютона. Инерциальная система отсчета.
Явление сохранения скорости тела при отсутствии внешних воздействий называется инерцией. Первый закон Ньютона, он же закон инерции, гласит: “существуют такие системы отсчета, относительно которых поступательно движущиеся тела сохраняют свою скорость постоянной, если на них не действуют другие тела”. Системы отсчета, относительно которых тела при отсутствии внешних воздействий движутся прямолинейно и равномерно, называются инерциальными системами отсчета. Системы отсчета, связанные с землей считают инерциальными, при условии пренебрежения вращением земли.
9. Масса. Сила. Второй закон Ньютона. Сложение сил. Центр тяжести.
Причиной изменения скорости тела всегда является его взаимодействие с другими телами. При взаимодействии двух тел всегда изменяются скорости, т.е. приобретаются ускорения. Отношение ускорений двух тел одинаково при любых взаимодействиях. Свойство тела, от которого зависит его ускорение при взаимодействии с другими телами, называется инертностью. Количественной мерой инертности является масса тела. Отношение масс взаимодействующих тел равно обратному отношению модулей ускорений. Второй закон Ньютона устанавливает связь между кинематической характеристикой движения – ускорением, и динамическими характеристиками взаимодействия – силами. , или, в более точном виде, , т.е. скорость изменения импульса материальной точки равна действующей на него силе. При одновременном действии на одно тело нескольких сил тело движется с ускорением, являющимся векторной суммой ускорений, которые возникли бы при воздействии каждой из этих сил в отдельности. Действующие на тело силы, приложенные к одной точке, складываются по правилу сложения векторов. Это положение называют принципом независимости действия сил. Центром масс называется такая точка твердого тела или системы твердых тел, которая движется так же, как и материальная точка массой, равной сумме масс всей системы в целом, на которую действуют та же результирующая сила, что и на тело. . Проинтегрировав это выражение по времени, можно получить выражения для координат центра масс. Центр тяжести – точка приложения равнодействующей всех сил тяжести, действующих на частицы этого тела при любом положении в пространстве. Если линейные размеры тела малы по сравнению с размером Земли, то центр масс совпадает с центром тяжести. Сумма моментов всех сил элементарных тяжести относительно любой оси, проходящей через центр тяжести, равна нулю.
10. Третий закон Ньютона.
При любом взаимодействии двух тел отношение модулей приобретенных ускорений постоянно и равно обратному отношению масс. Т.к. при взаимодействии тел векторы ускорений имеют противоположное направление, можно записать, что . По второму закону Ньютона сила, действующая на первое тело равна , а на второе . Таким образом, . Третий закон Ньютона связывает между собой силы, с которыми тела действуют друг на друга. Если два тела взаимодействуют друг с другом, то силы, возникающие между ними приложены к разным телам, равны по величине, противоположны по направлению, действуют вдоль одной прямой, имеют одну и ту же природу.
11. Силы упругости. Закон Гука.
Сила, возникающая в результате деформации тела и направленная в сторону, противоположную перемещениям частиц тела при этой деформации, называется силой упругости. Опыты со стержнем показали, что при малых по сравнению с размерами тела деформациях модуль силы упругости прямо пропорционален модулю вектора перемещения свободного конца стержня, что в проекции выглядит как . Эту связь установил Р.Гук, его закон формулируется так: сила упругости, возникающая при деформации тела, пропорциональна удлинению тела в сторону, противоположную направлению перемещения частиц тела при деформации. Коэффициент k называется жесткостью тела, и зависит от формы и материала тела. Выражается в ньютонах на метр. Силы упругости обусловлены электромагнитными взаимодействиями.
12. Силы трения, коэффициент трения скольжения. Вязкое трение (???)
Сила, возникающая на границе взаимодействия тел при отсутствии относительного движения тел, называется силой трения покоя. Сила трения покоя равна по модулю внешней силе, направленной по касательной к поверхности соприкосновения тел и противоположна ей по направлению. При равномерном движении одного тела по поверхности другого под воздействием внешней силы на тело действует сила, равная по модулю движущей силе и противоположная по направлению. Эта сила называется силой трения скольжения. Вектор силы трения скольжения направлен против вектора скорости, поэтому эта сила всегда приводит к уменьшению относительной скорости тела. Силы трения также, как и сила упругости, имеют электромагнитную природу, и возникают за счет взаимодействия между электрическими зарядами атомов соприкасающихся тел. Экспериментально установлено, что максимальное значение модуля силы трения покоя пропорционально силе давления. Также примерно равны максимальное значение силы трения покоя и сила трения скольжения, как примерно равны и коэффициенты пропорциональности между силами трения и давлением тела на поверхность.
13. Гравитационные силы. Закон всемирного тяготения. Сила тяжести. Вес тела.
Из того, что тела независимо от своей массы падают с одинаковым ускорением, следует, что сила, действующая на них, пропорциональна массе тела. Эта сила притяжения, действующая на все тела со стороны Земли, называется силой тяжести. Сила тяжести действует на любом расстоянии между телами. Все тела притягиваются друг к другу, сила всемирного тяготения прямо пропорциональна произведению масс и обратно пропорциональна квадрату расстояния между ними. Векторы сил всемирного тяготения направлены вдоль прямой, соединяющей центры масс тел. , G – Гравитационная постоянная, равна . Весом тела называется сила, с которой тело вследствие силы тяжести действует на опору или растягивает подвес. Вес тела равен по модулю и противоположен по направлению силе упругости опоры по третьему закону Ньютона. По второму закону Ньютона если на тело более не действует ни одна сила, то сила тяжести тела уравновешивается силой упругости. Вследствие этого вес тела на неподвижной или равномерно движущейся горизонтальной опоре равен силе тяжести. Если опора движется с ускорением, то по второму закону Ньютона , откуда выводится . Это означает, что вес тела, направление ускорения которого совпадает с направлением ускорения свободного падения, меньше веса покоящегося тела.
14. Движение тела под действием силы тяжести по вертикали. Движение искусственных спутников. Невесомость. Первая космическая скорость.
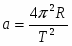
При бросании тела параллельно земной поверхности дальность полета будет тем большей, чем больше начальная скорость. При больших значениях скорости также необходимо принимать в расчет шарообразность земли, что отражается в изменении направления вектора силы тяжести. При некотором значении скорости тело может двигаться вокруг Земли под действием силы всемирного тяготения. Эту скорость, называемую первой космической, можно определить из уравнения движения тела по окружности . С другой стороны, из второго закона Ньютона и закона всемирного тяготения следует, что . Таким образом, на расстоянии R от центра небесного тела массой М первая космическая скорость равна. При изменении скорости тела меняется форма его орбиты с окружности на эллипс. При достижении второй космической скорости, равной орбита становится параболической.
15. Импульс тела. Закон сохранения импульса. Реактивное движение.
По второму закону Ньютона независимо от того, находилось ли тело в покое или двигалось, изменение его скорости может происходить только при взаимодействии с другими телам. Если на тело массой m в течение времени t действует сила и скорость его движения изменяется от до , то ускорение тела равно . На основании второго закона Ньютона для силы можно записать . Физическая величина, равная произведению силы на время ее действия, называется импульсом силы. Импульс силы показывает, что существует величина, одинаково изменяющаяся у всех тел под воздействием одинаковых сил, если время действия силы одинаково. Эта величина, равная произведению массы тела на скорость его движения, называется импульсом тела. Изменение импульса тела равно импульсу силы, вызвавшей это изменение. Возьмем два тела, массами и , движущиеся со скоростями и . По третьему закону Ньютона силы, действующие на тела при их взаимодействии, равны по модулю и противоположны по направлению, т.е. их можно обозначить как и . Для изменений импульсов при взаимодействии можно записать . Из этих выражений получим, что , то есть векторная сумма импульсов двух тел до взаимодействия равна векторной сумме импульсов после взаимодействия. В более общем виде закон сохранения импульса звучит так: Если, то .
16. Механическая работа. Мощность. Кинетическая и потенциальная энергия.
Работой А постоянной силы называется физическая величина, равная произведению модулей силы и перемещения, умноженному на косинус угла между векторами и. . Работа является скалярной величиной и может иметь отрицательное значение, если угол между векторами перемещения и силы более . Единица работы называется джоулем, 1 джоуль равен работе, совершаемой силой в 1 ньютон при перемещении точки ее приложения на 1 метр. Мощность – физическая величина, равная отношению работы к промежутку времени, в течение которого эта работа совершалась. . Единима мощности называется ваттом, 1 ватт равен мощности, при которой работа в 1 джоуль совершается за 1 секунду. Допустим, что на тело массой m действует сила (которая может вообще говоря быть равнодействующей нескольких сил), под действием которой тело перемещается на в направлении вектора . Модуль силы по второму закону Ньютона равен ma, а модуль вектора перемещения связан с ускорение и начальной и конечной скоростями как. Отсюда для работы получается формула . Физическая величина, равная половине произведения массы тела на квадрат скорости называется кинетической энергией. Работа равнодействующей сил, приложенных к телу, равна изменению кинетической энергии. Физическая величина, равная произведению массы тела на модуль ускорения свободного падения и высоту, на которую поднято тело над поверхностью с нулевым потенциалом, называют потенциальной энергией тела. Изменение потенциальной энергии характеризует работу силы тяжести по перемещении тела. Эта работа равна изменению потенциальной энергии, взятому с противоположным знаком. Тело находящееся ниже поверхности земли, имеет отрицательную потенциальную энергию. Потенциальную энергию имеют не только поднятые тела. Рассмотрим работу, совершаемую силой упругости при деформации пружины. Силу упругости прямо пропорциональна деформации, и ее среднее значение будет равно, работа равна произведению силы на деформацию, или же . Физическая величина, равная половине произведения жесткости тела на квадрат деформации называется потенциальной энергией деформированного тела. Важной характеристикой потенциальной энергии является то, что тело не может обладать ею, не взаимодействуя с другими телами.
17.Законы сохранения энергии в механике.
Потенциальная энергия характеризует взаимодействующие тела, кинетическая – движущиеся. И та, и другая возникают в результате взаимодействия тел. Если несколько тел взаимодействую между собой только силами тяготения и силами упругости, и никакие внешние силы на них не действуют (или же их равнодействующая равна нулю), то при любых взаимодействиях тел работа сил упругости или сил тяготения равна изменению потенциальной энергии, взятой с противоположным знаком. В то же время, по теореме о кинетической энергии (изменение кинетической энергии тела равно работе внешних сил) работа тех же сил равна изменению кинетической энергии. . Из этого равенства следует, что сумма кинетической и потенциальной энергий тел, составляющих замкнутую систему и взаимодействующих между собой силами тяготения и упругости, остается постоянной. Сумма кинетической и потенциальной энергий тел называется полной механической энергией. Полная механическая энергия замкнутой системы тел, взаимодействующих между собой силами тяготения и упругости, остается неизменной. Работа сил тяготения и упругости равна, с одной стороны, увеличению кинетической энергии, а с другой – уменьшению потенциальной, то есть работа равна энергии, превратившейся из одного вида в другой.
18. Простые механизмы (наклонная плоскость, рычаг, блок) их применение.
Наклонная плоскость применяется для того, чтобы тело большой массы можно было переместить действием силы, значительно меньшей веса тела. Если угол наклонной плоскости равен, то для перемещения тела вдоль плоскости необходимо применить силу, равную . Отношение этой силы к весу тела при пренебрежении силой трения равно синусу угла наклона плоскости. Но при выигрыше в силе нет выигрыша в работе, т.к. путь увеличивается в раз. Этот результат является следствием закона сохранения энергии, так как работа силы тяжести не зависит от траектории подъема тела.
Рычаг находится в равновесии, если момент сил, вращающий его по часовой стрелке равен моменту ил, вращающих рычаг против часовой стрелки. Если направления векторов сил, приложенных к рычагу, перпендикулярны кратчайшим прямым, соединяющим точки приложения сил и ось вращения, то условия равновесия принимает вид. Если , то рычаг обеспечивает выигрыш в силе . Выигрыш в силе не дает выигрыша в работе, т.к. при повороте на угол сила совершает работу, а сила совершает работу . Т.к. по условию , то .
