Удосконалення робочих характеристик повітряних конденсаторів аміаку за наявності неконденсованих газів
















ОДЕСЬКА ДЕРЖАВНА АКАДЕМІЯ ХОЛОДУ
Андрусенко Андрій Миколайович
УДК 621.565
удосконалення робочих характеристик повітряних конденсаторів аміаку за наявності неконденсованих газів
Спеціальність 05.05.14
Холодильна, вакуумна та компресорна техніка, системи кондиціювання
Автореферат
Дисертації на здобуття наукового ступеня
кандидата технічних наук
Одеса – 2008
Дисертація є рукописом.
Робота виконана на кафедрі холодильних установок Одеської державної академії холоду Міністерства освіти і науки України.
Науковий керівник: кандидат технічних наук, доцент
Мнацаканов Георгій Костянтинович, доцент кафедри холодильних установок Одеської державної академії холоду Міністерства освіти і науки України.
Офіційні опоненти: доктор технічних наук, професор
Живиця Володимир Іванович, професор кафедри електротехніки та електронних пристроїв Одеської державної академії холоду Міністерства освіти і науки України;
доктор технічних наук, професор
Радченко Микола Іванович, професор кафедри кондиціонування і рефрежерації Національного університету кораблебудування імені адмірала Макарова Міністерства освіти і науки України.
Захист дисертації відбудеться «____»___________ 2008 р., о_____ годині на засіданні спеціалізованої вченої ради Д.41.087.01 при Одеській державній академії холоду Міністерства освіти і науки України за адресою: вул. Дворянська, 1/3, Одеса, Україна, 65082.
З дисертацією можна ознайомитися в бібліотеці Одеської державної академії холоду за адресою 650082, м. Одеса, вул. Дворянська, 1/3.
Автореферат розісланий _____________ 2008г.
Вчений секретар
спеціалізованої ради Д.41.087.01.
Доктор технічних наук, професор Мілованов в.І.
ЗАГАЛЬНА характеристика роботи
Актуальність дослідження. Аміак і сьогодні залишається основним холодоагентом промислових холодильних установок і важливим продуктом хімічної технології. Тому зниження енерговитрат на вироблення холоду, підвищення екологічної і експлуатаційної безпеки аміачних холодильних установок є однією з актуальних проблем в технологіях великомасштабного виробництва, зберігання і використання аміаку, а вдосконалення роботи систем відведення теплоти конденсації – одним з напрямів її рішення.
Більше 50% перевитрати енергії при експлуатації аміачного холодильного устаткування пов'язано з додатковими енергетичними витратами в холодильному циклі, обумовленими підвищеними температурами конденсації, з них 25% енергетичних втрат викликано наявністю неконденсованих газів (НКГ). Проте експлуатація крупних промислових холодильних установок, обладнаних потужними системами відведення теплоти конденсації, практично неможлива без надходження НКГ.
Аміачні конденсатори з використанням екологічно безпечного повітря, як охолоджувальної середи, запаси якого в природі до того ж необмежені, знаходять широке застосування в холодильних установках хімічної, нафтової, харчової і інших галузей промисловості. Тому удосконалення робочих процесів крупних повітряних конденсаторних комплексів є однією з пріоритетних задач розвитку промислових аміачних холодильних установок. Дослідження роботи таких комплексів в широкому діапазоні режимних параметрів за наявності НКГ не проводилися, а існуючі системи відведення НКГ не забезпечують їх енергетично ефективну і екологічно безпечну експлуатацію з мінімальними викидами аміаку. Створення ж конденсаторних комплексів з надійними системами відведення НКГ стримується відсутністю даних по впливу НКГ на теплообмін при конденсації аміаку в горизонтальнотрубних повітряних конденсаторах і особливостями експлуатації аміачних конденсаторних комплексів в цілому, обумовлених наявністю НКГ, без чого неможлива раціональна організація їх робочих процесів. Це зумовило необхідність рішення науково-прикладної задачі удосконалення робочих процесів конденсаторних комплексів, що забезпечують інтенсивний теплообмін, надійне відведення неконденсованих газів, а також енергетично ефективну і екологічно безпечну експлуатацію крупних промислових аміачних холодильних установок.
Зв'язок роботи з науковими програмами, планами і темами. Дисертаційна робота виконана відповідно до Закону України «Про енергозбереження» від 1.07.1994 г.; Ухвал Кабінету Міністрів України №148 від 5.02.1997 р. «Про комплексну державну програму енергозбереження Україні» №583 від 14.04.1999 р. «Про Міжвідомчу комісію із забезпечення виконання Рамкової Конвенції ООН про зміну клімату»; №206 від 22 лютий 2006 р. «Про затвердження Порядку розгляду, схвалення та реалізації проектів, спрямованих на зменшення обсягу антропогенних викидів або збільшення абсорбції парникових газів згідно з Кіотським протоколом до Рамкової конвенції ООН про зміну клімату».
Метою наукового дослідження є підвищення енергетичної ефективності і екологічної безпеки експлуатації конденсаторних комплексів промислових аміачних холодильних установок, які відзначаються надходженням великої кількості неконденсованих газів, шляхом раціонального управління потоками парогазової суміші, що забезпечує інтенсивний теплообмін і ефективне видалення неконденсованих газів з мінімальними втратами аміаку.
Основні завдання наукового дослідження:
– отримати експериментальні дані щодо впливу неконденсованих газів на ефективність роботи конденсаторних комплексів промислових аміачних холодильних установок;
– встановити закономірності і особливості процесів конденсації аміаку в горизонтальнотрубних повітряних конденсаторах за наявності неконденсованих газів;
– виявити закономірності впливу великих концентрацій неконденсованих газів на режимні параметри повітряних конденсаторів аміаку;
– розробити математичну модель конденсації аміаку усередині горизонтальних труб за наявності неконденсованих газів;
– створити методичну базу проектування конденсаторних систем і апаратів з урахуванням впливу неконденсованих газів на процеси конденсації;
– розробити принципи раціональної організації робочих процесів аміачних конденсаторних комплексів і схемно-конструктивні вирішення систем ефективного видалення неконденсованих газів, які ці принципи реалізують.
Об'єктом дослідження є повітряні горизонтальнотрубні конденсаторні комплекси промислових аміачних холодильних установок.
Предметом досліджень є процеси теплообміну при конденсації аміаку із парогазових сумішей в горизонтальнотрубних повітряних конденсаторах з відведенням неконденсованих газів.
