Оценки спектральных радиусов
























































































































































































































































































































































































































































































































































































































































































































































































































































































ДИПЛОМНАЯ РАБОТА
ОЦЕНКИ СПЕКТРАЛЬНЫХ РАДИУСОВ
Содержание
ВВЕДЕНИЕ
Глава 1. Интегральные операторы
§1. Операторы.
§2. Конусы
§3. Интегральные операторы
§4. Интегральные уравнения с вырожденным ядром и уравнения типа свертки
Глава 2. Оценки спектральных радиусов интегральных операторов.
§1. Сравнение спектральных радиусов двух положительных операторов
§2. Оценки спектрального радиуса интегрального оператора
§3. Новые оценки спектрального радиуса линейного положительного оператора
ГЛАВА 3. Интегральные операторы в пространствах Лебега и Лоренца
§1. Пространства Лебега и Лоренца
§2. Условия ограниченности интегрального оператора в пространствах Лоренца
§3. Обобщенное неравенство Юнга – О’Нейла
Заключение
Литература.
Введение
Функциональный анализ – мощное средство для решения математический задач, возникающих в реальных ситуациях, он имеет множество приложений в различных областях математики, его методы проникают в смежные технические дисциплины.
Многие задачи математической физики, теории упругости, гидродинамики сводятся к отысканию решения дифференциального линейного уравнения, что, в свою очередь, приводит к задаче отыскания решения уравнения Аx = y с линейным оператором А.
Основными вопросами, на которые призвана отвечать теория операторов, являются, во-первых, вопросы качественного характера и, во-вторых, вопросы, касающиеся приближенных методов решения операторных уравнений. В настоящей работе исследуются лишь некоторые вопросы. Например, такие вопросы, как: оценки позитивного спектра линейного неразложимого оператора, сравнение спектральных радиусов двух положительных операторов, и др.
Актуальность работы. Возможность существования непрерывного спектра является характерной чертой линейных операторов общего вида в бесконечномерном пространстве. Конечномерные линейные преобразования и интегральные операторы без особенностей не имеют непрерывного спектра.
Спектральный анализ операторов, в первую очередь самосопряженных, находит многочисленные применения в теории колебаний, теории стационарных случайных процессов, квантовой механике, дифференциальных и интегральных уравнениях, и др. областях математики и математической физики.
Цели дипломной работы. На базе ранее изученных дисциплин обобщить знания по математическим дисциплинам, обобщить теоретические знания и практические навыки; рассмотреть основы теории линейных операторов и методы решения операторных уравнений, рассмотреть оценки спектральных радиусов интегральных операторов, получить оценки позитивного спектра линейного неразложимого оператора.
Изучив имеющийся материал по данной теме, я поставила перед собой следующие задачи:
раскрыть некоторые основы теории линейных операторов, необходимые для освоения методов решения операторных уравнений;
изучить понятие спектра для интегрального оператора, обобщить известное понятие неразложимости на более широкий класс операторов (-неразложимые, неразложимые нелинейные операторы).