Блок позволяет изменять направление действия силы. Плечи сил, приложенных к разным точкам неподвижного блока, одинаковы, и поэтому выигрыша в силе неподвижный блок не дает. При подъеме груза с помощью подвижного блока получается выигрыш в силе в два раза, т.к. плечо силы тяжести вдвое меньше плеча силы натяжения троса. Но при вытягивании троса на длину l груз поднимается на высоту l/2, следовательно, неподвижный блок также не дает выигрыша в работе.
19. Давление. Закон Паскаля для жидкостей и газов.
Физическая величина, равная отношению модуля силы, действующей перпендикулярно поверхности к площади это поверхности, называется давлением. Единица давления – паскаль, равный давлению, производимому силой в 1 ньютон на площадь в 1 квадратный метр. Все жидкости и газы передают производимое на них давление во все стороны.
20. Сообщающиеся сосуды. Гидравлический пресс. Атмосферное давление. Уравнение Бернулли.
В цилиндрическом сосуде сила давления на дно сосуда равна весу столба жидкости. Давление на дно сосуда равно, откуда давление на глубине h равно . На стенки сосуда действует такое же давление. Равенство давлений жидкости на одной и той же высоте приводит к тому, что в сообщающихся сосудах любой формы свободные поверхности покоящейся однородной жидкости находятся на одном уровне (в случае пренебрежимо малости капиллярных сил). В случае неоднородной жидкости высота столба более плотной жидкости будет меньше высоты менее плотной. На основе закон Паскаля работает гидравлическая машина. Она состоит из двух сообщающихся сосудов, закрытых поршнями разных площадей. Давление, производимое внешней силой на один поршень, передается по закону Паскаля на второй поршень. . Гидравлическая машина дает выигрыш в силе во столько раз, во сколько площадь ее большого поршня больше площади малого.
При стационарном движении несжимаемой жидкости справедливо уравнение неразрывности . Для идеальной жидкости, в которой можно пренебречь вязкостью (т.е. трением между ее частицами) математическим выражением закон сохранения энергии является уравнение Бернулли .
21. Опыт Торричелли. Изменение атмосферного давления с высотой.
Под действием силы тяжести верхние слои атмосферы давят на нижележащие. Это давление согласно закону Паскаля передается по всем направлениям. Наибольшее значение это давление имеет у поверхности Земли, и обусловлено весом столба воздуха от поверхности до границы атмосферы. При увеличении высоты уменьшается масса слоев атмосферы, давящих на поверхность, следовательно, атмосферное давление с высотой понижается. На уровне моря атмосферное давление равно 101 кПа. Такое давление оказывает столб ртути высотой 760 мм. Если в жидкую ртуть опустить трубку, в которой создан вакуум, то под действием атмосферного давления ртуть поднимется в ней на такую высоту, при которой давление столба жидкости станет равным внешнему атмосферному давлению на открытую поверхность ртути. При изменении атмосферного давления высота столба жидкости в трубке также изменится.
22. Архимедова сила дня жидкостей и газов. Условия плавания тел.
Зависимость давления в жидкости и газе от глубины приводит к возникновению выталкивающей силы, действующей на любое тело, погруженное в жидкость или газ. Эту силу называют архимедовой силой. Если в жидкость погрузить тело, то давления на боковые стенки сосуда уравновешиваются друг другом, а равнодействующая давлений снизу и сверху является архимедовой силой. , т.е. силы, выталкивающая погруженное в жидкость (газ) тело, равна весу жидкости (газа), вытесненной телом. Архимедова сила направлена противоположно силе тяжести, поэтому при взвешивании в жидкости вес тела меньше, чем в вакууме. На тело, находящееся в жидкости, действует сила тяжести и архимедова сила. Если сила тяжести по модулю больше – тело тонет, меньше – всплывает, равны – может находиться в равновесии н любой глубине. Эти отношения сил равны отношениям плотностей тела и жидкости(газа).
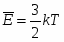
23. Основные положения молекулярно-кинетической теории и их опытное обоснование. Броуновское движение. Масса и размер молекул.
Молекулярно-кинетической теорией называется учение о строении и свойствах вещества, использующее представление о существовании атомов и молекул как наименьших частиц вещества. Основные положения МКТ: вещество состоит из атомов и молекул, эти частиц хаотически движется, частицы взаимодействую друг с другом. Движение атомов и молекул и их взаимодействие подчиняется законам механики. Во взаимодействии молекул при их сближении сначала преобладают силы притяжения. На некотором расстоянии между ними возникают силы отталкивания, превосходящие по модулю силы притяжения. Молекулы и атомы совершают беспорядочные колебания относительно положений, где силы притяжения и отталкивания уравновешивают друг друга. В жидкости молекулы не только колеблются, но и перескакивают из одного положения равновесия в другое (текучесть). В газах расстояния между атомами значительно больше размеров молекул (сжимаемость и расширяемость). Р.Броун в начале 19 век обнаружил, что в жидкости беспорядочно движутся твердые частицы. Это явление могла объяснить только МКТ,. Беспорядочно движущиеся молекулы жидкости или газа сталкиваются с твердой частицей и изменяют направление и модуль скорости ее движения (при этом, разумеется, изменяя и свое направление и скорость). Чем меньше размеры частицы тем более заметными становятся изменение импульса. Любое вещество состоит из частиц, поэтому количество вещества принято считать пропорциональным количеству частиц. Единица количества вещества называется моль. Моль равен количеству вещества, содержащей столько атомов, сколько содержится их в 0.012 кг углерода 12С. Отношение числа молекул к количеству вещества называют постоянной Авогадро: . Количество вещества можно найти как отношение числа молекул к постоянной Авогадро. Молярной массой M называется величина, равная отношению массы вещества m к количеству вещества . Молярная масса выражается в килограммах на моль. Молярную массу можно выразить через массу молекулы m0 : .
24. Идеальный газ. Основное уравнение молекулярно-кинетической теории идеального газа.
Для объяснения свойств вещества в газообразном состоянии используется модель идеального газа. В этой модели предполагается следующее: молекулы газа обладают пренебрежимо малыми размера по сравнению с объемом сосуда, между молекулами не действуют силы притяжения, при соударении друг с другом и стенками сосуда действуют силы отталкивания. Качественное объяснение явления давления газа заключается в том, что молекулы идеального газа при столкновениях со стенками сосуда взаимодействуют с ними как упругие тела. При столкновении молекулы со стенкой сосуда проекция вектора скорости на ось, перпендикулярную стенке, меняется на противоположную. Поэтому при столкновении проекция скорости меняется от –mvx до mvx, и изменение импульса равно . Во время столкновения молекула действует на стенку с силой, равной по третьему закону Ньютона силе, противоположной по направлению. Молекул очень много, и среднее значение геометрической суммы сил, действующих со стороны отдельных молекул, и образует силу давления газа на стенки сосуда. Давление газа равно отношению модуля силы давления к площади стенки сосуда: p=F/S. Предположим, что газ находится в кубическом сосуде. Импульс одной молекулы составляет 2mv, одна молекула воздействует на стенку в среднем с силой 2mv/t. Время t движения от одной стенки сосуда к другой равно 2l/v, следовательно, . Сила давления на стенку сосуда всех молекул пропорциональна их числу, т.е. . Из-за полной хаотичности движения молекул движение их по каждому из направлений равновероятно и равно 1/3 от общего числа молекул. Таким образом, . Так как давление производится на грань куба площадью l2, то давление будет равно. Это уравнение называется основным уравнением молекулярно-кинетической теории. Обозначив за среднюю кинетическую энергию молекул, получим.
25. Температура, ее измерение. Абсолютная температурная шкала. Скорость молекул газа.
Основное уравнение МКТ для идеального газа устанавливает связь между микро- и макроскопическими параметрами. При контакте двух тел изменяются их макроскопические параметры. Когда это изменение прекратилось, говорят, что наступило тепловое равновесие. Физический параметр, одинаковый во всех частях системы тел, находящихся в состоянии теплового равновесия, называют температурой тела. Опыты показали, что для любого газа, находящегося в состоянии теплового равновесия, отношение произведения давления на объем к количеству молекул есть одинаково . Это позволяет принять величину в качестве меры температуры. Так как n=N/V, то с учетом основного уравнения МКТ, следовательно, величина равна двум третям средней кинетической энергии молекул. , где k – коэффициент пропорциональности, зависящий от шкалы. В левой части этого уравнения параметры неотрицательны. Отсюда – температура газа при котором его давление при постоянном объеме равно нулю, называют абсолютным нулем температуры. Значение этого коэффициента можно найти по двум известным состояниям вещества с известными давлением, объемом, числом молекул температуре. . Коэффициент k, называемый постоянной Больцмана, равен . Из уравнений связи температуры и средней кинетической энергии следует, т.е. средняя кинетическая энергия хаотического движения молекул пропорциональна абсолютной температуре. , . Это уравнение показывает, что при одинаковых значениях температуры и концентрации молекул давление любых газов одинаково.
26. Уравнение состояния идеального газа (уравнение Менделеева-Клапейрона). Изотермический, изохорный и изобарный процессы.
Используя зависимость давления от концентрации и температуры, можно найти связь между макроскопическими параметрами газа – объемом, давлением и температурой. . Это уравнение называют уравнением состояния идеального газа (уравнение Менделеева-Клапейрона).
Изотермическим процессом называется процесс, протекающий при постоянной температуре. Из уравнения состояния идеального газа следует, что при постоянной температуре, массе и составе газа произведение давления на объем должно оставаться постоянным. Графиком изотермы (кривой изотермического процесса) является гипербола. Уравнение называют законом Бойля-Мариотта.
Изохорным процессом называется процесс, протекающий при неизменном объеме, массе и составе газа. При этих условиях, где – температурный коэффициент давления газа. Это уравнение называется законом Шарля. График уравнения изохорного процесса называется изохорой, и представляет из себя прямую, проходящую через начало координат.
Изобарным процессом называется процесс, протекающий при неизменном давлении, массе и составе газа. Аналогичным образом как и для изохорного процесса можно получить уравнение для изобарного процесса . Уравнение, описывающее этот процесс, называется законом Гей-Люссака. График уравнения изобарного процесса называется изобарой, и представляет из себя прямую, проходящую через начало координат.
27. Внутренняя энергия. Работа в термодинамике.
Если потенциальная энергия взаимодействия молекул равна нулю, то внутренняя энергия равна сумме кинетических энергий движения всех молекул газа . Следовательно, при изменении температуры изменяется и внутренняя энергия газа. Подставив в уравнение для энергии уравнение состояния идеального газа, получим, что внутренняя энергия прямо пропорциональная произведению давления газа на объем. . Внутренняя энергия тела может изменяться только при взаимодействии с другими телам. При механическом взаимодействии тел (макроскопическом взаимодействии) мерой передаваемой энергии является работа А. При теплообмене (микроскопическом взаимодействии) мерой передаваемой энергии является количество теплоты Q. В неизолированной термодинамической системе изменение внутренней энергии U равно сумме переданного количества теплоты Q и работы внешних сил А. Вместо работы А, совершаемой внешними силами, удобнее рассматривать работу А`, совершаемую системой над внешними телами. А=–А`. Тогда первый закон термодинамики выражается как, или же. Это означает, что любая машина может совершать работу над внешними телами только за счет получения извне количества теплоты Q или уменьшения внутренней энергии U. Этот закон исключает создание вечного двигателя первого рода.
28. Количество теплоты. Удельная теплоемкость вещества. Закон сохранения энергии в тепловых процессах (первый закон термодинамики).
Процесс передачи теплоты от одного тела к другому без совершения работы называют теплообменом. Энергия, переданная телу в результате теплообмена, называется количеством теплоты. Если процесс теплопередачи не сопровождается работой, то на основании первого закона термодинамики. Внутренняя энергия тела пропорциональна массе тела и его температуре, следовательно . Величина с называется удельной теплоемкостью, единица – . Удельная теплоемкость показывает, какое количество теплоты необходимо передать для нагревания 1 кг вещества на 1 градус. Удельная теплоемкость не является однозначной характеристикой, и зависит от работы, совершаемой телом при теплопередаче.
При осуществлении теплообмена между двумя телами в условиях равенства нулю работы внешних сил и в тепловой изоляции от других тел, по закону сохранения энергии . Если изменение внутренней энергии не сопровождается работой, то , или же , откуда . Это уравнение называется уравнением теплового баланса.