Методи дослідження: метод термодинамічного аналізу холодильних циклів аміачних установок, метод кінцевих елементів і теорія подібності при розрахунку тепловіддачі аміаку, що конденсується, експериментальні дослідження і обробка дослідних даних проводилися з використанням сучасної вимірювальної апаратури (термометрів опору типа Ni-120 R5H-RTD (Sandelius) з температурними перетворювачами (DEVAR), інтелектуального п'єзорезистивного вимірювального перетворювача тиску (Honeywell Smart Pressure Transmitter STG-94), тепловізора «Therma CAM P60» (FLIR Systems), автоматичної системи управління технологічним процесом (АСУТП) на базі мікропроцесорних контролерів Honeywell та ССС (Compressor Control Corporation) і створеного автором на його основі програмного регулювальника, яким по температурі і тиску визначали концентрацію НКГ в лінійному ресивері), вимір концентрації НКГ також здійснювався методом, заснованим на необмеженій розчинності аміаку у воді.
Наукове положення, яке виноситься до захисту:
Відхилення від ізотермічності процесу конденсації аміаку із парогазової суміші в горизонтальнотрубних повітряних конденсаторах промислових холодильних установок дозволяє прогнозувати критичні значення концентрації неконденсованого компоненту суміші, при яких відбувається зниження щільності теплового потоку, і своєчасно здійснювати необхідне управління потоками парогазової суміші, що забезпечує максимальне зниження частки неконденсованих газів в системі відведення теплоти конденсації.
Наукові результати і їх новизна:
Вперше отримані експериментальні дані характеристик процесів конденсації пари аміаку за наявності неконденсованих газів усередині горизонтальних труб крупних повітряних конденсаторів промислових холодильних установок, взаємного впливу потоків рідини і парогазової суміші, локалізації найбільших концентрацій неконденсованих газів.
Вперше виявлено зменшення щільності теплового потоку при конденсації аміаку в горизонтальних трубах унаслідок зменшення парціального тиску аміаку по довжині труб і відповідного зменшення температури конденсації, обумовлених наявністю неконденсованих газів.
Доведено, що вплив неконденсованих газів на режимні параметри конденсаторних комплексів якнайповніше враховується запропонованим автором параметром відносної насиченості парогазової суміші, який залежить від спільного тиску в конденсаторах і температури охолоджувального повітря.
Вперше розроблена математична модель процесу конденсації аміаку в горизонтальних трубах за наявності неконденсованих газів з урахуванням градієнта концентрацій компонентів парогазової суміші по довжині труб і зміни температури конденсації.
На підставі встановлених закономірностей і отриманих експериментальних даних по режимних параметрах повітряних горизонтальнотрубних конденсаторів розроблені методичні рекомендації за визначенням критичної довжини труб, при якої вплив неконденсованих газів на конденсацію холодоагенту є мінімальним, що дозволяють проектувати вдосконалені конденсаторні комплекси.
Розроблено принципи раціональної організації робочих процесів аміачних конденсаторних комплексів, видалення неконденсованих газів, які базуються на встановлених закономірностях і реалізовані в запропонованої автором системі видалення неконденсованих газів з теплообмінною поверхнею пластинчастого типу для промислових аміачних холодильних установок.
Обґрунтованість і достовірність наукових положень, висновків і рекомендацій підтверджується коректною постановкою науково-прикладного завдання, тривалістю і кількістю експериментальних досліджень, а також регулярною повторюваністю отриманих результатів, задовільним узгодженням експериментальних і теоретичних даних з допустимою похибкою, необхідною точністю проведення експериментальних досліджень, яка забезпечена застосуванням сучасного високоточного вимірювального устаткування і засобів обробки даних, задовільним узгодженням отриманих результатів з даними інших авторів, використанням методу термодинамічного аналізу холодильних циклів, а також теорії подібності при моделюванні процесів конденсації, позитивними результатами застосування розроблених рекомендацій на діючому промисловому устаткуванні.
Наукове значення мають наступні результати:
– виявлені особливості конденсації аміаку з парогазової суміші усередині горизонтальних труб, що полягають в зменшенні щільності теплового потоку по довжині труби унаслідок зменшення температури конденсації;
– розроблені принципи оцінки впливу НКГ на конденсацію аміаку із застосуванням параметра відносної насиченості парогазової суміші;
– результати експериментальних досліджень робочих процесів промислових повітряних конденсаторів аміаку, що знаходяться під впливом високих концентрацій НКГ;
– отримана математична модель процесу конденсації аміаку усередині горизонтальної труби за наявності НКГ, що враховує неізотермічність процесу і відповідне зменшення щільності теплового потоку.
Практичне значення отриманих результатів:
– методичні рекомендації по проектуванню вдосконалених повітряних конденсаторів, що враховують вплив неконденсованих газів і полягають у визначенні критичної довжини труб, при якій вплив неконденсованих газів на конденсацію холодоагенту є мінімальним;
– спосіб ефективного видалення неконденсованих газів з мінімальними втратами аміаку і конструкція віддільника, що реалізовує його, з теплообмінною поверхнею пластинчастого типу;
– рекомендації по раціональному управлінню парогазовыми потоками в холодильних установках хімічної, переробляючої і нафтогазової промисловості, які розроблені на основі встановлених закономірностей процесів конденсації аміаку за наявності неконденсованих газів.
Основні результати дослідницької роботи реалізовані у використанні отриманих результатів при проведенні оцінки впливу НКГ на енергетичні показники холодильної установки комплексу перевантаження аміаку Одеського припортового заводу. У .результаті впровадження на об'єкті розроблених методик удалося уникнути тривалих періодів роботи холодильного устаткування цеху в режимах підвищеного енергоспоживання, викликаного наявністю НКГ, а також значно скоротити втрати аміаку при видаленні НКГ.
Принципова новизна розроблених автором технічних рішень захищена патентом України на винахід.
Особистий внесок автора в отриманні наукових результатів полягає в отриманні і обробці експериментальних даних по впливу неконденсованих газів на робочі характеристики крупних повітряних конденсаторів аміаку; виявленні зменшення щільності теплового потоку при конденсації пари аміаку в горизонтальних трубах унаслідок поступового зменшення температури конденсації по довжині труб, викликаного наявністю неконденсованих газів; введенні параметра відносної насиченості парогазової суміші, запропонованого автором для обліку впливу неконденсованих газів на режимні параметри конденсаторних комплексів; розробці математичної моделі процесу конденсації аміаку за наявності неконденсованих газів в горизонтальних трубах, яка враховує градієнт концентрацій компонентів парогазової суміші по довжині труб і зміну температури конденсації; розробці принципів раціональної організації робочих процесів аміачних конденсаторних комплексів; методичних рекомендацій за визначенням критичної довжини труб при проектуванні конденсаторних комплексів, при якій вплив неконденсованих газів на конденсацію холодоагенту є мінімальним. У запатентованій конструкції віддільника неконденсованих газів на базі теплообмінника пластинчастого типу авторові належить конструкція пристрою відведення НКГ із систем відведення теплоти конденсації.