Оценить спектральный радиус интегрального оператора для операторных уравнений с операторами различной природы.
Новизна работы. В работе приведены оценки спектральных радиусов линейных положительных полукоммутирующих операторов.
Дипломная работа состоит из введения, трех глав и списка использованной литературы. В работе для целостности изложения приведен ряд известных результатов, которые сопровождаются ссылками.
В первой главе содержатся необходимые теоретические знания, касающиеся теории операторов, различных видов операторов, рассмотрены их основные свойства. Параграф второй содержит понятие конуса, основные виды и свойства конусов, т.к. в пространствах с конусами очень удобно рассматривать интегральные операторы. В этом параграфе понятие конуса рассматривается также с экономической точки зрения.
Параграф 4 содержит сведения, касающиеся интегральных уравнений с вырожденным ядром и уравнений типа свертки.
Вторая глава посвящена рассмотрению вопросов, связанных с исследованием вычисления спектрального радиуса интегрального оператора. Рассматривается понятие спектрального радиуса линейного оператора, в терминах этого понятия приводятся важнейшие теоремы существования неотрицательного решения соответствующих моделей математической экономики (модель Леонтьева, модель Леонтьева-Форда, обобщенная модель Леонтьева-Форда). Исследуются вопросы, связанные со сравнением спектральных радиусов двух положительных операторов. Рассматриваются оценки спектральных радиусов двух интегральных операторов различной природы, приведены примеры, иллюстрирующие эти результаты. Также приведены новые оценки спектрального радиуса линейного положительного оператора.
В главе III изучается влияние взаимного расположения особенностей ядра интегрального оператора на его норму, спектральный радиус. Рассмотрены верхние и нижние оценки интегральных операторов. На основе этих неравенств вводится отношение частичного порядка, позволяющее в некоторых случаях сравнивать нормы интегральных операторов. Рассмотрены оценки нормы интегрального оператора в пространствах Лебега и Лоренца, автором сформулировано замечание к теореме для трехпараметрического пространства Лоренца.
Глава I
Интегральные операторы
§ 1. Операторы
При рассмотрении отображений пространств в функциональном анализе используют понятия операторов и функционалов [9], [14], [30].
Под операторами понимают отображения, ставящие в соответствие функции другую функцию.
Под функционалами понимают функции, отображающие элементы линейного пространства в его пространство скаляров.
Значительное число задач, встречающихся в математике и ее приложениях, могут рассматриваться как конкретные примеры операторных уравнений.
Пусть X и Y – линейные пространства, оба вещественные или оба комплексные.
Определение. Оператор А: X → Y с областью определения D(А) называется линейным, если
А(λ1x1 + λ2x2) = λ1А(x1) + λ2А(x2)
для любых x1,x2 D и любых скаляров λ1 и λ2.
Пусть X и Y – нормированные пространства и А: X → Y, где А – линейный оператор, всюду заданный в X (т.е. D(А) = X).
Определение. Оператор А называется непрерывным в точке x0 X, если Аx → Аx0 при x → x0. Но судить о непрерывности линейного оператора в различных точках x0 X можно по непрерывности его в нуле пространства X.
Введем в рассмотрение банахово пространство [3]. Банаховым пространством называется полное нормированное векторное пространство.
Теорема 1. Пусть линейный оператор А всюду задан в банаховом пространстве E, и со значениями в банаховом пространстве Y непрерывен в точке 0 E; тогда А непрерывен в любой точке x0 E.
Доказательство.
Рассмотрим равенство Аx – Аx0 = А (x – x0). Если x → x0, то z = x – x0 → 0. По непрерывности в нуле Аz → 0, но тогда Аx – Аx0 → 0, что и требовалось доказать.
Определение. Линейный оператор А называется непрерывным, если он непрерывен в точке x=0.
Пусть S1(0) – замкнутый шар ||x|| ≤ 1 в банаховом пространстве E.
Будем называть линейный оператор А: X→Y ограниченным, если он ограничен на единичным шаре S1(0), т.е. если ограничено множество
{ ||Аx||, ||x|| ≤ 1}.
Согласно определению, если А ограничен, то существует постоянная с > 0 такая, что для любых x, ||x|| ≤ 1 справедливо неравенство
||Аx|| ≤ с (1)
Теорема 2. Если - линейный оператор, то следующие утверждения эквивалентны:
1) существует точка , в которой оператор A непрерывен;
2) оператор A непрерывен;
3) оператор A ограничен;
4) величина конечна.
Теорема 3. А ограничен тогда и только тогда, когда справедлива оценка
||Аx|| ≤ с ||x|| (2)
для любых x E, где с – постоянная.
Теорема 4. Пусть А: X → Y, А – линейный оператор, X, Y – банаховы пространства. Для того чтобы А был непрерывным, необходимо и достаточно, чтобы он был ограниченным.
§ 2. Конусы
Из теоремы 2, предыдущего параграфа следует, что величина тесно связана с непрерывностью оператора A [4].
Лемма. Для любого линейного оператора A справедливы равенства
.
Доказательство.