29. Применение первого закона термодинамики к изопроцессам. Адиабатный процесс. Необратимость тепловых процессов.
Одним из основных процессов, совершающих работу в большинстве машин, является процесс расширения газа с совершением работы. Если при изобарном расширении газа от объема V1до объема V2 перемещение поршня цилиндра составило l, то работа A совершенная газом равна , или же . Если сравнить площади под изобарой и изотермой, являющиеся работами, можно сделать вывод, что при одинаковом расширении газа при одинаковом начальном давлении в случае изотермического процесса будет совершено меньше количество работы. Кроме изобарного, изохорного и изотермического процессов существует т.н. адиабатный процесс. Адиабатным называется процесс, происходящий при условии отсутствия теплообмена. Близким к адиабатному может считаться процесс быстрого расширения или сжатия газа. При этом процессе работа совершается за счет изменения внутренней энергии, т.е. , поэтому при адиабатном процессе температура понижается. Поскольку при адиабатном сжатии газа температура газа повышается, то давление газа с уменьшением объема растет быстрее, чем при изотермическом процессе.
Процессы теплопередачи самопроизвольно осуществляются только в одном направлении. Всегда передача тепла происходит к более холодному телу. Второй закон термодинамики гласит, что неосуществим термодинамический процесс, в результате которого происходила бы передача тепла от одного тела к другому, более горячему, без каких-либо других изменений. Этот закон исключает создание вечного двигателя второго рода.
30. Принцип действия тепловых двигателей. КПД теплового двигателя.
Обычно в тепловых машинах работа совершается расширяющимся газом. Газ, совершающий работу при расширении, называется рабочим телом. Расширение газа происходит в результате повышения его температуры и давления при нагревании. Устройство, от которого рабочее тело получает количество теплоты Q называется нагревателем. Устройство, которому машина отдает тепло после совершения рабочего хода, называется холодильником. Сначала изохорически растет давление, изобарически расширяется, изохорически охлаждается, изобарически сжимается. <рисунок с подъемником>. В результате совершения рабочего цикла газ возвращается в начальное состояние, его внутренняя энергия принимает исходное значение. Это значит, что . Согласно первому закону термодинамики, . Работа, совершаемая телом за цикл, равна Q. Количество теплоты, полученное телом за цикл, равно разности полученного от нагревателя и отданного холодильнику. Следовательно, . Коэффициентом полезного действия машины называется отношение полезно использованной к затраченной энергии .
31. Испарение и конденсация. Насыщенные и ненасыщенные пары. Влажность воздуха.
Неравномерное распределение кинетической энергии теплового движения приводит к тому. Что при любой температуре кинетическая энергия некоторой части молекул может превысить потенциальную энергию связи с остальными. Испарением называется процесс, при котором с поверхности жидкости или твердого тела вылетают молекулы. Испарение сопровождается охлаждением, т.к. более быстрые молекулы покидают жидкость. Испарение жидкости в закрытом сосуда при неизменной температуре приводит к увеличению концентрации молекул в газообразном состоянии. Через некоторое время наступает равновесие между количеством испаряющихся молекул и возвращающихся в жидкость. Газообразное вещество, находящееся в динамическом равновесии со своей жидкостью, называется насыщенным паром. Пар, находящийся при давлении ниже давления насыщенного пара, называется ненасыщенным. Давление насыщенного пара не зависит при постоянной температуре от объема (из ). При постоянной концентрации молекул давление насыщенного пара растет быстрее, чем давление идеального газа, т.к. под действием температуры количество молекул увеличивается. Отношение давления водяного пара при данной температуре к давлению насыщенного пара при той же температуре, выраженное в процентах, называется относительной влажностью воздуха . Чем ниже температура, тем меньше давление насыщенного пара, таким образом при охлаждении до некоторой температуры пар становится насыщенным. Эта температура называется точкой росы tp.
32. Кристаллические и аморфные тела. Механические свойства твердых тел. Упругие деформации.
Аморфными называются тела, физические свойства которых одинаковы по всем направлениям (изотропные тела). Изотропность физических свойств объясняется хаотичностью расположения молекул. Твердые тела, в которых молекулы упорядочены, называются кристаллами. Физические свойства кристаллических тел неодинаковы в различных направлениях (анизотропные тела). Анизотропия свойств кристаллов объясняется тем, что при упорядоченной структуре силы взаимодействия неодинаковы по различным направлениям. Внешнее механическое воздействие на тело вызывает смещение атомов из положения равновесия, что приводит к изменению формы и объема тела – деформации. Деформацию можно охарактеризовать абсолютным удлинением, равным разности длин до и после деформации, или относительным удлинением . При деформации тела возникают силы упругости. Физическая величина, равная отношению модуля силы упругости к площади сечения тела называется механическим напряжением . При малых деформациях напряжение прямо пропорционально относительному удлинению . Коэффициент пропорциональности Е в уравнении называется модулем упругости (модулем Юнга). Модуль упругости является постоянной для данного материала , откуда . Потенциальная энергия деформированного тела равна работе, затраченной на растяжение или сжатие. Отсюда .
Закон Гука выполняется только при небольших деформациях. Максимальное напряжение, при котором он еще выполняется, называется пределом пропорциональности. За этим пределом напряжение перестает расти пропорционально. До некоторого уровня напряжение деформированное тело восстановит свои размеры после снятия нагрузки. Эта точка называется пределом упругости тела. При превышении предела упругости начинается пластическая деформация, при которой тело не восстанавливает свою прежнюю форму. В области пластической деформации напряжение почти не увеличивается. Это явление называется текучестью материала. За пределом текучести напряжение повышается до точки, называемой пределом прочности, после которой напряжение уменьшается вплоть до разрушения тела.
33. Свойства жидкостей. Поверхностное натяжение. Капиллярные явления.
Возможность свободного перемещения молекул в жидкости обуславливает текучесть жидкости. Тело в жидком состоянии не имеет постоянной формы. Форма жидкости определяется формой сосуда и силами поверхностного натяжения. Внутри жидкости силы притяжения молекул компенсируются, а у поверхности – нет. Любая молекула, находящаяся у поверхности, притягивается молекулами внутри жидкости. Под действием этих сил молекулы в поверхность втягиваются внутрь до тех пор, пока свободная поверхность не станет минимальной из всех возможных. Т.к. минимальную поверхность при данном объеме имеет шар, то при малом действии других сил поверхность принимает форму сферического сегмента. Поверхность жидкости у края сосуда называется мениском. Явление смачивания характеризуется краевым углом между поверхностью и мениском в точке пересечения. Величина силы поверхностного натяжения на участке длиной l равна . Искривление поверхности создает избыточное давление на жидкость, равное при известном краевом угле и радиусе . Коэффициент называется коэффициентом поверхностного натяжения. Капилляром называется трубка с малым внутренним диаметром. При полном смачивании сила поверхностного натяжение направлена вдоль поверхности тела. В этом случае подъем жидкости по капилляру продолжается под действием этой силы до тех пор, пока сила тяжести не уравновесит силу поверхностного натяжения , т.к. , то .
34. Электрический заряд. Взаимодействие заряженных тел. Закон Кулона. Закон сохранения электрического заряда.
Ни механика, ни МКТ не в состоянии объяснить природу сил, связывающих атомы. Законы взаимодействия атомов и молекул можно объяснить на основе представления об электрических зарядах. <Опыт с натиранием ручки и притяжением бумажки> Взаимодействие тел, обнаруживаемое в этом опыте называется электромагнитным, и обуславливается электрическими зарядами. Способность зарядов притягиваться и отталкиваться объясняется предположением о существовании двух видов зарядов – положительному и отрицательному. Тела, заряженные одинаковым зарядом, отталкиваются, разным – притягиваются. Единицей заряда является кулон – заряд, проходящий через поперечное сечение проводника за 1 секунду при силе тока в 1 ампер. В замкнутой системе, в которую не входят извне электрические заряды и из которого не выходят электрические заряды при любых взаимодействиях алгебраическая сумма зарядов всех тел постоянна. Основной закон электростатики, он же закон Кулона, гласит, что модуль силы взаимодействия между двумя зарядами прямо пропорционален произведению модулей зарядов и обратно пропорционален квадрату расстояния между ними . Сила направлена вдоль прямой, соединяющей заряженные тела. Является силой отталкивания или притяжение, в зависимости от знака зарядов. Постоянная k в выражении закона Кулона равна . Вместо этого коэффициента используют т.н. электрическую постоянную, связанную с коэффициентом k выражением , откуда . Взаимодействие неподвижных электрических зарядов называется электростатическим.
35. Электрическое поле. Напряженность электрического поля. Принцип суперпозиции электрических полей.
Вокруг каждого заряда на основании теории близкодействия существует электрическое поле. Электрическое поле – материальный объект, постоянно существует в пространстве и способно действовать на другие заряды. Электрическое поле распространяется в пространстве со скоростью света. Физическая величина, равная отношению силы, с которой электрическое поле действует на пробный заряд (точечный положительный малый заряд, не влияющий на конфигурацию поля), к значению этого заряда, называется напряженностью электрического поля. Используя закон Кулона возможно получить формулу для напряженности поля, создаваемого зарядом q на расстоянии r от заряда . Напряженность поля не зависит от заряда, на который оно действует. Если на заряд q действуют одновременно электрические поля нескольких зарядов, то результирующая сила оказывается равной геометрической сумме сил, действующих со стороны каждого поля в отдельности. Это называется принципом суперпозиции электрических полей . Линией напряженности электрического поля называется линия, касательная к которой в каждой точке совпадает с вектором напряженности. Линии напряженности начинаются на положительных зарядах и оканчиваются на отрицательных, или же уходят в бесконечность. Электрическое поле, напряженность которого одинакова по всем в любой точке пространства, называется однородным электрическим полем. Приблизительно однородным можно считать поле между двумя параллельными разноименно заряженными металлическими пластинками. При равномерном распределении заряда q по поверхности площади S поверхностная плотность заряда равна . Для бесконечной плоскости с поверхностной плотностью заряда напряженность поля одинакова во всех точках пространства и равная .
36. Работа электростатического поля при перемещении заряда. Разность потенциалов.
При перемещении заряда электрическим полем на расстояние совершенная работа равна . Как и в случае с работой силы тяжести, работа кулоновской силы не зависит от траектории перемещения заряда. При изменении направления вектора перемещения на 1800 работа сил поля меняет знак на противоположный. Таким образом, работа сил электростатического поля при перемещении заряда по замкнутому контуру равна нулю. Поле, работа сил которого по замкнутой траектории равна нулю, называется потенциальным полем.
Точно так же, как тело массой m в поле силы тяжести обладает потенциально энергией, пропорциональной массе тела, электрический заряд в электростатическом поле обладает потенциальной энергией Wp, пропорциональной заряду. Работа сил электростатического поля равна изменению потенциальной энергии заряда, взятому с противоположным знаком. В одной точке электростатического поля разные заряды могут обладать различной потенциальной энергией. Но отношение потенциальной энергии к заряду для данной точки есть величина постоянная. Эта физическая величина называется потенциалом электрического поля , откуда потенциальная энергия заряда равна произведению потенциала в данной точке на заряд. Потенциал – скалярная величина, потенциал нескольких полей равен сумме потенциалов этих полей. Мерой изменения энергии при взаимодействии тел является работа. При перемещении заряда работа сил электростатического поля равна изменению энергии с противоположным знаком, поэтому . Т.к. работа зависит от разности потенциалов и не зависит от траектории между ними, то разность потенциалов можно считать энергетической характеристикой электростатического поля. Если потенциал на бесконечном расстоянии от заряда принять равным нулю, то на расстоянии r от заряда он определяется по формуле .
37. Напряжение. Электроемкость. Конденсаторы.
Отношение работы, совершаемой любым электрическим полем при перемещении положительного заряда из одной точки поля в другую, к значению заряда называется напряжением между этими точкам , откуда работа . В электростатическом поле напряжение между двумя любыми точками равно разности потенциалов между этими точками . Единица напряжения (и разности потенциалов) называется вольтом, . 1 вольт равен такому напряжению, при котором поле совершает работу в 1 джоуль по перемещению заряда в 1 кулон. С одной стороны, работа по перемещению заряда равна произведению силы на перемещение. С другой стороны, она может быть найдена по известному напряжению между участками пути. Отсюда. Единицей напряженности электрического поля является вольт на метр (в/м).