Апробація роботи. Основні результати роботи були представлені на міжнародних науково-технічних конференціях «Сучасні проблеми холодильної техніки і технології», м. Одеса, 2001р., 2002р., 2003р., 2005р., 2006р., 2007р.; IIR International conference «Ammonia Refrigeration Technology for Today and Tomorrow», April 19-21, 2007, Ohrid, Republic of Macedonia.
Публікації. По темі дисертації опубліковано 11 робіт, з них 3 – статті в наукових спеціалізованих журналах, 7 – доповіді і тези доповідей в матеріалах конференцій, 1 – патент України на винахід.
Структура і об'єм дисертації. Дисертація складається з введення, чотирьох розділів, списку використаної літератури і додатків. Робота викладена на 175 стор., включає 132 стор. основного тексту, 42 малюнки, 6 таблиць, списку літератури із 124 найменувань і 6 додатків на 43 стор.
ОСНОВНИЙ ЗМІСТ РОБОТИ
У вступі обґрунтована актуальність дисертаційної роботи, сформульовані мета і завдання дослідження, подана загальна характеристика роботи.
У першому розділі розгледіли роботи відомих авторів (Гудемчук в.А., Берман л.Д., Фукс с.Н., Ісаченко в.П., Мазюкевіч і.В., Піменова т.Ф., Гусев в.А., Франк-Каменецький д.А., Каппель а.С., Vierow K., Товажнянський л.Л., Ширяєв Ю.Н.), присвячені дослідженню процесів конденсації пари за наявності неконденсованих газів. Їх аналіз показав, що не дивлячись на те, що механізми перенесення тепла і маси в процесах конденсації пари (в більшості випадків водяної пари) за наявності НКГ в цілому вивчені, але роботи, присвячені процесам конденсації за наявності НКГ в холодильних установках, носять взагалі описовий характер. Гудемчук в.А. і Отмер у своїх дослідженнях виявили двократне зменшення коефіцієнта тепловіддачі при конденсації водяної пари на поверхні гладких труб за наявності 1 % повітря. У аналогічних умовах при конденсації аміаку за наявності 1 % повітря Мазюкевіч і.В. виявив зменшення коефіцієнта тепловіддачі лише на 30% в порівнянні з конденсацією чистої пари.
Результати дослідів Vierow K. (Purdue University) по конденсації водяної пари у присутності повітря усередині горизонтальних і вертикальних труб демонструють, що погіршення тепловіддачі в набагато меншому ступені залежить від концентрації НКГ в порівнянні з впливом швидкості руху суміші в трубі і тиску пари. Максимальне зменшення щільності теплового потоку, викликане зростанням концентрації НКГ, не перевищує 15%.
У другому підрозділі першого розділу проведений аналіз робочих режимів крупної аміачної холодильної установки комплексу перевантаження аміаку Одеського припортового заводу. В результаті аналізу встановлено, що установка у великій мірі підпадає під вплив НКГ. Визначені основні шляхи оптимізації конденсаторної системи з метою зменшення експлуатаційних енерговитрат.
У другому розділі виконаний аналіз впливу температури конденсації на продуктивність і енергоспоживання різних холодильних систем з компресорами різних типів. Проведено порівняння даних, наявних у відомих літературних джерелах, з результатами, отриманими з використанням параметра зміни питомих енерговитрат, де Е – дійсні питомі енерговитрати холодильного компресора або агрегату, величина, зворотна дійсному холодильному коефіцієнту.
Аналіз впливу температури конденсації на енерговитрати холодильних систем показав, що для вірного обліку цього впливу необхідно враховувати властивості холодоагенту, схему холодильної установки, конструктивні особливості компресорів, конденсаторів і інших апаратів. Приведені дані про зміну питомих енерговитрат Вk при зміні температури конденсації доцільно використовувати при проведенні економічних і оптимізаційних розрахунків.
З метою визначення збільшення витрат енергії, викликаного наявністю НКГ в системі відведення теплоти конденсації, проведені розрахункові дослідження робочих циклів холодильної установки, обладнаної аміачним одноступеневим агрегатом А110. Розрахунки одноступеневого холодильного циклу для різних температур конденсації при температурі кипіння t0 = –15°С проведені з урахуванням можливого перевищення тиску в конденсаторі, викликаного наявністю НКГ із заданою об'ємною часткою.
Встановлено, що присутність НКГ найсильніше сприяє збільшенню питомих енерговитрат холодильних машин при низьких температурах конденсації. Такі режими характерні для зимового періоду, коли наявність НКГ приводить до більшого зростання питомих енерговитрат холодильної установки, ніж влітку. При низькому тиску конденсації видалення НКГ може також супроводитися підвищеними втратами холодоагенту, якщо не використовувати додаткове дожимання парогазової суміші.
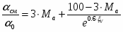
У дисертації автором отримані нові емпіричні залежності для розрахунку відносного зменшення коефіцієнта тепловіддачі при конденсації із суміші пари та повітря:
водяної пари (1)
і аміаку , (2)
де б0, бсм – коефіцієнти тепловіддачі при конденсації чистої пари та пари із суміші; Ma – молекулярна маса холодоагенту; оm, оV – масова і об'ємна долі НКГ.
Формули (1, 2) можуть бути застосовні для розрахунку коефіцієнтів тепловіддачі при конденсації водяної пари і аміаку у присутності повітря (у діапазоні концентрацій 0–6%) на горизонтальних одиночних трубах при природній конвекції в умовах, відповідних представленим в першому розділі дослідним даним Гудемчука і Мазюкевіча.
Третій розділ присвячений теоретичному і експериментальному дослідженню даного процесу. Теоретичне дослідження включало розробку математичної моделі процесу з урахуванням особливостей конденсації пари усередині труб з використанням результатів аналізу і виводів, отриманих в попередніх розділах. При розробці математичної моделі прийняті наступні допущення:
Коефіцієнт тепловіддачі з боку середи, що охолоджує, є функцією швидкості її руху і не залежить від температури поверхні труби.
У трубу подається суха насичена пара з відомою кількістю НКГ.