Введем обозначения
и
и последовательно докажем цепочку неравенств . Каждая из величин и может равняться не только неотрицательному вещественному числу, но и плюс бесконечности.
Неравенство очевидно, поскольку в обеих частях неравенства супремум берется от одной и той же величины ,но при вычислении множество допустимых значений x шире.
Чтобы убедиться в справедливости неравенства , заметим, что для любого мы имеем
,
а значит, и супремум выражения , вычисленный по всем ,не превосходит β, т.е. справедливо неравенство , что и требовалось доказать.
Чтобы проверить неравенство , заметим, что для любого и такого, что , имеем .
Если же x=0, то . Поэтому , что и требовалось доказать.
Определение. Общее значение выражений
(3)
называется нормой оператора A и обозначается через .Такое название объясняется тем, что, как показывает cледующая теорема, величина действительно обладает свойствами нормы: она неотрицательна, положительно однородна и для нее справедливо неравенство треугольника.
Будем рассматривать банахово пространство , полуупорядоченное конусом , и оператор произвольной природы, действующий в [29].
Определение. Выпуклое множество называется конусом, если вместе с каждой своей точкой оно содержит луч, проходящий через , и если из вытекает, что (лучом, проходящим через точку , называется совокупность точек ).
Определение. Конус называется телесным, если он содержит внутренние элементы. Если любой элемент пространства может быть представлен в виде , то конус называется воспроизводящим. Конус называется нормальным, если из неравенства следует, что , где – константа нормальности, не зависящая ни от , ни от .
Определение. Множество функционалов сопряженного пространства , принимающих неотрицательные значения на элементах конуса , называется сопряженной полугруппой. Для того чтобы полугруппа была конусом, приходится налагать дополнительные условия на конус .
Будем говорить, что является квазивнутренним элементом, и обозначать , если для каждого ненулевого функционала выполняется неравенство . Положительный линейный оператор назовем неразложимым, если для любого из неравенства , следует, что .
В соответствии с [44], условимся писать, что , если .
В случае конечномерных пространств с конусом, составленном из векторов с неотрицательными компонентами, линейные положительные операторы определяются матрицами с неотрицательными элементами.
Полугруппа (конус) К называется нормальной (нормальным), если существует такое постоянное число N, что для всех x, y E, удовлетворяющих соотношению
x y,
имеет место неравенство
x Ny.
В этом случае говорят, что норма в Е полумонотонна.
Конусы неотрицательных функций в пространствах С, Zp нормальны. Нормальны также все конусы в конечномерных пространствах. Не каждый конус обладает свойствами нормальности. Например, конус неотрицательных функций в пространстве с нормой
не обладает свойством нормальности.
Пространство, в котором каждая ограниченная монотонная последовательность имеет предел, называется правильно полуупорядоченным. Конус, который порождает правильную полуупорядоченность будем назвать правильным.
Определение. Конус К назовем вполне правильным, если каждая монотонная ограниченная по норме последовательность сходится (по норме) к некоторому пределу.
Известно (см. [28], [30]), что каждый вполне правильный конус является правильным, каждый правильный конус является нормальным, конусы в конечномерных пространствах Rn являются вполне правильными. В конечномерном пространстве каждый воспроизводящий конус обладает свойством телесности.
Приведем еще один крайне важный класс конусов. Прежде отметим следующее определение.
Определение. Пусть x, y – какие-либо два элемента полуупорядоченного пространства Е. Точной верхней гранью элементов x, y назовем такой элемент u = sup{x, y}, который обладает свойствами:
10. u x, u y;
20. для всякого элемента w:
w x, w y
следует, что
u w,
т.е. sup{x, y} является верхней гранью элементов х и у одновременно, причем это -наименьшая из всех верхних граней этих элементов.
Определение. Если в полуупорядоченном пространстве Е для каждой пары элементов х, у существует sup{x, y}, то конус К называется миниэдральным (в дословном переводе этот термин означает, что конус имеет минимально возможное число граней).
Примерами миниэдральных конусов являются конусы векторов с неотрицательными координатами в пространствах Rn, конусы неотрицательных функций в пространствах С[a,b], , конусы неотрицательных последовательностей в пространствах lp (р 1), т – ограниченных числовых последовательностей и некоторые другие.
Для миниэдральных конусов, наряду с понятием точной верхней грани элементов х, у, вводится понятие точной нижней грани элементов х, у, т.е. inf{x, y}. Приведем соответствующее определение.
Определение. Для данных элементов х, у из Е, Е – полуупорядоченное пространство, точной нижней гранью назовем такой элемент v = inf{x, y}, который обладает свойствами:
10. v x, v y;
20. для всякого элемента w1:
w1 x, w1 y
выполняется неравенство
v w1,
т.е. w – это наибольшая из всех нижних граней элементов х, у.
Развитием понятия миниэдральности конуса является понятие сильной миниэдральности конуса К.
Определение. Конус К называется сильно миниэдральным, если для каждого ограниченного сверху по конусу К множества элементов М существует точная верхняя грань.