Конденсатор – система из двух проводников, разделенных слоем диэлектрика, толщина которого мала по сравнению с размерами проводников. Между пластинами напряженность поля равна удвоенной напряженности каждой из пластин, вне пластин она равна нулю. Физическая величина, равная отношению заряда одной из пластин к напряжению между обкладками называется электроемкостью конденсатора . Единица электроемкости – фарад, емкостью 1 фарад обладает конденсатор, между обкладками которого напряжение равно 1 вольту при сообщении обкладкам заряда по 1 кулону. Напряженность поля между пластинами твердого конденсатора равна сумме напряженность ей пластин. , а т.к. для однородного поля выполняется , то , т.е. электроемкость прямо пропорциональна площади обкладок и обратно пропорциональна расстоянию между ними. При введении между пластинами диэлектрика, его электроемкость повышается в раз, где – диэлектрическая проницаемость вводимого материала.
38. Диэлектрическая проницаемость. Энергия электрического поля.
Диэлектрическая проницаемость это физическая величина, характеризующая отношение модуля напряженности электрического поля в вакууме к модулю электрического поля в однородном диэлектрике. Работа электрического поля равна, но при зарядке конденсатора его напряжение вырастает от 0 до U, поэтому. Следовательно, и потенциальная энергия конденсатора равна .
39. Электрический ток. Сила тока. Условия существования электрического тока.
Электрическим током называется упорядоченное движение электрических зарядов. За направление тока принято движение положительных зарядов. Электрические заряды могут упорядоченно двигаться под действием электрического поля. Поэтому достаточным условием существования тока является наличие поля и свободных носителей заряда. Электрическое поле может быть создано двумя соединенными разноименно заряженными телами. Отношение заряда q, переносимого через поперечное сечение проводника за интервал времени t к этому интервалу называется силой тока . Если сила тока со временем не изменяется, то ток называется постоянным. Чтобы ток существовал проводнике в течение длительного времени, необходимо, чтобы условия, вызывающие ток, были неизменными. <схема с один резистором и батареей>. Силы, вызывающие перемещение заряда внутри источника тока, называются сторонним силами. В гальваническом элементе (а любая батарейка – г.э.???) ими являются силы химической реакции, в машине постоянного тока – сила Лоренца.
40. Закон Ома для участка цепи. Сопротивление проводников. Зависимость сопротивления проводников от температуры. Сверхпроводимость. Последовательное и параллельное соединение проводников.
Отношение напряжения между концами участка электрической цепи к силе тока есть величина постоянная, и называется сопротивлением . Единица сопротивления 0 ом, сопротивлением в 1 ом обладает такой участок цепи, в котором при силе тока 1 ампер напряжение равно 1 вольту. Сопротивление прямо пропорционально длине и обратно пропорционально площади поперечного сечения , где – удельное электрическое сопротивление, величина постоянная для данного вещества при данных условиях. При нагревании удельное сопротивление металлов увеличивается по линейному закону , где 0 – удельное сопротивление при 0 0С, – температурный коэффициент сопротивления, особый для каждого металла. При близких к абсолютному нулю температурах сопротивление веществ резко падает до нуля. Это явление называется сверхпроводимостью. Прохождение тока в сверхпроводящих материалах происходит без потерь на нагревание проводника.
Законом Ома для участка цепи называют уравнение . При последовательном соединении проводников сила тока одинакова во всех проводниках, а напряжение на концах цепи равно сумме напряжений на всех последовательно включенных проводниках. . При последовательном соединении проводников общее сопротивление равно сумме сопротивлений составляющих. При параллельном соединении напряжение на концах каждого участка цепи одинаково, а сила тока разветвляется на отдельные части. Отсюда . При параллельном подключении проводников величина, обратная общему сопротивлению равна сумме величин, обратных сопротивлениям всех параллельно включенных проводников.
41. Работа и мощность тока. Электродвижущая сила. Закон Ома для полной цепи.
Работу сил электрического поля, создающего электрический ток, называют работой тока. Работа А тока на участке с сопротивлением R за время t равна . Мощность электрического тока равна отношению работы ко времени совершения, т.е. . Работа выражается, как обычно, в джоулях, мощность – в ваттах. Если на участке цепи под действием электрического поля не совершается работа и не происходят химические реакции, то работа приводит к нагреванию проводника. При этом работа равна количеству теплоты, выделяемому проводником с током (Закон Джоуля-Ленца).
В электрической цепи работа совершается не только на внешнем участке, но и в батарее. Электрическое сопротивление источника тока называется внутренним сопротивлением r. На внутреннем участке цепи выделяется количество теплоты, равное . Полная работа сил электростатического поля при движении по замкнутому контуру равна нулю, поэтому вся работа оказывается совершенной за счет внешних сил, поддерживающих постоянное напряжение. Отношение работы внешних сил к переносимому заряду называется электродвижущей силой источника , где q – переносимый заряд. Если в результате прохождения постоянного тока произошло только нагревание проводников, то по закону сохранения энергии , т.е. . Ила тока в электрической цепи прямо пропорциональна ЭДС и обратно пропорциональна полному сопротивлению цепи.
42. Полупроводники. Электропроводимость полупроводников и ее зависимость от температуры. Собственная и примесная проводимость полупроводников.
Многие вещества не проводят ток так хорошо, как металлы, но в то же время не являются диэлектриками. Одним из отличий полупроводников – то, что при нагревании или освещении их удельное сопротивление не увеличивается, а уменьшается. Но главным их практически применимым свойством оказалась односторонняя проводимость. Вследствие неравномерного распределения энергии теплового движения в кристалле полупроводника некоторые атомы ионизируются. Освободившиеся электроны не могут быть захвачены окружающими атомами, т.к. их валентные связи насыщены. Эти свободные электроны могут перемещаться в металле, создавая электронный ток проводимости. В то же время, атом, с оболочки которого вырвался электрон, становится ионом. Этот ион нейтрализуется за счет захвата атома соседа. В результате такого хаотического перемещения возникает перемещение места с недостающим ионом, что внешне видно как перемещение положительного заряда. Это называется дырочным током проводимости. В идеальном полупроводниковом кристалле ток создается перемещением равного количества свободных электронов и дырок. Такой тип проводимости называется собственной проводимостью. При понижении температуры количество свободных электронов, пропорциональное средней энергии атомов, падает и полупроводник становится похож на диэлектрик. В полупроводник для улучшения проводимости иногда добавляются примеси, которые бывают донорные (увеличивают число электронов без увеличения числа дырок) и акцепторные (увеличивают число дырок без увеличения числа электронов). Полупроводники, где количество электронов превышает количество дырок, называются электронными полупроводниками, или полупроводниками n-типа. Полупроводники, где количество дырок превышает количество электронов, называются дырочными полупроводниками, или полупроводниками р-типа.
43. Полупроводниковый диод. Транзистор.
Полупроводниковый диод состоит из p-n перехода, т.е. из двух соединенных полупроводников разного типа проводимости. При соединении происходит диффузия электронов в р-полупроводник. Это приводит к появлению в электронном полупроводнике нескомпенсированных положительных ионов донорной примеси, а в дырочном – отрицательных ионов акцепторной примеси, захвативших продиффундировавшие электроны. Между двумя слоями возникает электрическое поле. Если на область с электронной проводимостью подать положительный заряд, а на область с дырочной – отрицательный, то запирающее поле усилится, сила тока резко понизится и почти не зависит от напряжения. Такой способ включения называется запирающим, а ток, текущий в диоде – обратным. Если на область с дырочной проводимостью подать положительный заряд, а на область с электронной – отрицательный, то запирающее поле ослабится, сила тока через диод в этом случае зависит только от сопротивления внешней цепи. Такой способ включения называется пропускным, а ток, текущий в диоде – прямым.
Транзистором, он же полупроводниковый триод, состоит из двух p-n (или n-p) переходов. Средняя часть кристалла называется база, крайние – эмиттер и коллектор. Транзисторы, в которых база обладает дырочной проводимостью, называют транзисторами p-n-p перехода. Для приведения в действие транзистора p-n-p-типа на коллектор полают напряжение отрицательной полярности относительно эмиттера. Напряжение на базе при этом может быть как положительным, так и отрицательным. Т.к. дырок больше, то основной ток через переход будет составлять диффузионный поток дырок из р-области. Если на эмиттер подать небольшое прямое напряжение, то через него потечет дырочный ток, диффундирующих из р-области в n-область (базу). Но т.к. база узкая, то дырки пролетают через нее, ускоряясь полем, в коллектор. (???, что-то тут я недопонял…). Транзистор способен распределять ток, тем самым его усиливая. Отношение изменения тока в цепи коллектора к изменению тока в цепи базы при прочих равных условиях величина постоянная, называемая интегральным коэффициентом передачи базового тока . Следовательно, изменяя ток в цепи базы, возможно получить изменения в токе цепи коллектора. (???)
44. Электрический ток в газах. Виды газовых разрядов и их применение. Понятие о плазме.
Газ под воздействием света или тепла может становиться проводником тока. Явление прохождения тока через газ при условии внешнего воздействия, называется несамостоятельным электрическим разрядом. Процесс возникновения ионов газа под воздействием температуры называется термической ионизацией. Возникновение ионов под воздействием светового излучения – фотоионизация. Газ, в котором значительная часть молекул ионизирована, называется плазмой. Температура плазмы достигает нескольких тысяч градусов. Электроны и ионы плазмы способны перемещаться под воздействием электрического поля. При увеличении напряженности поля в зависимости от давления и природы газа в нем возникает разряд без воздействия внешних ионизаторов. Это явление называется самостоятельным электрическим разрядом. Чтобы электрон при ударе об атом ионизовал его, необходимо, чтобы он обладал энергией не меньшей работы ионизации . Эту энергию электрон может приобрести под воздействием сил внешнего электрического поля в газе на пути свободного пробега, т.е. . Т.к. длина свободного пробега мала, самостоятельный разряд возможен только при высокой напряженности поля. При низком давлении газа образуется тлеющий разряд, что объясняется повышением проводимости газа при разрежении (увеличивается путь свободного пробега). Если сила тока в самостоятельном разряде очень велика, то удары электронов могут вызвать нагревание катода и анода. С поверхности катода при высокой температуре происходит эмиссия электронов, поддерживающая разряд в газе. Этот вид разряда называется дуговым.
45. Электрический ток в вакууме. Термоэлектронная эмиссия. Электронно-лучевая трубка.
В вакууме нет носителей свободного заряда, поэтому без внешнего влияния ток в вакууме отсутствует. Возникнуть он может в случае, если один из электродов нагреть до высокой температуры. Нагретый катод испускает со своей поверхности электроны. Явление испускания свободных электронов с поверхности нагретых тел называется термоэлектронной эмиссией. Простейшим прибором, использующим термоэлектронную эмиссию, является электровакуумный диод. Анод состоит из металлической пластины, катод – из тонкой свернутой спиралью проволоки. Вокруг катода при его нагревании создается электронное облако. Если подключить катод к положительному выводу батареи, а анод – к отрицательному, то поле внутри диода будет смещать электроны к катоду, и тока не будет. Если же подключить наоборот – анод к плюсу, а катод к минусу – то электрическое поле будет перемещать электроны по направлению к аноду. Этим объясняется свойство односторонней проводимости диода. Потоком движущихся от катода к аноду электронов можно управлять с помощью электромагнитного поля. Для этого диод модифицируется, и между анодом и катодом добавляется сетка. Получившийся прибор называется триодом. Если на сетку подать отрицательный потенциал, то поле между сеткой и катодом будет препятствовать движению электрона. Если подать положительный – то поле будет препятствовать движению электронов. Испускаемые катодом электроны можно с помощью электрических полей разогнать до высоких скоростей. Способность электронных пучков отклоняться под действием электромагнитных полей используется в ЭЛТ.
46. Магнитное взаимодействие токов. Магнитное поле. Сила, действующая на проводник с током в магнитном поле. Индукция магнитного поля.