Шорсткість внутрішньої поверхні труби не враховується.
Щільність теплового потоку однакова в усіх точках поперечного перетину внутрішньої поверхні труби.
Теплота охолоджування парогазової суміші і конденсату при зменшенні спільної температури двофазного потоку в трубі не враховується.
Не враховується зворотний дифузійний потік неконденсованого газу, викликаний виникненням градієнта його концентрації по довжині труби.
Неконденсовані гази вільно відводяться на виході з труби.
Нехтуємо падінням тиску, викликаним гідравлічним опором при русі двофазного потоку усередині труби.
Впливом хвилевого руху на теплообмін можемо нехтувати, оскільки в умовах роботи повітряних конденсаторів для перебігу конденсату значення числа Re не перевищують 400.
На рис. 1 показана схема процесу конденсації пари за наявності НКГ усередині горизонтальної труби.
Рис. 1 Конденсація пари усередині горизонтальної трубі за наявності НКГ
У елементарний об'єм, довжиною dx, через перетин 1-1 подається парогазова суміш масовою витратою G = GV1 + Gо і об'ємною часткою НКГ о1, а також конденсат в кількості GL1. На відрізку dx в навколишнє середовище відводиться кількість теплоти dQk1, в результаті деяка кількість пари dGV1 переходить в рідкий стан і в перетині 2-2 масова витрата пари складе GV2 = GV1 – dGV1, а рідини – GL2 = GL1 + dGV1. Вміст пари в суміші зменшується, а вміст НКГ зростає.
Визначивши початкові і граничні умови, за умови, що в горизонтальну трубу подається суха насичена пара з відомими параметрами, визначаємо наступні умови сполучення: по довжині труби масова витрата НКГ Gо не змінюється, а спільна масова витрата G постійна, тому
, (3)
парціальний тиск пари зменшується за рахунок його конденсації, а спільний тиск суміші по довжині труби залишається постійним, тому
. (4)
Значення локального коефіцієнта тепловіддачі від конденсуємої пари
(5)
де дL – середня товщина плівки конденсату в даному поперечному перетині труби, а відношення дL/лL характеризує додатковий термічний опір плівки конденсату, що утворилася; бNu – коефіцієнт тепловіддачі від конденсуємої пари при нехтовно малому впливі плівки конденсату, розрахований при фактичної різниці температур по формулі Нусельта:
, (6)
А(tk) – визначається властивостями холодоагенту при температурі tk.
Щільність теплового потоку, віднесену до площі внутрішньої поверхні труби qk, і температуру внутрішньої стінки труби tст визначаємо за допомогою системи рівнянь
, (7)
У міру просування парогазової суміші усередині труби на довжину dx в навколишнє середовище відводиться кількість теплоти
, (8)
утворюється конденсат в кількості dGL, а масова частка НКГ збільшується на величину Доm. Змінення парціального тиску пари холодоагенту в цьому випадку складе
. (9)
Нове значення температури конденсації tk визначається по новому значенню тиску конденсації або з обліком (9), якщо відома функція tk(Pk):
. (10)
Математична модель, розроблена на підставі рівнянь матеріального і енергетичного балансу, дозволяє описати змінення основних параметрів парорідинної суміші при конденсації чистої пари аміаку усередині горизонтальних труб, а також за наявності НКГ різних концентрацій при різних температурних режимах.
За допомогою математичної моделі методом кінцевих елементів був проведений розрахунок характеристик процесу конденсації чистої пари аміаку усередині сталевої труби для наступних умов: загальний тиск суміші на вході в трубу P=1.55МПа; температура навколишнього повітря tос=20°С; внутрішній діаметр труби din=21мм; зовнішній діаметр труби dext=26 мм; довжина труби L=10 м; висота ребра h=15 мм; товщина ребра др= 0.3 мм; крок ребра u=2 мм.
З метою перевірки достовірності результатів, отриманих за допомогою математичної моделі, значення коефіцієнта тепловіддачі для заданих умов визначалися також за допомогою відомих формул: формули Нусельта для середнього значення коефіцієнта тепловіддачі при конденсації пари усередині горизонтальної труби
, (11)
і формули Ширяєва для конденсації аміаку в горизонтальній сталевій трубі при l/d=50 200, q=1ч36 кВт/м2 і tk=30ч50°C
, (12)
де Ga – число Галілея; К – число Кутателадзе; Pr – число Прандтля; We – число Вебера, яке враховує вплив капілярних сил, що діють на плівку конденсату.
Дані про кількість теплоти конденсації, яка може бути відведена від труби різної довжини, розраховані трьома вказаними методами, представлені у вигляді графіків на рис. 2.
Рис. 2 Кількість теплоти, відведена від пари, що конденсується
Результати розрахунку параметрів конденсації пари аміаку за наявності НКГ об'ємною часткою 2% за допомогою математичної моделі за тими ж початковими даними для різних значень швидкості суміші на вході в трубу представлені у вигляді графіків (рис. 3). Розрахунки виконані для труби довжиною 10м.
Рис. 3 Зміна температури конденсації і щільності теплового потоку по довжині труби за наявності НКГ
По довжині труби вплив зростаючої середньої товщини плівки конденсату і зменшення різниці температур tk–tст виявляється істотним і в результаті величина щільності теплового потоку зменшуватиметься унаслідок прямування до нуля температурного потенціалу, і при початковій швидкості суміші 1 м/с на відстані 9 м (рис. 3) від входу в трубу щільність теплового потоку дорівнює нулю і конденсація пари повністю припиняється.
Математична модель, дозволяє враховувати вплив зростаючого термічного опору донного конденсату, а також зменшення щільності теплового потоку і різниці температур між парою, що конденсується, і внутрішньою стінкою по довжині труби, обумовленого зменшенням концентрації аміаку в парогазової суміші і падінням його парціального тиску.
Другий підрозділ третього розділу містить дані експериментальних досліджень впливу НКГ на робочі характеристики повітряних конденсаторів крупної аміачної установки комплексу перевантаження аміаку Одеського припортового заводу. У першій частці експериментального дослідження проводилися виміри концентрації НКГ в різних частках системи конденсації при різних робочих режимах з метою визначення значень концентрації і отримання даних по розподілу НКГ. Визначення концентрації НКГ в суміші з аміаком проводилося методом, заснованим на необмеженій розчинності аміаку у воді. До місця відбору суміші під'єднувалася пластикова судина, наповнювалася парогазовою сумішшю, а потім сполучалася з водою. Частка внутрішнього об'єму судини, що доводиться на аміак, заміщається водоаміачним розчином, а частка об'єму судини, що залишилася не зайнятою рідиною, відповідає об'ємній частці НКГ, що містяться в суміші. У місцях відбору проб після першого і другого проходу аміаку по трубах повітряного конденсатора було встановлено наявність НКГ об'ємною часткою до 30%. Після другого проходу об'ємна частка НКГ була або рівною значенню в місті відбору проби після першого проходу, або відрізнялася у більшу сторону. Виміри концентрації НКГ в лінійному ресивері показали найбільш високу кількість НКГ саме в цій частці системи. В деяких випадках об'ємна частка НКГ в апараті складала 50–70%.