Ясно, что каждый миниэдральный конус является сильно миниэдральным. Обратное не верно, т.е. конус может быть миниэдральным, не будучи сильно миниэдральным. Миниэдральные конусы обладают рядом замечательных свойств, теория полуупорядоченных пространств с сильно миниэдральными конусами выделена в специальный раздел функционального анализа, который называется теорией структур. Основы теории структур были заложены в работах известного математика Биркгофа [5], [15].
Определение. Критерием качества К мы назовем любой критерий сравнения векторных величин x, y, который удовлетворяет следующим свойствам (аксиомам):
. Если , то при всяком и при ; при этом, если и , то для элемента (-х) соотношение нарушается;
. Если и , то .
Критерий качества К будем называть отношением предпочтения. Множество всех элементов х, являющихся предпочтительнее нулевого элемента , будем называть конусом.
Отметим, что из перечисленных свойств , критерия качества вытекают следующие важные свойства конуса К:
если и , то при и при < 0;
из uKи v K следует, что (u + v) K;
если х К и (-х) К, то х = .
При наличии в конуса К у нас появляется возможность устанавливать отношение предпочтения > для некоторых (не для всех) пар х, у элементов, если условиться считать, что х у в том и только в том случае, если (х - у) К. Отметим при этом, что все приведенные выше свойства , соблюдаются.
Пример конуса в множестве n-мерных векторов - это множество векторов с неотрицательными координатами, этот конус принято обозначать через Хотя понятно это не единственный пример конуса в . Так в случае n = 3 это множество векторов первого октанта, хотя в можно рассматривать и другие примеры конусов, например «круглый» конус (см. рис.1). Каждый конус можно описать аналитически с помощью системы функций и неравенств. Например, конус можно описать аналитически с помощью системы линейных неравенств:
L
K
Рис.1
«Круглый» конус, изображенный на рис.1 - это множество векторов, лежащих внутри или на границе конической поверхности с вершиной в начале координат и направляющей - линией L, не проходящей через начало координат. Выбирая разные направляющие, мы будем получать разные примеры конусов. Так, если выбрать в качестве направляющей контур треугольника (рис.2), мы получим трехгранный конус. Аналогично можно рассмотреть четырехгранные, пятигранные и т.д. конусы. «Круглый» конус, изображенный на рис.1, можно рассматривать в этой связи как конус, имеющий бесконечное число граней (каждое из ребер является одномерной гранью).
Особое место среди конусов занимают конусы с минимально возможным числом граней. Заметим, что в случае пространства (т.е. плоскости) каждый конус имеет ровно две грани и число 2 - это единственно возможное число граней конуса на плоскости.
Рис.2
Поэтому каждый конус на плоскости имеет минимально возможное число граней. В случае пространства - минимально возможное число граней у конуса, содержащего хотя бы одну внутреннюю точку, равно трем. В пространстве минимально возможное число (n-1)-мерных граней у конуса, содержащего хотя бы одну внутреннюю точку, равно n.
Тогда миниэдральным конусом будет называться всякий конус, который, во-первых, содержит хотя бы одну внутреннюю точку и, во-вторых, имеет минимально возможное число граней.
Миниэдральные конусы обладают одним важным свойством. Для формулировки этого свойства нам понадобятся некоторые вспомогательные понятия.
Пусть Е- линейное пространство с конусом К и знак «» есть отношение предпочтения по конусу К.
Однако, миниэдральные конусы в конечномерных пространствах обладают следующим фундаментальным свойством:
если конус К миниэдрален, то каждое ограниченное сверху (соответственно, снизу) множество М элементов имеет точную верхнюю sup М (соответственно, точную нижнюю inf M) грань.
Пример. Рассмотрим в пространстве с конусом векторов из с неотрицательными координатами множество векторов , удовлетворяющих для заданного вектора неравенству
.
Тогда inf , sup не существует.
Аналогично, если - множество векторов из, удовлетворяющих неравенству
,
то sup, а inf не существует.
§3. Интегральные операторы
Большой интерес представляют линейные интегральные операторы
,
действующие в различных пространствах Е функций, определенных на множестве , которое мы предполагаем ограниченным и замкнутым подмножеством конечномерного пространства Rп [1], [16], [20].
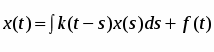
Термин "интегральные уравнения" расплывчат. Обычно под интегральными уравнениями понимают уравнения, в которых неизвестная функция независимого (скалярного или векторного) аргумента встречается под знаком интеграла. Различают линейные и нелинейные интегральные уравнения, в зависимости от того зависит ли уравнение от неизвестной функции линейным или нелинейным образом. Многие линейные интегральные уравнения (в "одномерном" случае) могут быть записаны в виде
(1)
где x: [a, b] → R — искомая функция, α, f: [a, b] → R и K: [a, b]×[a, b] → R — заданные функции. Функцию K обычно называют ядром интегрального уравнения.