Если через проводники пропускают ток одного направления, то они притягиваются, а если равного – то отталкиваются. Следовательно, между проводниками есть некое взаимодействие, которое нельзя объяснить наличием электрического поля, т.к. в целом проводники электронейтральны. Магнитное поле создается движущимися электрическими зарядами и действует только на движущиеся заряды. Магнитное поле является особым видом материи и непрерывно в пространстве. Прохождение электрического ток по проводнику сопровождается порождением магнитного поля независимо от среды. Магнитное взаимодействие проводников используется для определения величины силы тока. 1 ампер – сила тока, проходящего по двум параллельным проводникам длины, и малого поперечного сечения, расположенным на расстоянии 1 метра друг от друга, при которой магнитный поток вызывает в низ силу взаимодействия, равную на каждый метр длины. Сила, с которой магнитное поле действует на проводник с током, называется силой Ампера. Для характеристики способности магнитного поля оказывать воздействие на проводник с током существует величина, называемая магнитной индукцией. Модуль магнитной индукции равен отношению максимального значению силы Ампер, действующей на проводник с током, к силе тока в проводнике и его длине . Направление вектора индукции определяется по правилу левой руки (по руке проводник, по большому пальцу сила, в ладонь – индукция). Единице магнитной индукции является тесла, равная индукции такого магнитного потока, в котором на 1 метр проводника при силе тока в 1 ампер действует максимальная сила Ампера 1 ньютон. Линия, в любой точке которой вектор магнитной индукции направлен по касательной, называется линией магнитной индукции. Если во всех точках некоторого пространства вектор индукции имеет одинаковое значение по модулю и одинаковое направление, то поле в этой части называется однородным. В зависимости от угла наклона проводника с током относительно вектора магнитной индукции сил Ампера изменяется пропорционально синусу угла .
47. Закон Ампера. Действие магнитного поля на движущийся заряд. Сила Лоренца.
Действие магнитного поля на ток в проводнике говорит о том, что оно действует на движущиеся заряды. Сила тока I в проводнике связана с концентрацией n свободных заряженных частиц, скоростью v их упорядоченного движения и площадью S поперечного сечения проводника выражением , где q – заряд одной частицы. Подставив это выражение в формулу силы Ампера, получим . Т.к. nSl равно числу свободных частиц в проводнике длиной l, то сила, действующая со стороны поля на одну заряженную частицу, движущуюся со скоростью v под углом к вектору магнитной индукции B равна . Эту силу называют силой Лоренца. Направление силы Лоренца для положительного заряда определяется по правилу левой руки. В однородном магнитном поле частица, движущаяся перпендикулярно линиям индукции магнитного поля, под действием силы Лоренца приобретает центростремительное ускорение и движется по окружности. Радиус окружности и период обращения определяются выражениями . Независимость периода обращения от радиуса и скорости используется в ускорителе заряженных частиц – циклотроне.
48. Магнитные свойства вещества. Ферромагнетики.
Электромагнитное взаимодействие зависит от среды, в которой находятся заряды. Если около большой катушки подвесить маленькую, то она отклонится. Если в большую вставить железный сердечник, то отклонение увеличится. Это изменение показывает, что индукция изменяется при внесении сердечника. Вещества, значительно усиливающие внешнее магнитное поле, называются ферромагнетиками. Физическая величина, показывающая, во сколько раз индуктивность магнитного поля в среде отличается от индуктивности поля в вакууме, называется магнитной проницаемостью . Не все вещества усиливают магнитное поле. Парамагнетики создают слабое поле, совпадающее по направлению с внешним. Диамагнетики ослабляю своим полем внешнее поле. Ферромагнетизм объясняется магнитными свойствами электрона. Электрон является движущимся зарядом, и поэтому обладает собственным магнитным полем. В некоторых кристаллах существуют условия зля параллельной ориентации магнитных полей электронов. В результате этого внутри кристалла ферромагнетика возникают намагниченные области, называемы доменами. С увеличением внешнего магнитного поля домены упорядочивают свою ориентацию. При некотором значении индукции наступает полное упорядочение ориентации доменов и наступает магнитное насыщение. При выводе ферромагнетика из внешнего магнитного поля не все домены теряют свою ориентацию, и тело становится постоянным магнитом. Упорядоченность ориентации доменов может быть нарушена тепловыми колебаниями атомов. Температура, при котором вещество перестает быть ферромагнетиком, называется температурой Кюри.
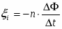
49. Электромагнитная индукция. Магнитный поток. Закон электромагнитной индукции. Правило Ленца.
В замкнутом контуре при изменении магнитного поля возникает электрический ток. Этот ток называется индукционным током. Явление возникновения тока в замкнутом контуре при изменениях магнитного поля, пронизывающего контур, называется электромагнитной индукцией. Появление тока в замкнутом контуре свидетельствует о наличии сторонних сил неэлектростатической природы или о возникновении ЭДС индукции. Количественное описание явления электромагнитной индукции дается на основе установления связи ЭДС индукции и магнитным потоком. Магнитным потоком Ф через поверхность называется физическая величина, равная произведению площади поверхности S на модуль вектора магнитной индукции B и на косинус угла между ним и нормалью к поверхности . Единица магнитного потока – вебер, равный потоку, который при равномерном убывании до нуля за 1 секунду вызывает ЭДС в 1 вольт. Направление индукционного тока зависит от того, возрастает или убывает поток, пронизывающий контур, а также от направления поля относительно контура. Общая формулировка правила Ленца: возникающий в замкнутом контуре индукционный ток имеет такое направление, что созданный им магнитный поток через площадь, ограниченную контуром, стремится скомпенсировать изменение магнитного потока, которым данный ток вызывается. Закон электромагнитной индукции: ЭДС индукции в замкнутом контуре прямо пропорциональна скорости изменения магнитного потока через поверхность, ограниченную этим контуром и равна скорости изменения этого потока, а с учетом правила Ленца. При изменении ЭДС в катушке, состоящей из n одинаковых витков, общая ЭДС в n раз больше ЭДС в одном отдельно взятом витке . Для однородного магнитного поля на основании определения магнитного потока следует, что индукция равна 1 тесла, если поток через контур в 1 квадратный метр равен 1 веберу. Возникновение электрического тока в неподвижном проводнике не объясняется магнитным взаимодействием, т.к. магнитное поле действует только на движущиеся заряды. Электрическое поле, возникающее при изменении магнитного поля, называется вихревым электрическим полем. Работа сил вихревого поля по перемещению зарядов и является ЭДС индукции. Вихревое поле не связано с зарядами и представляет собой замкнутые линии. Работа сил этого поля по замкнутому контуру может быть отлична от нуля. Явление электромагнитной индукции также возникает при покоящемся источнике магнитного потока и движущемся проводнике. В этом случае причиной возникновения ЭДС индукции, равной , является сила Лоренца.
50. Явление самоиндукции. Индуктивность. Энергия магнитного поля.
Электрический ток, проходящий по проводнику, создает вокруг него магнитное поле. Магнитный поток Ф через контур пропорционален вектору магнитной индукции В, а индукция, в свою очередь, силе тока в проводнике. Следовательно, для магнитного потока можно записать . Коэффициент пропорциональности называется индуктивностью и зависит от свойств проводника, его размеров и среды, в которой он находится. Единица индуктивности – генри, индуктивность равна 1 генри, если при силе тока в 1 ампер магнитный поток равен 1 веберу. При изменении силы тока в катушке происходит изменение магнитного потока, создаваемого этим током. Изменение магнитного потока вызывает возникновение в катушке ЭДС индукции. Явление возникновения ЭДС индукции в катушке в результате изменения силы тока в этой цепи называется самоиндукцией. В соответствии с правилом Ленца ЭДС самоиндукции препятствует нарастанию при включении и убыванию при выключении цепи. ЭДС самоиндукции, возникающая в катушке с индуктивностью L, по закону электромагнитной индукции равна. Пусть при отключении сети от источника, ток убывает по линейному закону. Тогда ЭДС самоиндукции имеет постоянное значение, равное . За время t при линейном убывании в цепи пройдет заряд . При этом работа электрического тока равна . Эта работа совершается за свет энергии Wм магнитного поля катушки.
51. Гармонические колебания. Амплитуда, период, частота и фаза колебаний.
Механическими колебаниями называют движения тел, повторяющиеся точно или приблизительно одинаково через одинаковые промежутки времени. Силы, действующие между телами внутри рассматриваемой системы тел, называют внутренними силами. Силы, действующие на тела системы со стороны других тел, называют внешними силами. Свободными колебаниями называют колебания, возникшие под воздействием внутренних сил, например – маятник на нитке. Колебания под действиями внешних сил – вынужденные колебания, например – поршень в двигателе. Общим признаков всех видов колебаний является повторяемость процесса движения через определенный интервал времени. Гармоническими называются колебания, описываемые уравнением . В частности колебания, возникающие в системе с одной возвращающей силой, пропорциональной деформации, являются гармоническими. Минимальный интервал, через который происходит повторение движения тела, называется периодом колебаний Т. Физическая величина, обратная периоду колебаний и характеризующая количество колебаний в единицу времени, называется частотой . Частота измеряется в герцах, 1 Гц = 1 с-1. Используется также понятие циклической частоты, определяющей число колебаний за 2 секунд . Модуль максимального смещения от положения равновесия называется амплитудой. Величина, стоящая под знаком косинуса – фаза колебаний, 0 – начальная фаза колебаний. Производные также гармонически изменяются, причем , а полная механическая энергия при произвольном отклонении х (угол, координата, и т.д.) равна , где А и В – константы, определяемые параметрами системы. Продифференцировав это выражение и приняв во внимание отсутствие внешних сил, возможно записать, что , откуда .
52. Математический маятник. Колебания груза на пружине. Период колебаний математического маятника и груза на пружине.
Тело небольших размеров, подвешенное на нерастяжимой нити, масса которой пренебрежимо мала по сравнению с массой тела, называется математическим маятником. Вертикальное положением является положением равновесия, при котором сила тяжести уравновешивается силой упругости. При малых отклонениях маятника от положения равновесия возникает равнодействующая сила, направленная к положению равновесия, и его колебания являются гармоническими. Период гармонических колебаний математического маятника при небольшом угле размаха равен . Чтобы вывести эту формулу запишем второй закон Ньютона для маятника . На маятник действуют сила тяжести и сила натяжения нити. Их равнодействующая при малом угле отклонения равна . Следовательно, , откуда .
При гармонических колебаниях тела, подвешенного на пружине, сила упругости равна по закону Гука . По второму закону Ньютона .
53. Превращение энергии при гармонических колебаниях. Вынужденные колебания. Резонанс.
При отклонении математического маятника от положения равновесия его потенциальная энергия увеличивается, т.к. увеличивается расстояние до Земли. При движении к положению равновесия скорость маятника возрастает, и увеличивается кинетическая энергия, за счет уменьшения запаса потенциальной. В положении равновесия кинетическая энергия – максимальная, потенциальная – минимальна. В положении максимального отклонения – наоборот. С пружинным – то же самое, но берется не потенциальная энергия в поле тяготения Земли, а потенциальная энергия пружины. Свободные колебания всегда оказываются затухающими, т.е. с убывающей амплитудой, т.к. энергия тратится на взаимодействие с окружающими телами. Потери энергии при этом равны работе внешних сил за это же время. Амплитуда зависит от частоты изменения силы. Максимальной амплитуды она достигает при частоте колебаний внешней силы, совпадающей с собственной частотой колебаний системы. Явление возрастания амплитуды вынужденных колебаний при описанных условиях называется резонансом. Так как при резонансе внешняя сила совершает за период максимальную положительную работу, то условие резонанса можно определить как условие максимальной передачи энергии системе.