Результати вимірів НКГ підтверджують вивід про те, що установка підпадає під вплив великої кількості НКГ, а також дозволяють визначити місця їх найбільшого накопичення. Виміри показали, що при будь-якій температурі навколишнього повітря і за відсутності НКГ аміак поступає з конденсаторів в лінійний ресивер з температурою, відповідною до тиску в конденсаторі, тобто переохолодження рідкого аміаку не відбувається. За наявності НКГ температура рідкого аміаку на виході з конденсаторів виявляється нижчою за температуру рідкого аміаку в разі конденсації чистої пари за інших рівних умов, а при високих концентраціях НКГ вона лише на 3–5°С перевищує температуру навколишнього середовища незалежно від її рівня.
Отримані дані дозволили встановити, що значення об'ємної частки НКГ в лінійному ресивері досить коректно визначаються, використовуючи наступну залежність:
, (13)
де Ра – парціальний тиск насиченої пари холодоагенту, відповідний температурі аміаку, що поступає в лінійний ресивер, Мпа; Р – загальний тиск парогазової суміші в лінійному ресивері, Мпа; Ратм – атмосферний тиск, Мпа.
На базі АСУТП був створений програмний регулювальник, який за значеннями тиску в ресивері і температури рідкого аміаку, що поступає в ресивер, використовуючи залежність (13), визначає значення об'ємної частки НКГ в лінійному ресивері. Ця величина була призначена як регульований параметр продувальному клапану, через який здійснюється видалення НКГ.
Метою другої частки експериментального дослідження було встановлення загальних закономірностей впливу НКГ на роботу системи конденсації. Для визначення характеристик парорідинної суміші по довжині труб повітряного конденсатора за наявності НКГ в трубну дошку дослідного конденсатора були встановлені два додаткові термометри опору, які вимірювали температуру парорідинної суміші усередині труби. З їх допомогою вимірювалися температури парорідинної суміші на різних місцях апарату (t-01 – після першого проходу 12 м, t-03 – після другого проходу 24 м). Вимірювалися також тиск нагнітання, тиск в лінійному ресивері і інші технологічні параметри, що характеризують режим роботи установки. Дані вимірів фіксувалися за допомогою АСУТП з частотою 4 секунди.
На рис. 4 наведені значення об'ємної частки НКГ оV, значення відносної насиченості парогазової суміші цо у лінійному ресивері, температур в конденсаторі t-01, t-03, температури аміаку на вході в ресивер t-04 і температури навколишнього повітря tос впродовж 12 годин. Протягом першої години відбувається конденсація чистої пари аміаку. При цьому температури на різних ділянках конденсатора – t-01, t-03 не дуже відрізняються. Далі відбувається надходження НКГ в систему конденсації. Об'ємна частка НКГ в лінійному ресивері зростає до 30%, а значення температур t-03 і t-04 зменшуються на 4-5°С, що приводить до зменшення температурної різниці між аміаком, що конденсується, і зовнішнім повітрям.
Рис. 4 Параметри роботи конденсатора
При наступному надходженні НКГ їх об'ємна частка в лінійному ресивері збільшується до 42%, а температури t-03, t-04 знижуються до температури навколишнього повітря 19-21°С. Це свідчить про те, що на деякій відстані по довжині горизонтальних труб конденсаторів температурна різниця зменшується настільки, що конденсація аміаку повністю припиняється. Значна частка активної поверхні конденсаторів (близько 50%) залишається незадіяною.
Момент початку видалення НКГ зображений на рис. 4 вертикальною лінією на відмітці часу 08:30, що позначає відкриття продувального клапана. У міру видалення НКГ з системи температурна різниця стабілізується.
Перевищення температури рідкого аміаку, що надходить до лінійного ресиверу t-04, значень температур t-01, t-03 пояснюється тим, що рідкий аміак при виході з конденсатора нагрівається потоком перегрітої пари, що входить в конденсатор. Це удалося виявити за допомогою фотознімка передньої панелі конденсатора в інфрачервоному випромінюванні, використовуючи тепловизор «Therma CAM P60» (FLIR Systems, Швеція, діапазони температур для вимірів: від -40°С до + 120°С або від 0°С до + 500°С, точність вимірів ±2°С або ±2% від показань). На ньому видно, що структура потоків в конденсаторі реалізована так, що камера входу перегрітої пари аміаку в конденсатор і виходу конденсату, температури яких дуже сильно відрізняються (на 40-60 °С) є суміжними, та між ними відбувається теплообмін.
Загальний вплив температури навколишнього середовища, загального тиску і об'ємної частки НКГ на ефективність роботи конденсаторів можна оцінити, використовуючи величину відносної насиченості парогазової суміші. Вона характеризує ступінь насиченості парогазової суміші неконденсованими газами при відомій температурі і тиску суміші і дорівнює відношенню фактичної об'ємної частки НКГ в парогазової суміші оV до максимально можливої об'ємної частки НКГ оVmax, яка може утворитися в суміші при її максимальному охолоджуванні до температури середи, що охолоджує:
або , (14)
де Рk, Рk0 – парціальний тиск насиченої пари аміаку, при фактичній температурі парогазової суміші та при температурі навколишнього повітря. Величина цо набуває значень від 0 до 1.
Дані про роботу установки протягом 24 годин в умовах значного надходження НКГ представлені на рис. 5.
Рис. 5 Характеристики холодильної системи під впливом НКГ на протязі доби
В даному випадку видалення НКГ з системи не проводилося протягом тривалого часу. На рис. 5а представлений графік значень відносній насиченості парогазової суміші, її значення дорівнюють одиниці при об'ємній частці НКГ 57%. В той же час в роботу включається максимальна кількість вентиляторів, досягається пікове навантаження на конденсатори при незмінних параметрах холодильного циклу, здійснюваного установкою. Подальше надходження НКГ спричиняє підвищення тиску нагнітання компресора на 29% – з 1.7 до 2 Мпа (рис. 5г) і зменшення холодопродуктивності установки на 26%, яке відбивається в зменшенні кількості аміаку, що приймається в сховища (рис. 5в).