Уравнение (1), когда K(t, s) = 0 при a ≤ t ≤ s ≤ b, называют уравнением Вольтерры. В противном случае его называют уравнением Фредгольма [2]. Уравнение Вольтерры, очевидно, оно может быть переписано в виде
Наиболее распространенными представителями нелинейных интегральных уравнений являются уравнения Урысона
Уравнения I и II рода
Если α(t) ≠ 0 при всех t [a, b], то уравнение (1), очевидно, может быть переписано в виде
(2)
Уравнения такого вида называют уравнениями II рода, отличая их от уравнений I рода
(3)
Если в некотором пространстве функций на отрезке [a, b] определить интегральный оператор
то уравнения (2) и (3), очевидно, переписываются в виде
x = Ix + f (4)
0 = Ix + f (5)
Прежде, чем объяснить разницу между уравнениями I и II родов, введем понятие корректности уравнения. Огрубляя ситуацию, говорят, что уравнение (4) или (5) корректно, если при любых f оно однозначно разрешимо и решение x непрерывно зависит от f. Более точно, говорят, что (линейное) уравнение корректно в паре (E1, E2) банаховых пространств функций на отрезке [a, b], если для любой f E2 уравнение имеет единственное решение xE1 и, кроме того, найдется такая константа C, что ||x||E1 ≤ ||f ||E2.
Разница между уравнениями I и II родов особенно ясно проявляется после записи интегральных уравнений в операторном виде. Суть здесь в следующем. Интегральные операторы в большинстве своем оказываются вполне непрерывными операторами. Для корректной разрешимости уравнения II рода, т. е. уравнения (4) при любой функции f необходимо и достаточно обратимости оператора I – I и ограниченности (I – I)–1, что в случае вполне непрерывного оператора I есть ситуация общего положения. Для разрешимости уравнения I рода необходима обратимость оператора I. В случае же вполне непрерывного оператора I–1 если он существует, необходимо, чтобы он являлся неограниченным [].
Уравнения I рода представляют собой существенно более сложный объект исследования.
§4. Интегральные уравнения с вырожденным ядром и уравнения
типа свертки
Выделим еще два класса линейных интегральных уравнений, часто встречающихся в математическом обиходе [2], [29]. Первый из них состоит из так называемых интегральных уравнений с вырожденным ядром. К ним относят интегральные уравнения, ядро которых представимо в виде
(6)
Интегральные уравнения (скажем, Фредгольма II рода) с вырожденным ядром легко сводятся к системе алгебраических уравнений. Используя (6), уравнение (2) можно переписать в виде
(5)
где
.
Умножение (7) на ηj и интегрирование по t от a до b приводит к системе алгебраических уравнений относительно неизвестных cj:
в которой
,
Уравнение Вольтерры типа свертки выделяется специальным видом ядра K(t, s) = k(t – s):
Название наследуется от интегрального оператора свертки
играющего роль умножения в банаховых алгебрах функций. Уравнение типа свертки весьма широко распространено в приложениях.
Уравнение Фредгольма типа свертки выглядит так:
Линейный оператор называется вполне непрерывным, если он переводит каждое ограниченное по норме пространства множество в компактное множество.
Почти во всякой физической задаче, которая может быть сформулирована с помощью линейных операторов, важной характеристикой типа задачи является спектр соответствующего оператора [13]. Одной из основных характеристик спектра оператора является спектральный радиус этого оператора. Напомним, что те значения , при которых уравнение
,
где – рассматриваемый оператор, имеет единственное решение, а оператор ограничен, называются регулярными. Совокупность всех значений , не являющихся регулярными, называется спектром оператора и обозначается . Спектральным радиусом оператора называется число, определенное формулой
, .
Если уравнение
при данном имеет решение, отличное от тривиального, то называется собственным значением оператора , а нетривиальное решение уравнения называется собственным вектором, отвечающим этому собственному значению . При этом собственное значение называется позитивным, если и отвечающий ему собственный вектор принадлежит конусу .
Глава II
Оценки спектральных радиусов интегральных операторов
§1. Сравнение спектральных радиусов двух положительных
операторов
Многочисленные технические, физические, а также экономические задачи приводят к отысканию решения типа
x = Ax + f.
Известно, что данное уравнение будет иметь единственное решение, которое можно найти, используя метод последовательных приближений, если спектральный радиус оператора A меньше единицы.
В терминах понятия спектрального радиуса [20], [24], устанавливаются важнейшие теоремы существования неотрицательного решения соответствующих моделей математической экономики (модель Леонтьева, модель Леонтьева-Форда, обобщенная модель Леонтьева-Форда).
Приведем соответствующее определение.
Пусть А – линейный ограниченный оператор, действующий в банаховом пространстве Е. Вещественное или комплексное число называется регулярным значением оператора А, если оператор
(I - A)
имеет ограниченный обратный, определенный во всем пространстве Е. В противном случае соответствующее число называется точкой спектра оператора А. Совокупность всех точек спектра оператора А обозначается (А).
Спектральным радиусом (А) оператора А называется следующая величина:
.
Для ограниченного оператора А спектральный радиус (А) является ограниченной величиной, более того из принципа Банаха сжатых отображений [23] следует оценка
(А) < A.