54. Распространение колебаний в упругих средах. Поперечные и продольные волны. Длина волны. Связь длины волны со скоростью ее распространения. Звуковые волны. Скорость звука. Ультразвук
Возбуждение колебаний в одном месте среды вызывает вынужденные колебания соседних частиц. Процесс распространении колебаний в пространстве называется волной. Волны, в которых колебания происходят перпендикулярно направлению распространения, называются поперечными волнами. Волны, в которых колебания происходят вдоль направления распространения волны, называются продольными волнами. Продольные волны могут возникать во всех средах, поперечные – в твердых телах под действием сил упругости при деформации или сил поверхностного натяжения и сил тяжести. Скорость распространения колебаний v в пространстве называется скоростью волны. Расстояние между ближайшими друг к другу точками, колеблющимися в одинаковых фазах, называется длиной волны. Зависимость длины волны от скорости и периода выражается как , или же . При возникновении волн их частота определяется частотой колебаний источника, а скорость – средой, где они распространяются, поэтому волны одной частоты могут иметь в разных средах различную длину. Процессы сжатия и разрежения в воздуха распространяются во все стороны и называются звуковыми волнами. Звуковые волны являются продольными. Скорость звука зависит, как и скорость любых волн, от среды. В воздухе скорость звука 331 м/с, в воде – 1500 м/с, в стали – 6000 м/с. Звуковое давление – дополнительно давление в газе или жидкости, вызываемое звуковой волной. Интенсивность звука измеряется энергией, переносимой звуковыми волнами за единицу времени через единицу площади сечения, перпендикулярного направлению распространения волн, и измеряется в ваттах на квадратный метр. Интенсивность звука определяет его громкость. Высота звука определяется частотой колебаний. Ультразвуком и инфразвуком называют звуковые колебания, лежащие вне пределов слышимости с частотами 20 килогерц и 20 герц соответственно.
55.Свободные электромагнитные колебания в контуре. Превращение энергии в колебательном контуре. Собственная частота колебаний в контуре.
Электрическим колебательным контуром называется система, состоящая из конденсатора и катушки, соединенных в замкнутую цепь. При подключении катушки к конденсатору в катушке возникает ток и энергия электрического поля превращается в энергию магнитного поля. Конденсатор разряжается не мгновенно, т.к. этому препятствует ЭДС самоиндукции в катушке. Когда же конденсатор разрядится полностью, ЭДС самоиндукции будет препятствовать убыванию тока, и энергия магнитного поля будет переходить в энергию электрического. Ток, возникающий при этом, зарядит конденсатор, причем знак заряда на обкладках будет противоположным первоначальному. После чего процесс повторяется до тех пор, пока вся энергия не будет затрачена на нагревание элементов цепи. Таким образом, энергия магнитного поля в колебательном контуре переходит в энергию электрического и обратно. Для полной энергии системы возможно записать соотношения: , откуда для произвольного момента времени . Как известно, для полной цепи . Полагая, что в идеальном случае R0, окончательно получим , или же . Решением этого дифференциального уравнения является функция , где . Величину называют собственной круговой (циклической) частотой колебаний в контуре.
56. Вынужденные электрические колебания. Переменный электрический ток. Генератор переменного тока. Мощность переменного тока.
Переменный ток в электрических цепях является результатом возбуждения в них вынужденных электромагнитных колебаний. Пусть плоский виток имеет площадь S и вектор индукции B составляет с перпендикуляром к плоскости витка угол . Магнитный поток Ф через площадь витка в данном случае определяется выражением . При вращении витка с частотой угол меняется по закону ., тогда выражение для потока примет вид. Изменения магнитного потока создают ЭДС индукции, равную минус скорости изменения потока . Следовательно, изменение ЭДС индукции будет проходить по гармоническому закону . Напряжение, снимаемое с выхода генератора, пропорционально количеству витков обмотки. При изменении напряжения по гармоническому закону напряженность поля в проводнике изменяется по такому же закону. Под действием поля возникает то, частота и фаза которого совпадают с частотой и фазой колебаний напряжения . Колебания силы тока в цепи являются вынужденными, возникающими под воздействием приложенного переменного напряжения. При совпадении фаз тока и напряжения мощность переменного тока равна или . Среднее значение квадрата косинуса за период равно 0.5, поэтому . Действующим значением силы тока называется сила постоянного тока, выделяющая в проводнике такое же количество теплоты, что и переменный ток. При амплитуде Imax гармонических колебаний силы тока действующее напряжение равно . Действующее значение напряжения также в раз меньше его амплитудного значения Средняя мощность тока при совпадении фаз колебаний определяется через действующее напряжение и силу тока.
57. Активное, индуктивное и емкостное сопротивление.
Активным сопротивлением R называется физическая величина, равная отношению мощности к квадрату силы тока , что получается из выражения для мощности . При небольших частотах практически не зависит от частоты и совпадает с электрическим сопротивлением проводника.
Пусть в цепь переменного тока включена катушка. Тогда при изменении силы тока по закону в катушке возникает ЭДС самоиндукции . Т.к. электрическое сопротивление катушки равно нулю, то ЭДС равна минус напряжению на концах катушки, созданному внешним генератором (??? Каким еще генератором???) . Следовательно, изменение силы тока вызывает изменение напряжения, но со сдвигом по фазе . Произведение является амплитудой колебаний напряжение, т.е. . Отношение амплитуды колебаний напряжения на катушке к амплитуде колебаний тока называется индуктивным сопротивлением .
Пусть в цепи находится конденсатор. При его включение он четверть периода заряжается, потом столько же разряжается, потом то же самое, но со сменой полярности. При изменении напряжения на конденсаторе по гармоническому закону заряд на его обкладках равен . Ток в цепи возникает при изменении заряда: , аналогично случаю с катушкой амплитуда колебаний силы тока равна . Величина, равная отношению амплитуды к силе тока, называется емкостным сопротивлением .
58. Закон Ома для переменного тока.
Рассмотрим цепь, состоящую из последовательно подключенных резистора, катушки и конденсатора. В любой момент времени приложенное напряжение равно сумме напряжений на каждом элементе. Колебания силы тока во всех элементах происходят по закону . Колебания напряжения на резисторе совпадают по фазу с колебаниями силы тока, колебания напряжения на конденсаторе отстают по фазе на от колебаний тока, колебания напряжения на катушке опережают по фазе колебания тока на (почему отстают-то???). Поэтому условие равенства суммы напряжений общему можно записать как. Воспользовавшись векторной диаграммой, можно увидеть, что амплитуда напряжений в цепи равна , или , т.е. . Полное сопротивление цепи обозначают . Из диаграммы очевидно, что напряжение также колеблется по гармоническому закону . Начальную фазу можно найти по формуле. Мгновенная мощность в цепи переменного тока равна. Поскольку среднее значение квадрата косинуса за период равно 0.5, . Если в цепи присутствует катушка и конденсатор, то по закону Ома для переменного тока . Величина называется коэффициентом мощности.
59. Резонанс в электрической цепи.
Емкостное и индуктивное сопротивления зависят от частоты приложенного напряжения. Поэтому при постоянной амплитуде напряжения амплитуда силы тока зависит от частоты. При таком значении частоты, при котором , сумма напряжений на катушке и конденсаторе становится равной нулю, т.к. их колебания противоположны по фазе. В результате, напряжение на активном сопротивлении при резонансе оказывается равным полному напряжению, а сила тока достигает максимального значения. Выразим индуктивное и емкостное сопротивления при резонансе: , следовательно . Это выражение показывает, что при резонансе амплитуда колебаний напряжения на катушке и конденсаторе могут превосходить амплитуду колебаний приложенного напряжения.
60. Трансформатор.
Трансформатор представляет собой две катушки с разным количеством витков. При приложении к одной из катушек напряжения в ней возникает ток. Если напряжение изменяется гармоническому закону, то по такому же закону будет изменять и ток. Магнитный поток, проходящий через катушку, равен . При изменении магнитного потока в каждом витке первой катушки возникает ЭДС самоиндукции . Произведение является амплитудой ЭДС в одном витке, всего же ЭДС в первичной катушке. Вторичную катушку пронизывает тот же магнитный поток, поэтому . Т.к. магнитные потоки одинаковы, то. Активное сопротивление обмотки мало по сравнению с индуктивным сопротивлением, поэтому напряжение примерно равно ЭДС. Отсюда . Коэффициент К называется коэффициентом трансформации. Потери на нагревание проводов и сердечников малы, поэтому Ф1Ф2. Магнитный поток пропорционален силе тока в обмотке и количеству витков. Отсюда , т.е. . Т.е. трансформатор увеличивает напряжение в К раз, уменьшая во столько же раз силу тока. Мощность тока в обоих цепях при пренебрежении потерями одинакова.
61. Электромагнитные волны. Скорость их распространения. Свойства электромагнитных волн.
Любое изменение магнитного потока в контуре вызывает появление в нем индукционного тока. Его появление объясняется возникновением вихревого электрического поля при любом изменении магнитного поля. Вихревое электрическое поде обладает тем же свойством, что и обыкновенное – порождать магнитное поле. Таким образом, однажды начавшийся процесс взаимного порождения магнитного и электрического полей непрерывно продолжается. Электрическое и магнитные поля, составляющие электромагнитные волны, могут существовать и в вакууме, в отличие от других волновых процессов. Из опытов с интерференцией была установлена скорость распространения электромагнитных волн, составившая приблизительно . В общем случае скорость электромагнитной волны в произвольной среде вычисляется по формуле . Плотность энергии электрической и магнитной компоненты равны между собой: , откуда . Свойства электромагнитных волн схожи со свойствами других волновых процессов. При прохождении границы раздела двух сред частично отражаются, частично преломляются. От поверхности диэлектрика не отражаются, от металлов отражаются практически полностью. Электромагнитные волны обладают свойствами интерференции (опыт Герца), дифракции (алюминиевая пластинка), поляризации (сетка).
62. Принципы радиосвязи. Простейший радиоприемник.
Для осуществления радиосвязи необходимо обеспечить возможность излучения электромагнитных волн. Чем больше угол между пластинами конденсатора – тем более свободно ЭМ-волны распространяются в пространстве. В действительности, открытый контур состоит из катушки и длинного провода – антенны. Один конец антенны заземлен, другой – поднят над поверхностью Земли. Т.к. энергия электромагнитных волн пропорциональна четвертой степени частоты, то при колебаниях переменного тока звуковых частот ЭМ-волны практически не возникают. Поэтому используется принцип модуляции – частотной, амплитудной или фазовой. Простейший генератор модулированных колебаний представлен на рисунке. Пусть частота колебаний контура изменяется по закону. Пусть частота модулируемых звуковых колебаний также изменяется как , причем <<. Т.к. цепь содержит нелинейный элемент – транзистор – то закон Ома не выполняется, и функция напряжения выглядит как (а какого черта именно так???) (G – величина, обратная сопротивлению). Подставив в это выражение значения напряжений, где , получим . Т.к. при резонансе частоты, далекие от частоты резонанса, срезаются, то из выражения для i исчезают второе, третье и пятое слагаемые, т.е. .
Umod
+ U0 –
Рассмотрим простейший радиоприемник. Он состоит из антенны, колебательного контура с конденсатором переменной емкости, диода-детектора, резистора и телефона. Частота колебательного контура подбирается таким образом, чтобы она совпадала с частотой несущей, при этом амплитуда колебаний на конденсаторе становится максимальной. Это позволяет выделить нужную частоту из всех принимаемых. С контура модулированные колебания высокой частоты поступают на детектор. После прохождения детектора ток каждые полпериода заряжает конденсатор, а следующие полпериода, когда ток не проходит через диод, конденсатор разряжается через резистор. (я правильно понял???).
64. Аналогия между механическими и электрическими колебаниями.
Аналогии между механическими и электрическими колебаниями выглядят так:
Координата
Заряд
Скорость
Сила тока
Ускорение
Скорость изменения силы тока
Масса
Индуктивность
Жесткость
Величина, обратная
электроемкости
Сила
Напряжение
Вязкость
Сопротивление
Потенциальная энергия
деформированной пружины
Энергия электрического поля
конденсатора
Кинетическая энергия
Энергия магнитного поля
катушки
Импульс
Поток магнитной индукции
Законы колебательного движения едины для всех видов колебаний. Например, для пружинного маятника закон сохранения энергии записывается как . Продифференцировав по времени, получим . Но , а , поэтому . С математической точки зрения это уравнение идентично уравнению колебаний для колебательного контура. Поэтому его решением является , где .
65. Шкала электромагнитных излучений. Зависимость свойств электромагнитного излучения от частоты. Применение электромагнитных излучений.
Диапазон электромагнитных вол длиной от 10-6 м до м является радиоволнами. Применяются для теле- и радиосвязи. Длины от 10-6 м до 780 нм – инфракрасные волны. Видимый свет – от 780 нм до 400 нм. Ультрафиолетовое излучение – от 400 до 10 нм. Излучение в диапазоне от 10 нм до 10 пм – рентгеновское излучение. Меньшим длинам волны соответствует гамма-излучение. (Применение???). Чем меньше длина волны (следовательно, выше частота) тем меньше волны поглощаются средой.