Максимальне значення концентрації НКГ складає 64% за об'ємом. Змінювання температури навколишнього повітря не перевищує 5°С (рис. 5б) і значного впливу на ефективність роботи конденсаторів вона не надає. На відмітці часу 17:00 відбувається видалення НКГ і робочий режим холодильної установки стабілізується.
Достовірність результатів і експериментальних досліджень перевірялася порівнянням з теоретичними даними, отриманими в результаті розрахунку параметрів конденсації пари аміаку у присутності НКГ за допомогою розробленої математичної моделі за початковими даними і умовами експериментальної частки дослідження.
Отримані за допомогою розрахунку по математичній моделі значення теплового навантаження на конденсаторну систему Qk, менше експериментальних значень: на 8-10% при роботі системи без НКГ, на 10-12% при роботі системи за наявності 56% НКГ в ресивері.
В ході експериментів були виявлені періодичні змінення тиску у конденсаторах, оборотів газотурбінного двигуна, що є приводом компресора, температури рідкого аміаку на вході в лінейний ресивер та деякі інші параметри.
Було встановлено, що коливання виникають при пониженні температури навколишнього середовища, тобто при збільшенні температурної різниці між парою аміаку, що конденсується, і зовнішнім повітрям, та за наявності НКГ. Період коливань може складати від 10 до 30 хвилин.
Однією з умов виникнення коливань в системі окрім високої різниці температур є наявність НКГ (10-20% за об'ємом). Подібні результати були отримані також і іншими дослідниками.
У четвертому розділі приведені розроблені автором номограми, що дозволяють визначити вміст холодильних агентів в суміші з повітрям залежно від тиску суміші і її температури, а також вибрати спосіб видалення НКГ, що забезпечує найменші енерговитрати і втрати холодоагенту.
Розглянуті конструкції найбільш поширених повітровідділювачів що застосовуються в холодильних установках: кожухозмійовикового типу, повітровідділювач системи Кобулашвілі, автоматизовані повітровідділювачі АВ-2, АВ-4, повітровідділювачі виробництва фірм Hansen Technologies, Gea-Grasso, York Refrigeration. Вказані недоліки системи відділення НКГ, вживаної на холодильній установці комплексу перевантаження аміаку Одеського припортового заводу. Основні з них: паралельний струм охолоджуваної і охолоджуючої середи, висока металоємність апарату в порівнянні з площею поверхні теплообміну, а також деякі недоліки конструкції віддільника НКГ. Вміст аміаку в суміші, що видаляється через даний апарат, складає 15-20%.
З урахуванням результатів аналізу систем видалення НКГ і переваг пластинчастих теплообмінних апаратів розроблений віддільник неконденсованих газів з використанням пластинчастої поверхні теплообміну як основної. Принципова новизна розробленого високоефективного повітровідділювача, що забезпечує якнайповніше видалення неконденсованих газів з систем аміачних холодильних з мінімальними втратами аміаку, захищена патентом України на винахід. Заміна віддільника НКГ, використовуваного у складі холодильної установки комплексу перевантаження аміаку, на пропонованого віддільника неконденсованих газів пластинчастого типу дозволяє добитися меншої концентрації аміаку (не більше 7% за об'ємом) в парогазової суміші, що видаляється, з системи холодильної установки. Скорочення річних втрат аміаку при видаленні НКГ унаслідок заміни існуючих віддільників новими апаратами рівної площі поверхні теплообміну складає по попередніх розрахунках близько 63 тонн.
ВИСНОВКИ
Вперше в умовах експлуатації крупних промислових аміачних холодильних установок проведено дослідження процесів конденсації аміаку в горизонтальнотрубних повітряних конденсаторах за наявності неконденсованих газів, результати якого дозволили вирішити важливе для холодильної техніки науково-прикладне завдання вдосконалення робочих процесів конденсаторних комплексів, що забезпечують інтенсивний теплообмін, надійне відведення неконденсованих газів та енергетично ефективну і екологічно безпечну експлуатацію промислових аміачних холодильних установок.
Виявлено, що наявність НКГ викликає відхилення від ізотермічності процесу конденсації пари усередині горизонтальних труб, приводить до зменшення різниці температур конденсації і повітря, що охолоджує, і щільності теплового потоку по довжині труб.
Встановлено, що ефективна довжина труб, впродовж якої конденсація протікає з достатньою інтенсивністю, визначається, перш за все, швидкістю руху парогазової суміші, а не концентрацією НКГ.
Показано, що загальний вплив температури навколишнього середовища, спільного тиску парогазової суміші і об'ємної частки НКГ на ефективність роботи конденсаторів точніше оцінюється з використанням запропонованого автором параметра відносної насиченості парогазової суміші.
Розроблена математична модель процесу конденсації аміаку усередині горизонтальних труб за наявності НКГ, яка враховує вплив зростаючого по довжині труб термічного опору донного конденсату і зменшення температури конденсації аміаку, викликаного збільшенням концентрації НКГ. Модель дозволяє прогнозувати критичні значення довжини труб повітряних конденсаторів, перевищення яких призводить до того, що частка поверхні теплообміну буде задіяною з меншими зниженнями щільності теплового потоку.
Показано, що з метою підвищення ефективності роботи повітряних горизонтальнотрубних конденсаторів з трубами внутрішнім діаметром 21-32 мм за наявності НКГ і щільності теплового потоку 10-15 кВт/м2 доцільно використовувати апарати з довжиною труб (довжиною всіх ходів аміаку в конденсаторі) не більше 7-10 м.
Встановлено, що при низьких значеннях температури навколишнього середовища і тиску конденсації (у зимовий час) наявність НКГ приводить до значнішої питомої перевитрати енергії на вироблення холоду. У цих умовах щоб уникнути підвищених втрат холодоагенту перед видаленням НКГ потрібна додаткова підготовка парогазової суміші.
Виявлено, що НКГ з концентрацією до 20% за об'ємом можуть не вчиняти істотного впливу на теплопередачу в повітряних конденсаторах аміаку при високій різниці температур конденсації і повітря tk–tос= (30ч40 °С), що охолоджує, оскільки вони накопичуються в лінійному ресивері над рівнем рідини (оскільки азот і повітря важчі за аміак) і не поступають назад в конденсатор в зону активної поверхні теплообміну.