Важнейшим фактом теории линейных положительных операторов является следующий факт:
Пусть конус К – нормальный и воспроизводящий, тогда (А) является точкой спектра оператора А (теорема Карлина).
Более того, при несущественных дополнительных предположениях (А) является собственным значением оператора А, которому отвечает собственный вектор x* К (теорема Перрона-Фробениуса [2]).
В теории принципа Хикса для интегрального уравнения с неотрицательным ядром важную роль для его справедливости играет условие вида
r(A)<1, (1)
где r(A) - спектральный радиус интегрального оператора А с ядром K(t,s). Естественно иметь признаки, обеспечивающие выполнение условия (1). Для этого получим соответствующие признаки для случаев, когда А:
10) A=(aij) (i,j=1,2,3…); (2)
20) A – интегральный оператор вида
, (3)
где - ограниченное замкнутое множество из евклидова пространства Rm, K(t,s) – измеримая по s почти при всех значениях t функция, для которой при некоторых p>1 и выполняется условие:
. (4)
При выполнении условия (4) оператор (3), как известно, действует в пространстве Lp() и является вполне непрерывным оператором в этом пространстве [ 29].
Введем в рассмотрение следующие функции
,. (5)
Теорема 1. Пусть для некоторого [0,1] выполняется следующее неравенство
P(t)Q1-(t)1 (t) (6)
и, кроме того, выполняется одно из двух следующих условий:
10) в неравенстве (6) равенство допускается лишь на множестве точек лебеговой меры нуль;
20) в неравенстве (6) строгое неравенство выполняется для всех t из некоторого множества , mes>0, оператор А – неразложим в пространстве Lp().
Тогда спектральный радиус r(A) оператора А в пространстве Lp() меньше чем единица:
r(A)<1.
Аналогичный результат имеет место и в том случае, когда интегральный оператор (3) действует в пространстве C() и неразложим в этом пространстве относительно конуса неотрицательных функций пространства C().
Получению оценок спектрального радиуса положительного оператора по информации о поведении этого оператора на фиксированном ненулевом элементе конуса посвящена достаточно обширная литература [21], [11], [13], [18], [26], [29]. Речь идет о том, что из неравенства вида
,
где - фиксированный элемент из , вытекает оценка снизу
для спектрального радиуса линейного положительного оператора , а из неравенства вида
(7)
(при некоторых дополнительных предположениях [29] относительно элемента и конуса , или оператора ), вытекает оценка сверху для вида
. (8)
Для этого, например, достаточно, чтобы конус был телесным и нормальным, и чтобы был внутренним элементом конуса . Заметим, что без соответствующих дополнительных предположений утверждать о наличии оценки сверху типа (8), очевидно, нельзя. В отличие от оценки сверху, оценка снизу верна при единственном предположении о том, что .
Поставим вопрос существенно шире: что можно сказать о том, что если вместо условия (7) нам известно условие вида
, (9)
где - некоторый линейный оператор, действующий в пространстве ? По аналогии с упомянутой оценкой вида (8) естественно спросить: не следует ли из условия (9) оценка
? (10)
При положительном ответе на этот вопрос получаем возможность иметь как следствия, ранее установленные ([11], [18], [26], [29]) результаты по оценке сверху спектральных радиусов линейных положительных операторов по информации о поведении операторов и на фиксированном элементе конуса .
Теорема 2. Пусть конус - телесен и нормален, - внутренний элемент конуса . и - линейные положительные операторы, действующие в , причем они коммутируют, т.е.
. (11)
Пусть хотя бы на одном фиксированном элементе конуса выполняется неравенство
,
тогда для спектральных радиусов и операторов и справедливо следующее неравенство:
.
Доказательство.
Перейдем в пространстве к - норме [26], [29], которая, во-первых, определена на всем , так как конус телесен, и, во-вторых, эквивалентна норме в , т.к. конус нормален. Тем самым пространство будет полно по -норме. Прежде всего, установим, что для произвольного линейного положительного оператора справедливо равенство
. (12)
Действительно, из неравенства
,
справедливого для любого , в виду положительности оператора следует, что
,
откуда, учитывая монотонность -нормы, получим
,
и, следовательно, по определению нормы оператора
. (13)
С другой стороны, из свойств нормы следует, что
. (14)
Из (14) и (13) следует равенство (12).
Далее, согласно условию (9), свойству (11) и положительности оператора , имеем
. (15)
По индукции легко доказать, что для любого имеет место неравенство
,
и в силу монотонности -нормы
.
Поэтому, согласно (12),
. (16)
Т.к. в силу эквивалентности -нормы и нормы пространства можно написать, что
, , (17)
то из неравенства (16) и равенств (17) следует утверждение теоремы.
Замечание. Теорема 2 верна также и в том случае, когда операторы и полукоммутируют (т.е. ). В доказательстве выражение (15) перепишется в виде:
.
Рассмотрим теперь условия (9) и (10) для строгих неравенств. Т.е. условия, при которых из
следует оценка
. (18)
Прежде, чем перейти к рассмотрению строгих оценок (18), приведем несколько важных теорем, представляющих интерес.