65. Прямолинейное распространение света. Скорость света. Законы отражения и преломления света.
Прямая, указывающая направление распространения света, называется световым лучом. На границе двух сред свет может частично отразиться и распространяться в первой среде по новому направлению, а также частично пройти через границу и распространиться во второй среде. Луч падающий, отраженный и перпендикуляр к границе двух сред, восстановленный в точке падения, лежат в одной плоскости. Угол отражения равен углу падения. Этот закон совпадает с законом отражения волн любой природы и доказывается принципом Гюйгенса. При прохождении светом границы раздела двух сред отношение синуса угла падения к синусу угла преломления есть величина постоянная для двух данных сред . <рисунок>. Величина n называется показателем преломления. Показатель преломления среды относительно вакуума называется абсолютным показателем преломления этой среды . При наблюдении эффекта преломления можно заметить, что в случае перехода среды из оптически более плотной среды в менее плотную, при постепенном увеличении угла падения можно достигнуть такой его величины, что угол преломления станет равен . При этом выполняется равенство . Угол падения 0 называется предельным углом полного отражения. При углах, больших 0, происходит полное отражение.
66. Линза, построение изображения. Формула линзы.
a
f
f
d`
d
h
h`
a`
Линзой называется прозрачное тело, ограниченное двумя сферическими поверхностями. Линза, которая у краев толще, чем в середине, называется вогнутой, которая в середине толще – выпуклой. Прямая, проходящая через центры обеих сферических поверхностей линзы, называется главной оптической осью линзы. Если толщина линзы мала, то можно сказать, что главная оптическая ось пересекается с линзой в одной точке, называемой оптическим центром линзы. Прямая, проходящая через оптический центр, называется побочной оптической осью. Если на линзу направить пучок света, параллельный главной оптической оси, то у выпуклой линзы пучок соберется в точке F, называемой главным фокусом. Если такой же пучок направить на вогнутую линзу, то пучок рассеивается так, что лучи как будто бы исходят из точки F, называемой мнимым фокусом. Если направить пучок света параллельной побочной оптической оси, то он соберется на побочном фокусе, лежащем в фокальной плоскости, проходящей через главный фокус перпендикулярно главной оптической оси. Из подобия треугольников очевидно, что и . Найдем соотношение , откуда . Но и , т.е. , что после приведения подобных дает . Поделив это равенство на , получим формулу линзы . В формуле линзы расстояние от линзы до мнимого изображения считается отрицательным. Оптическая сила двояковыпуклой (да и вообще любой) линзы определяется из радиуса ее кривизны и показателя преломления стеклом и воздухом .
66. Когерентность. Интерференция света и ее применение в технике. Дифракция света. Дифракционная решетка.
В явлениях дифракции и интерференции наблюдаются волновые свойства света. Две световые частоты, разность фаз которых равна нулю, называются когерентными друг другу. При интерференции – сложении когерентных волн – возникает устойчивая во времени интерференционная картина максимумов и минимумов освещенности. При разности хода возникает интерференционный максимум, при – минимум. Явление отклонения света от прямолинейного распространения при прохождении края преграды называется дифракцией света. Это явление объясняется принципом Гюйгенса-Френеля: возмущение в любой точке является результатом интерференции вторичных волн, излучаемых каждым элементом волновой поверхности. Дифракция применяется в спектральных приборах. Элементом этих приборов является дифракционная решетка, представляющая собой прозрачную пластину с нанесенной на нее системой непрозрачных параллельных полос, расположенных на расстоянии d друг от друга. пусть на решетку падает монохроматическая волна. В результате дифракции из каждой щели свет распространяется не только в первоначальном направлении, но и во всех других. Если за решеткой поставить линзу, то в фокальной плоскости параллельные лучи от всех щелей соберутся в одну полоску. Параллельны лучи идут с разностью хода . При равенстве разности хода целому числу волн наблюдается интерференционный максимум света. Для каждой длины волны условие максимума выполняется при своем значении угла , поэтому решетка разлагает белый свет в спектр. Чем больше длина волна, тем больше угол.
67. Дисперсия света. Спектр электромагнитного излучения. Спектроскопия. Спектральный анализ. Источники излучений и виды спектров.
Узкий параллельный пучок белого света при прохождении сквозь призму разлагается на пучки света разного цвета. Цветная полоса, видимая при этом, называется сплошным спектром. Явление зависимости скорости света от длины волны (частоты) называют дисперсией света. Этот эффект объясняется тем, что белый свет состоит из ЭМ-волн разных длин волны, от которых и зависит показатель преломления. Наибольшее значение он имеет для самой короткой волны – фиолетовой, наименьшее – для красно. В вакууме скорость света независимо от его частоты одинакова. Если источником спектра является разреженный газ, то спектр имеет вид узких линий на черном фоне. Сжатые газы, жидкости и твердые тела испускают сплошной спектр, где цвета плавно переходят друг в друга. Природа возникновения спектра объясняется тем, что каждому элементу присущ свой специфический набор излучаемого спектра. Это свойство позволяет применять спектральный анализ для выявления химического состава вещества. Спектроскопом называется прибор, с помощью которого исследуется спектральный состав света, испускаемого некоторым источником. Разложение производится с помощью дифракционной решетки(лучше) или призмы, для исследования ультрафиолетовой области применяется кварцевая оптика.
68. Фотоэффект и его законы. Кванты света. Уравнение Эйнштейна для фотоэффекта. Применение фотоэффекта в технике.
Явление вырывания электронов из твердых и жидких тел под воздействием света называется внешним фотоэлектрическим эффектом, а вырванные таким образом электроны – фотоэлектронами. Опытным путем установлены законы фотоэффекта – максимальная скорость фотоэлектронов определяется частотой света и не зависит от его интенсивности, для каждого вещества существует своя красная граница фотоэффекта, т.е. такая частота min, при которой еще возможен фотоэффект, число фотоэлектронов, вырванных за секунду, прямо пропорционально интенсивности света. Также установлена безынерционность фотоэффекта – он возникает мгновенно после начала освещения при условии превышения красной границы. Объяснение фотоэффекта возможно с помощью квантовой теории, утверждающей дискретность энергии. Электромагнитная волна, по этой теории, состоит из отдельных порций – квантов(фотонов). При поглощении кванта энергии фотоэлектрон приобретает кинетическую энергию, которую можно найти из уравнения Эйнштейна для фотоэффекта , где А0 – работа выхода, параметр вещества. Количество фотоэлектронов, покидающих поверхность металла пропорциональна количеству электронов, которое, в свою очередь, зависит от освещенности (интенсивности света).
69. Опыты Резерфорда по рассеиванию альфа-частиц. Ядерная модель атома. Квантовые постулаты Бора.
Первая модель строения атома принадлежит Томсону. Он предположил, что атом это положительно заряженный шар, внутри которого расположены вкрапления отрицательно заряженных электронов. Резерфорд провел опыт по облечению быстрыми альфа-частицами металлической пластинки. При этом наблюдалось, что часть из них немного отклоняются от прямолинейного распространения, а некоторая доля – на углы более 20. Это было объяснено тем, что положительный заряд в атоме содержится не равномерно, а в некотором объеме, значительно меньшем размера атома. Эта центральную часть была названа ядром атома, где сосредоточен положительный заряд и почти вся масса. Радиус атомного ядра имеет размеры порядка 10-15 м. Также Резерфорд предложил т.н. планетарную модель атома, по которой электроны вращаются вокруг атома как планеты вокруг Солнца. Радиус самой дальней орбиты = радиусу атома. Но эта модель противоречила электродинамике, т.к. ускоренное движение (в т.ч. электронов по окружности) сопровождается излучением ЭМ-волн. Следовательно, электрон постепенно теряет свою энергию и должен упасть на ядро. В действительности ни излучения, ни падения электрона не происходит. Объяснение этому дал Н.Бор, выдвинув два постулата – атомная система может находится только в некоторых определенных состояниях, в которых не происходит излучения света, хотя движение происходит ускоренное, и при переходе из одного состояния в другое происходит или поглощение, или испускание кванта по закону , где постоянная Планка . Различные возможные стационарные состояния определяются из соотношения , где n – целое число. Для движения электрона по окружности в атоме водорода справедливо выражение , кулоновская сила взаимодействия с ядром . Отсюда . Т.е. ввиду постулата Бора о квантовании энергии, движение возможно только по стационарным круговым орбитам, радиусы которых определяются как . Все состояния, кроме одного, являются стационарными условно, и только в одном – основном, в котором электрон обладает минимальным запасом энергии – атом может находиться сколь угодно долго, а остальные состояния называются возбужденными.
70. Испускание и поглощение света атомами. Лазер.
Атомы могут самопроизвольно испускать кванты света, при этом оно проходит некогерентно (т.к. каждый атом излучает независимо от других) и называется спонтанным. Переход электрона с верхнего уровня на нижний может происходит под влиянием внешнего электромагнитного поля с частотой, равной частоте перехода. Такое излучение называют вынужденным (индуцированным). Т.е. в результате взаимодействия возбужденного атома с фотоном соответствующей частоты высока вероятность появления двух одинаковых фотонов с одинаковым направлением и частотой. Особенностью индуцированного излучения является то, что оно монохроматично и когерентно. Это свойство положено в основу действия лазеров (оптических квантовых генераторов). Для того, чтобы вещество усиливало проходящий через него свет, необходимо, чтобы более половины его электронов находилось в возбужденном состоянии. Такое состояние называется состоянием с инверсной населенностью уровней. В этом случае поглощение фотонов будет происходит реже, чем испускание. Для работы лазера на рубиновом стержне используют т.н. лампу накачки, смысл которой заключается в создании инверсной населенности. При этом если один атом перейдет из метастабильного состояния в основное, то возникнет цепная реакция испускания фотонов. При соответствующей (параболической) форме отражающего зеркала возможно создать луч в одном направлении. Полное высвечивание всех возбужденных атомов происходит за 10-10с, поэтому мощность лазера достигает миллиардов ватт. Существуют также лазеры на газовых лампах, достоинством которых является непрерывность излучения.
70. Состав ядра атома. Изотопы. Энергия связи атомных ядер. Ядерные реакции.
Электрический заряд атома ядра q равен произведению элементарного электрического заряда e на порядковый номер Z химического элемента в таблице Менделеева . Атомы, имеющие одинаковое строение, имеют одинаковую электронную оболочку и химически неразличимы. В ядерной физике применяются свои единицы измерения. 1 ферми – 1 фемтометр, . 1 атомная единица массы – 1/12 массы атома углерода . . Атомы с одинаковым зарядом ядра, но различными массами, называются изотопами. Изотопы различаются своими спектрами. Ядро атома состоит из протонов и нейтронов. Число протонов в ядре равно зарядовому числу Z, число нейтронов – массе минус число протонов A–Z=N. Положительный заряд протона численно равен заряду электрона, масса протона – 1.007 а.е.м. Нейтрон не имеет заряда и имеет массу 1.009 а.е.м. (нейтрон тяжелее протона более чем на две электронные массы). Нейтроны стабильны только в составе атомных ядер, в свободном виде они живут ~15 минут и распадаются на протон, электрон и антинейтрино. Сила гравитационного притяжения между нуклонами в ядре превышает электростатическую силу отталкивания в 1036 раз. Стабильность ядер объясняется наличием особых ядерных сил. На расстоянии 1 фм от протона ядерные силы в 35 раз превышают кулоновские, но очень быстро убывают, и при расстояния около 1.5 фм ими можно пренебречь. Ядерные силы не зависят от того, имеется ли у частицы заряд. Точные измерения масс атомных ядер показали наличие различия между массой ядра и алгебраической суммой масс составляющих его нуклонов. Для разделения атомного ядра на составляющие необходимо затратить энергию . Величину называют дефектом массы. Минимальную энергию, которую необходимо затратить на разделение ядра на составляющие его нуклоны, называется энергией связи ядра, расходуемой на совершение работы против ядерных сил притяжения. Отношение энергии связи к массовому числу называется удельной энергией связи. Ядерной реакцией называется превращение исходного атомного ядра при взаимодействии с какой-либо частицей в другое, отличное от исходного. В результате ядерной реакции могут испускаться частицы или гамма-кванты. Ядерные реакции бывают двух видов – для осуществления одних надо затратить энергию, при других происходит выделение энергии. Освобождающаяся энергия называется выходом ядерной реакции. При ядерных реакциях выполняются все законы сохранения. Закон сохранения момента импульса принимает форму закона сохранения спина.