Фотографування інфрачервоного випромінювання теплоенергетичних об'єктів дало можливість виявити характер температурного поля теплообмінної поверхні конденсаторів, визначити зони зняття перегріву пари та його конденсації, а також виявити конструктивні недоліки конденсатора, що полягають в наявності шкідливого теплообміну між вхідною перегрітою парою і конденсатом, що виходить.
Моніторинг параметрів роботи холодильної установки дозволяє виявити, що при високій різниці температур конденсації і навколишнього повітря (більше 25°С), наявність НКГ в кількості 10-20% за об'ємом в системі відведення теплоти конденсації викликає виникнення коливань параметрів системи конденсації і всієї холодильної установки, що ускладнює регулювання роботи установки і приводить до підвищеного зносу устаткування.
Був розроблений віддільник неконденсованих газів з пластинчастою поверхнею теплообміну, що забезпечує їх видалення з втратами аміаку не більше 7% від об’єму та не потребує додаткового енергоспоживання.
Впровадження системи контролю і видалення НКГ на холодильній установці комплексу перевантаження аміаку Одеського припортового заводу дозволило скоротити втрати аміаку і тривалість роботи установки в режимі підвищеного енергоспоживання.
Основні результати дисертації опубліковані в наукових спеціалізованих виданнях:
Мнацаканов Г.К., Андрусенко А.Н. Особенности конденсации холодильных агентов из парогазовой смеси // Холодильная техника и технология. – 2000. – Вып.68, – с. 28-31.
Мнацаканов Г.К., Андрусенко А.Н. О влиянии температуры конденсации на энергозатраты холодильных машин // Холодильная техника и технология. – 2001. – № 1. – с. 5-8.
Андрусенко А.Н., Мнацаканов Г.К. Исследование и моделирование процессов конденсации аммиака в присутствии неконденсируемых примесей внутри горизонтальных труб // Холодильная техника и технология. – 2006. – № 6. – с. 19-25.
Пат. 79630 Україна, МПК F25B 43/04. Пристрій для видалення газів, що не конденсуються: Пат. 79630 Україна, МПК F25B 43/04 Андрусенко А.М. (Україна), Мнацаканов Г.К. (Україна). – № а200502539; Заявл. 21.03.05; Опубл. 10.07.07, Бюл. № 10. – 4 с.
Основні публікації, в яких додатково викладений зміст дисертації:
Андрусенко А.Н., Мнацаканов Г.К. Влияние неконденсирующихся примесей на теплообмен при конденсации холодильных агентов из парогазовой смеси // Сучасні проблеми холодильної техніки і технології: Збірник наукових праць Міжнародної науково-технічної конференції (Додаток до журналу «Холодильна техніка і технологія»). Одеса, 3-5 жовт. 2001 р. с. 19-21.
Андрусенко А.Н., Мнацаканов Г.К. Источники неконденсируемых примесей и методы их контроля на предприятиях производства и перегрузки аммиака: Сборник научных трудов II Международной научно-технической конференции «Современные проблемы холодильной техники и технологии», Одесса, 17-19 сент. 2002 г. с. 14-15.
Андрусенко А.Н., Мнацаканов Г.К. Особенности теплообмена при конденсации хладагентов в присутствии неконденсатов: Збірник наукових праць III Міжнародної науково-технічної конференції «Сучасні проблеми холодильної техніки і технології» (Додаток до журналу «Холодильна техніка і технологія»), Одеса, 17-19 вер. 2003 р. с. 13-15.
Андрусенко А.Н., Мнацаканов Г.К. Особенности работы воздушных горизонтальных конденсаторов Одесского припортового завода: Сборник научных трудов IV Международной научно-технической конференции «Современные проблемы холодильной техники и технологии», Одесса, 21-23 сент. 2005 г. с. 11-11.
Андрусенко А.М., Мнацаканов Г.К. Зниження енерговитрат великої аміачної установки // Холод М+Т. – 2006. – № 5. – с. 46-49.
Andrusenko A., Mnatsakanov G. Experimental investigation of noncondensable gases influence on the condensers operation of high-capacity refrigerating system at the ammonia terminal // Ammonia Refrigeration Technology for Today and Tomorrow: International Institute of Refrigeration International Conference; Ohrid, Republic of Macedonia, April 19-21, 2007; Commissions B2 with B1, D1. [Электронный ресурс]: Refrigeration Science and Technology Proceedings, No. 2007-2. – 1 электрон. опт. Диск (CD-ROM): цв; 12 см. – Систем. вимоги: Pentium-266; 32 Mb RAM; CD-ROM Windows 98/2000/NT/XP. –Заголовок з титул. экрану.
Андрусенко А.Н., Мнацаканов Г.К. Оценка влияния неконденсирующихся газов на работу конденсаторов с помощью относительной насыщенности парогазовой смеси: Сборник научных трудов VI Международной научно-технической конференции «Современные проблемы холодильной техники и технологии». Одесса, 19–21 сент. – 2007 г. с. 21.
Особистий вклад автора в роботи, опубліковані в співавторстві: [3, 9] – отримання і аналіз експериментальних даних по впливу НКГ на робочі характеристики крупних повітряних конденсаторів; [7, 8] – виявлення зменшення щільності теплового потоку при конденсації аміаку в горизонтальних трубах унаслідок зменшення температури конденсації аміаку; [10, 11] – введення параметра відносної насиченості парогазової суміші, що враховує вплив НКГ на режимні параметри конденсаторних комплексів; [3, 10] – розробка математичної моделі процесу конденсації аміаку із парогазової суміші в горизонтальних трубах, що враховує градієнт концентрацій компонентів парогазової суміші по довжині труб і зменшення температури конденсації аміаку; [2, 6, 8, 9] – принципи раціональної організації робочих процесів аміачних конденсаторних комплексів, [3] – методичні рекомендації за визначенням критичної довжини труб при проектуванні конденсаторних комплексів, при якій вплив НКГ на конденсацію аміаку є мінімальним, [1, 4, 5] – аналіз способів відділення і конструктивне вирішення пристрою видалення НКГ із систем відведення теплоти конденсації.
АННОТАЦИЯ
Андрусенко А.Н. Совершенствование рабочих характеристик воздушных конденсаторов аммиака при наличии неконденсируемых газов. – Рукопись. Диссертация на соискание ученой степени кандидата технических наук по специальности 05.05.14. – Холодильная, вакуумная и компрессорная техника, системы кондиционирования – Одесская государственная академия холода, Одесса, 2008.