Теорема 3. Пусть и - линейные положительные операторы, действующие в пространстве , причем они коммутируют, т.е. . Пусть оператор неразложим, тогда операторы и имеют общий собственный вектор.
Доказательство.
Пусть - собственный вектор оператора , отвечающий спектральному радиусу . Т.к. операторы и коммутируют, то для любого имеем:
.
Тогда
,
следовательно - собственный вектор оператора , . Т.к. - неразложим, то согласно теореме о единственности (с точностью до нормы) собственного вектора у неразложимого оператора [29]:
,
где .
Тем самым у оператора есть собственный вектор . Т.е. получаем, что у операторов и есть общий собственный вектор .
Теорема доказана.
Важным моментом в доказанной теореме является то, что телесность конуса не предполагается.
Теорема 4. Пусть дана некоторая коммутативная совокупность линейных положительных операторов, из которых хотя бы один является неразложимым. Тогда найдется положительный функционал , такой, что для всех , где для каждого . При этом .
Доказательство.
На основании предыдущей теоремы, можем утверждать, что все операторы из имеют общий собственный вектор (), причем .
является собственным значением соответствующего оператора и собственным значением сопряженного оператора , которому отвечают собственный вектор оператора и собственный функционал оператора , где - сопряженная к полугруппа. Из результатов [22], следует, что сопряженные операторы также составляют коммутирующую совокупность линейных положительных операторов . Таким образом, получим
и .
Теорема доказана.
Приведем достаточно известный [22] результат.
Теорема 5. Если , то уравнение
(19)
имеет единственное решение
,
которое является пределом последовательных приближений
(20)
при любом .
Замечание. Сходимость последовательных приближений (20) равносильна тому, что решение (19) может быть представлено сходящимся по норме рядом Неймана
.
Перейдем к рассмотрению строгих оценок.
Теорема 6. Пусть и - линейные положительные операторы, действующие в пространстве , причем они коммутируют, т.е. , и пусть оператор - неразложим и хотя бы на одном фиксированном элементе конуса выполнено неравенство
, ().
Пусть выполнено одно из условий:
вполне непрерывен, - квазивнутренний элемент ;
конус телесный и нормальный, - внутренний элемент ;
оператор -ограничен сверху, конус воспроизводящий и нормальный;
оператор -ограничен сверху, конус воспроизводящий и нормальный, - квазивнутренний элемент ;
оператор допускает представление
,
где - вполне непрерывен, , конус воспроизводящий и нормальный, - квазивнутренний элемент ; существует такой элемент , что .
Тогда справедливо строгое неравенство
.
Доказательство.
В силу теоремы 5 уравнение
имеет решение
.
Очевидно, что это решение удовлетворяет неравенству
. (21)
Т.к. - неразложим, то из неравенства (21) следует, что - квазивнутренний элемент . Поэтому при любом ненулевом выполнено неравенство
. (22)
В условиях нашей теоремы существует такой ненулевой функционал , что . На основании теоремы 3 найдется такой собственный элемент оператора , отвечающий собственному значению , который будет также собственным элементом оператора , отвечающим некоторому собственному значению оператора . Тогда
,
и из (22) вытекает
.
Откуда
.
Следовательно,
.
Теорема доказана.
Замечание 1. Теорема 6 верна также и в том случае, когда операторы и полукоммутируют, т.к. если операторы и полукоммутируют, и оператор неразложим, то имеет место равенство:
,
т. е. операторы и коммутируют.
Замечание 2. Используя равенство
можно расширить возможности получения оценок спектрального радиуса: если некоторая степень удовлетворяет условиям теоремы 5, то из неравенства
вытекает оценка
.
Пример. Рассмотрим матрицу и вектор пространства , а также матрицу , коммутирующую с матрицей :
;, .
Имеем , , т.е. . Таким образом, выполнены все условия теоремы 6, следовательно
.
В то время как точное значение спектрального радиуса: .
Заметим, что использование коммутирующего оператора способствовало уточнению оценки . Действительно, если в примере воспользоваться неравенством (7), то , и тогда, учитывая (8), получим , а эта оценка намного хуже оценки .
§ 2. Оценки спектрального радиуса интегрального оператора
Существует большое количество результатов по оценке спектрального радиуса матричного оператора. Обзор результатов приведен, например, в работе [26]. Стеценко В.Я. в [29] развил некоторые из оценок на интегральные операторы. Следующая теорема является развитием второго метода Островского для интегральных операторов [26].
Теорема 1 . Пусть - матричное ядро. . Функции , заданны в квадрате , за исключением прямой t=s, , . Пусть r=-спектральный радиус матричного интегрального оператора .Тогда
, где p>0, q>0, 1/p + 1/q =1,
где
. (1)
Доказательство.
Рассмотрим систему
. (2)
Так как - спектральный радиус оператора А, то система линейных однородных уравнений относительно неизвестных имеет ненулевое решение. Выберем решение так, чтобы
(3)
Представим (4)
Вычтем почленно из (2) тождество (4):
.