71. Радиоактивность. Виды радиоактивных излучений и их свойства.
Ядра обладают способностью самопроизвольно распадаться. При этом устойчивыми являются только те ядра, которые обладают минимальной энергией по сравнению с теми, в которые ядро может самопроизвольно превратиться. Ядра, в которых протонов больше, чем нейтронов, нестабильны, т.к. увеличивается кулоновская сила отталкивания . Ядра, в которых больше нейтронов, тоже нестабильны, т.к. масса нейтрона больше массы протона , а увеличение массы приводит к увеличению энергии. Ядра могут освобождаться от избыточной энергии либо делением на более устойчивые части (альфа-распад и деление), либо изменением заряда (бета-распад). Альфа-распадом называется самопроизвольное деление атомного ядра на альфа частицу и ядро-продукт. Альфа-распаду подвержены все элементы тяжелее урана. Способность альфа-частицы преодолеть притяжение ядра определяется туннельным эффектом (уравнением Шредингера). При альфа-распаде не вся энергия ядра превращается в кинетическую энергию движения ядра-продукта и альфа-частицы. Часть энергии может пойти на возбуждения атома ядра-продукта. Таким образом, через некоторое время после распада ядро продукта испускает несколько гамма-квантов и приходит в нормальное состояние. Существует также еще один вид распада – спонтанное деление ядер. Самым легким элементом, способным к такому распаду, является уран. Распад происходит по закону , где Т – период полураспада, константа для данного изотопа. Бета-распад представляет собой самопроизвольное превращение атомного ядра, в результате которого его заряд увеличивается на единицу за счет испускания электрона. Но масса нейтрона превышает сумму масс протона и электрона. Этот объясняется выделением еще одной частицы – электронного антинейтрино . Не только нейтрон способен распадаться. Свободный протон стабилен, но при воздействии частиц он может распасться на нейтрон, позитрон и нейтрино. Если энергия нового ядра меньше, то происходит позитронный бета-распад . Как и альфа-распад, бета-распад также может сопровождаться гамма-излучением.
72. Методы регистрации ионизирующих излучений.
Метод фотоэмульсий – приложить образец к фотопластинке, и после проявки по толщине и длине следа частицы на ней возможно определить количество и распределение того или иного радиоактивного вещества в образце. Сцинтилляционный счетчик – прибор, в котором можно наблюдать превращение кинетической энергии быстрой частицы в энергию световой вспышки, которая, в свою очередь, инициирует фотоэффект (импульс электрического тока), который усиливается и регистрируется. Камера Вильсона – стеклянная камера с воздухом и пересыщенными парами спирта. При движении частицы через камеру она ионизирует молекулы, вокруг которых тут же начинается конденсация. Цепочка капель, образовавшихся в результате, образует трек частицы. Пузырьковая камера работает на тех же принципах, но в качестве регистратора служит жидкость, близкая к температуре кипения. Газоразрядный счетчик (счетчик Гейгера) – цилиндр, заполненный разреженным газом и натянутой нитью из проводника. Частица вызывает ионизацию газа, ионы под действием электрического поля расходятся к катоду и аноду, ионизируя по пути другие атомы. Возникает коронный разряд, импульс которого регистрируется.
73. Цепная реакция деления ядер урана.
В 30ых годах опытно было установлено, что при облучении урана нейтронами образуются ядра лантана, который не мог образоваться в результате альфа- или бета-распада. Ядро урана-238 состоит из 82 протонов и 146 нейтронов. При делении ровно пополам должен был бы образовываться празеодим , но в стабильном ядре празеодима нейтронов на 9 меньше. Поэтому при делении урана образуются другие ядра и избыток свободных нейтронов. В 1939 году было произведено первое искусственное деления ядра урана. При этом выделялось 2-3 свободных нейтрона и 200 МэВ энергии, причем около 165 МэВ выделялось в виде кинетической энергии ядер-осколков или или . При благоприятных условиях освободившиеся нейтроны могут вызвать деления других ядер урана. Коэффициент размножения нейтронов характеризует то, как будет протекать реакция. Если он более единицы. то с каждым делением количество нейтронов возрастает, уран нагревается до температуры в несколько миллионов градусов, и происходит ядерный взрыв. При коэффициенте деления меньшем единицы реакция затухает, а при равно единице – поддерживается на постоянном уровне, что используется в ядерных реакторах. Из природных изотопов урана только ядро способно к делению, а наиболее распространенный изотоп поглощает нейтрон и превращается в плутоний по схеме . Плутоний-239 по своим свойствам схож с ураном-235.
74. Ядерный реактор. Термоядерная реакция.
Ядерные реакторы бывают двух видов – на медленных и быстрых нейтронах. Большинство выделяющихся при делении нейтронов имеют энергию порядка 1-2 МэВ, и скорости около 107м/с. Такие нейтроны называются быстрыми, и одинаково эффективно поглощаются как ураном-235, так и ураном-238, а т.к. тяжелого изотопа больше, а он не делится, то цепная реакция не развивается. Нейтроны, движущиеся со скоростям около 2103м/с, называют тепловыми. Такие нейтроны активнее, чем быстрые, поглощаются ураном-235. Таким образом, для осуществления управляемой ядерной реакции, необходимо замедлить нейтроны до тепловых скоростей. Наиболее распространенными замедлителями в реакторах являются графит, обычная и тяжелая вода. Для того, чтобы коэффициент деления поддерживался на уровне единицы, используются поглотители и отражатели. Поглотителями являются стержни из кадмия и бора, захватывающие тепловые нейтроны, отражателем – бериллий.
Если в качестве горючего использовать уран, обогащенный изотопом с массой 235, то реактор может работать и без замедлителя на быстрых нейтронах. В таком реакторе большинство нейтронов поглощаются ураном-238, который в результате двух бета-распадов становится плутонием-239, также являющимся ядерным топливом и исходным материалом для ядерного оружия . Таким образом, реактор на быстрых нейтронах является не только энергетической установкой, но и размножителем горючего для реактора. Недостаток – необходимость обогащения урана легким изотопом.
Энергия в ядерных реакциях выделяется не только за счет деления тяжелых ядер, но и за счет соединения легких. Для соединения ядер необходимо преодолеть кулоновскую силу отталкивания, что возможно при температуре плазмы около 107–108 К. Примером термоядерной реакции служит синтез гелия из дейтерия и трития или . При синтезе 1 грамма гелия выделяется энергия, эквивалентная сжиганию 10 тонн дизельного топлива. Управляемая термоядерная реакция возможна при нагревании ее до соответствующей температуры путем пропускания через нее электрического тока или с помощью лазера.
75. Биологическое действие ионизирующих излучений. Защита от радиации. Применение радиоактивных изотопов.
Мерой воздействия любого вила излучения на вещество является поглощенная доза излучения. Единицей дозы является грэй, равный дозе, которой облученному веществу массой 1 кг передается энергия в 1 джоуль. Т.к. физическое воздействие любого излучения на вещество связано не столько с нагреванием, сколько с ионизацией, то введена единица экспозиционной дозы, характеризующей ионизационное действие излучения на воздух. Внесистемной единицей экспозиционной дозы является рентген, равный 2.5810-4Кл/кг. При экспозиционной дозе в 1 рентген в 1 см3 воздуха содержится 2 миллиарда пар ионов. При одинаковой поглощенной дозе действие различных видов облучения неодинаково. Чем тяжелее частица – тем сильнее ее действие (впрочем, более тяжелую и задержать легче). Различие биологического действия излучения характеризуется коэффициентом биологической эффективности, равном единице для гамма-лучей, 3 для тепловых нейтронов, 10 для нейтронов с энергией 0.5 МэВ. Доза, умноженная на коэффициент, характеризует биологическое действие дозы и называется эквивалентной дозой, измеряется в зивертах. Основным механизмом действия на организм является ионизация. Ионы вступают в химическую реакцию с клеткой и нарушают ее деятельность, что приводит к гибели или мутации клетки. Естественный фон облучения составляет в среднем 2 мЗв в год, для городов дополнительно +1 мЗв в год.
76. Абсолютность скорости света. Элементы СТО. Релятивистская динамика.
Опытным путем было установлено, что скорость света не зависит от того, в какой системе отсчета находится наблюдатель. Также невозможно разогнать ни одну элементарную частицу, например электрон, до скорости, равной скорости света. Противоречие между этим фактом и принципом относительности Галилея был разрешен А.Эйнштейном. Основу его [специальной] теории относительности составили два постулата: любые физические процессы протекают одинаково в различных инерциальных системах отсчета, скорость света в вакууме не зависит от скорости источника света и наблюдателя. Явление, описываемые теорией относительности называются релятивистскими. В теории относительности вводятся два класса частиц – те, которые движутся со скоростями, меньшими с, и с которыми можно связать систему отсчета, и те, которые движутся со скоростями равными с, с которыми нельзя связать системы отсчета. Умножив это неравенство () на , получим . Это выражение представляет из себя релятивистский закон сложения скоростей, совпадающий с Ньютоновским при v<
Собственное время, т.е. то, которое действует в системе отсчета, связанной с частицей, инвариантно, т.е. не зависит от выбора инерциальной системы отсчета. Принцип относительности модифицирует это утверждение, говоря, что в каждой инерциальной системе отсчета время течет одинаково, но единого для всех, абсолютного, времени не существует. Координатное время связано с собственным временем законом. Возведя это выражение в квадрат, получим . Величину s называют интервалом. Следствием релятивистского закона сложения скоростей является эффект Доплера, характеризующий изменение частоты колебаний в зависимости от скоростей движения источника волн и наблюдателя. При движении наблюдателя под углом к источнику, частота изменяется по закону . При движении удаления от источника спектр сдвигается к меньшим частотам, соответствующим большей длине волны, т.е. к красному цвету, при приближении – к фиолетовому. Импульс также изменяется при скоростях, близких к с:.
77. Элементарные частицы.
Изначально к элементарным частицам относили протон, нейтрон и электрон, позже – фотон. Когда открыли распад нейтрона – к числу элементарных частиц добавились мюоны и пионы. Их масса составляла от 200 до 300 электронных масс. Несмотря на то, что нейтрон распадается на проток, электрон и нейтрино, внутри него этих частиц нет, и он считается элементарной частицей. Большинство элементарных частиц нестабильны, и имеют периоды полураспада порядка 10-6–10-16с. В разработанной Дираком релятивистской теории движения электрона в атоме следовало, что у электрона может существовать двойник с противоположным зарядом. Эта частица, обнаруженная космическом излучении, называется позитроном. Впоследствии было доказано, что у всех частиц существуют свои античастицы, отличающиеся спином и (при наличии) зарядом. Также существуют истинно-нейтральные частицы, полностью совпадающие со своими античастицами (пи-нуль-мезон и эта-нуль-мезон ). Явление аннигиляции представляет собой взаимное уничтожение двух античастиц с выделением энергии, например . По закону сохранения энергии выделяемая энергия пропорциональна сумме масс проаннигилировавших частиц. В соответствии с законами сохранения, частицы никогда не возникают поодиночке. Частицы делятся на группы, по возрастанию массы – фотон, лептоны, мезоны, барионы.
Всего существует 4 вида фундаментальных (несводимых к другим) взаимодействия – гравитационное, электромагнитное, слабое и сильное. Электромагнитное взаимодействие объясняется обменом виртуальными фотонами (Из неопределенности Гейзенберга следует, что за небольшое время электрон за счет своей внутренней энергии может выпустить квант, и возместить потерю энергии захватом такого же. Испущенный квант поглощается другим, таким образом обеспечивая взаимодействие.), сильное – обменом глюонами (спин 1, масса 0, переносят "цветовой" кварковый заряд), слабое – векторными бозонами. Гравитационное взаимодействие не объясняется, но кванты гравитационного поля теоретически должны иметь массу 0, спин 2 (???).
2
Нравится материал? Поддержи автора!
Ещё документы из категории физика:
Чтобы скачать документ, порекомендуйте, пожалуйста, его своим друзьям в любой соц. сети.
После чего кнопка «СКАЧАТЬ» станет доступной!
Кнопочки находятся чуть ниже. Спасибо!
Кнопки:
Скачать документ