Диссертационная работа посвящена модернизации и повышению эффективности систем отвода теплоты конденсации промышленных аммиачных холодильных установок, подверженных влиянию большого количества неконденсируемых газов (НКГ). Рассмотрены данные современных исследований в области влияния НКГ на процесс конденсации. Определены характерные особенности конденсации пара внутри горизонтальных труб при наличии НКГ. Основные проблемы, связанные с эксплуатацией мощных конденсаторных комплексов, в том числе вызванных наличием НКГ состоят в сложности регулирования параметров работы конденсаторов, инерционности системы в целом и отсутствие четких рекомендаций по режимам удаления НКГ, и особенностям проектирования конденсаторов, работающих при наличии НКГ.
Предложена математическая модель процесса конденсации пара холодильного агента внутри горизонтальной трубы с учетом влияния НКГ, которая позволяет описать изменение основных параметров двухфазной смеси при конденсации чистого пара аммиака внутри горизонтальных труб, а также при наличии НКГ разных концентраций при разных температурных режимах. Установлено, что ухудшение теплопередающих способностей горизонтальнотрубных конденсаторов при наличии НКГ происходит ввиду неизотермичности процесса и постепенного понижения температуры конденсации и плотности теплового потока. Сопоставление результатов расчета по модели и известным формулам, а также с результатами экспериментов, показало хорошее согласование. Погрешность не превышает 15%.
Проведен ряд экспериментальных исследований рабочих характеристик воздушных конденсаторов на действующей крупной промышленной аммиачной холодильной установке, подверженной влиянию НКГ высоких концентраций. С помощью мониторинга рабочих характеристик системы конденсации установлено понижение температуры конденсации пара аммиака при наличии НКГ по мере продвижения смеси по трубам. Удалось обнаружить возникновение колебаний рабочих характеристик холодильной установки при наличии НКГ, вызванных увеличением разности температур конденсации и наружного воздуха. В результате диагностики инфракрасного излучения элементов конденсаторов удалось обнаружить конструктивные и функциональные особенности аппаратов.
Определены основные пути оптимизации рабочих параметров конденсаторных систем и разработаны рекомендаций по усовершенствованию конструкции воздушных конденсаторов с целью сокращения эксплуатационных энергозатрат. Внедрен алгоритм контроля и своевременного удаления НКГ из системы крупной промышленной холодильной установки.
Установлено, что совместное влияние температуры окружающей среды, общего давления и объемной доли НКГ на эффективность работы конденсаторов можно оценить, используя вновь введенное понятие относительной насыщенности парогазовой смеси. Эта величина характеризует степень насыщенности парогазовой смеси неконденсируемыми газами при известной температуре и давлении смеси.
Выполнен анализ современных систем удаления НКГ, применяемых в холодильной технике. Разработана конструкция нового отделителя неконденсируемых газов с использованием пластинчатой поверхности теплообмена в качестве основной. На данное изобретение получен патент Украины.
Ключевые слова: воздушный конденсатор, неконденсируемые газы, аммиак, горизонтальные трубы, конденсация, рабочие характеристики, относительная насыщенность, сокращение энергозатрат.
Анотація
Андрусенко А.М. Удосконалення робочих характеристик повітряних конденсаторів аміаку за наявності неконденсованих газів. – Рукопис. Дисертація на здобуття наукового ступеня кандидата технічних наук за фахом 05.05.14. – Холодильна, вакуумна і компресорна техніка, системи кондиціювання – Одеська державна академія холоду, Одеса, 2008.
Дисертаційна робота присвячена підвищенню ефективності систем відведення теплоти конденсації промислових аміачних холодильних установок, які підпадають під вплив великої кількості неконденсованих газів. Розглянуті дані сучасних досліджень в області впливу неконденсованих газів на процес конденсації. Визначені особливості конденсації пари усередині горизонтальних труб за наявності неконденсованих газів. Запропонована математична модель процесу конденсації пари аміаку усередині горизонтальної труби з урахуванням впливу НКГ. Проведено ряд експериментальних досліджень робочих характеристик повітряних конденсаторів на промисловій аміачній холодильній установці за наявності високих концентрацій НКГ. Визначені основні шляхи оптимізації робочих параметрів промислових конденсаторних систем, приведені рекомендації по удосконаленню конструкції повітряних конденсаторів з метою зменшення енерговитрат. Упроваджений алгоритм контролю і своєчасного видалення НКГ з системи промислової холодильної установки. Введено поняття відносної насиченості парогазової суміші, що дозволяє точніше оцінити впливи НКГ на роботу конденсаторів за різних зовнішніх умов. Розроблена конструкція нового віддільника неконденсованих газів з використанням пластинчастої поверхні теплообміну як основної. На даний винахід отриманий патент України.
Ключові слова: повітряний конденсатор, неконденсовані гази, аміак, горизонтальні труби, конденсація, робочі характеристики, відносна насиченість, зменшення енерговитрат.
SUMMARY
Andrusenko A.N. Improvement of operational characteristics of air-cooled ammonia condensers at presence of noncondensable gases. – The Manuscript. The dissertation on competition of a scientific degree of Cand. Tech. Sci. by specialty 05.05.14. – Refrigeration, vacuum and compression techniques, air conditioning systems. – Odessa State Academy of Refrigeration, Odessa, 2008.
The dissertation concerns the efficiency improvement of condensing systems of high-capacity ammonia refrigerating installations influenced by high quantities of noncondensable gases. The results of up-to-date investigations of the influence of noncondensable gases on vapor condensation are examined. The influence of the characteristic properties of noncondensable gases on the ammonia vapor condensation inside horizontal tubes are specified. The mathematical model of refrigerant vapor condensation in the presence of noncondensable gases inside horizontal tubes was developed. A series of experimental investigations on the operation of high-capacity air-cooled ammonia condensers in the presence of high concentration of noncondensable gases are carried out. The basic ways for condensing systems optimization and recommendations for condensers construction improvement are given. The algorithm of noncondensable gases concentration control and purging was implemented. It resulted in avoiding the installation operating with excessive energy consumption. It was suggested to evaluate the noncondensable gases influence on heat transfer performance of condensers using the value of relative saturation of vapor-gas mixture. The new design of plate-type noncondensable gases separator was developed and patented in Ukraine.
Key words: air-cooled condenser, noncondensable gases, ammonia, horizontal tubes, condensation, operating characteristics, relative saturation, reducing of energy consumption.
Нравится материал? Поддержи автора!
Ещё документы из категории физика:
Чтобы скачать документ, порекомендуйте, пожалуйста, его своим друзьям в любой соц. сети.
После чего кнопка «СКАЧАТЬ» станет доступной!
Кнопочки находятся чуть ниже. Спасибо!
Кнопки:
Скачать документ