Так как , то , таким образом:
Применяя неравенство Гельдера для интегралов, и учитывая, что ,
получим:
=
=
согласно (4)
=
учитывая (1) и (3)
.
Возведем обе части в степень q.
, тогда
Проинтегрируем по t
,
учитывая (3) получим:
или
Теорема доказана.
Докажем еще одну теорему, которая является неравенством Фарнелла для интегральных операторов.
Теорема 2. Пусть -непрерывное матричное ядро . Тогда функции , заданные для , порождают действующий и вполне непрерывный оператор в пространстве
.
Пусть -спектральный радиус матричного интегрального оператора в пространстве,
, ,
докажем, что
.
Для доказательства теоремы рассмотрим систему
. (5)
Эта система имеет ненулевое решение. Выберем решение так, чтобы
(6)
Умножим обе части уравнения (5) на . Получим
. (7)
С учетом (5) ,
тогда (7) запишется следующим образом:
(8)
Умножим обе части выражения (8) на , получим
. (9)
Проинтегрируем обе части выражения (9) по
.
Тогда
Учитывая (6),получим
Из неравенства Гельдера для
получим
.
Следовательно,
.
Теорема доказана.
Получена еще одна оценка сверху для спектрального радиуса интегрального оператора.
§3. Новые оценки спектрального радиуса линейного
положительного оператора
В данном параграфе предлагается дальнейшее развитие оценок спектрального радиуса линейного положительного оператора, заключающееся в том, что сравнивается значение элемента со значением комбинации элементов , где - специальным образом подобранный оператор, причем для получения оценок достаточно знать оценку , а не его точное значение. Результаты, полученные в этом параграфе, являются продолжением работ [11], [18], [26], [29].
Справедлива следующая теорема.
Теорема 1. Пусть воспроизводящий и нормальный конус, и - линейные положительные операторы, причем они коммутируют, т.е. . Пусть - неразложим. Если для некоторого и выполняется неравенство
, (1)
то
.
Если для верна оценка , тогда
. (2)
Доказательство.
Существует такой функционал , что
и ,
где - собственное значение оператора , соответствующее функционалу . Применим функционал к (1):
,
,
.
Т.к. оператор - неразложим, то данный функционал принимает положительные значения на ненулевых элементах конуса [29]. Поэтому
.
Заменив на , мы только усилим неравенство (т.к. ):
.
Первое утверждение теоремы доказано. Из последнего неравенства очевидным образом следует неравенство (2). Теорема доказана.
Пример 1. Рассмотрим матрицу и вектор пространства , а также матрицу , коммутирующую с матрицей :
;,
поэтому , и . Все условия теоремы 1 выполнены, следовательно , т.к. , то имеем . В то время как .
При получим известную теорему Стеценко В.Я. [20]:
Пусть оператор неразложим и , K - телесный и нормальный конус, и для некоторого элемента выполняется неравенство , тогда справедливо неравенство .
Эта теорема является частным случаем теоремы 1.
Кроме того, заметим, что использование коммутирующего с оператором оператора способствовало уточнению оценки . Действительно, если в примере 1 предположить , то , и тогда , а эта оценка намного хуже оценки .
Аналогично теореме 1 доказывается следующая теорема.
Теорема 2. Пусть - воспроизводящий и нормальный конус, и - линейные положительные операторы, причем они коммутируют, т.е. . Пусть - неразложим, и для некоторого выполняется неравенство
,
где , . Тогда
.
Если для верна оценка , тогда
.
Теорема 3. Пусть воспроизводящий и нормальный конус, и линейные положительные операторы, причем они коммутируют, т.е. . Пусть - неразложим. Пусть для некоторого выполняется неравенство
, (3)
где , . Тогда верна оценка:
,
где - наименьшее позитивное собственное значение оператора .
Доказательство.
Применим к (3) функционал из теоремы 1:
.
Т.к. оператор - неразложим, то данный функционал принимает положительные значения на ненулевых элементах конуса [29]. Поэтому
.
Т.к. , то заменив в последнем неравенстве на , только усилим его:
,
таким образом . Теорема доказана.
Следствие (к теореме 3). Если в условиях теоремы 3 предположить, что оператор также неразложим, тогда будет верна оценка:
.
Теорема 4. Пусть воспроизводящий и нормальный конус, и линейные положительные операторы, причем они коммутируют, т.е.. Пусть - неразложим, и пусть для некоторого выполняется неравенство
,
, . Если спектральный радиус оператора известен и , то
.
Если для известна оценка и выполняется неравенство , тогда имеет место оценка: .
Доказательство.
Как и при доказательстве теоремы 1, придем к неравенству
. (4)
Предположим, что , тогда, усиливая неравенство (4), получим
,
,
что противоречит предположению. Остается принять, что . Усиливая неравенство (4), получим
.
Первое утверждение теоремы доказано. Заменяя в неравенстве (4) на большее число , повторим рассуждения и получим второе утверждение теоремы. Теорема доказана.
Теорема 6. Пусть воспроизводящий и нормальный конус, и линейные положительные операторы, причем они коммутируют, т.е. . Пусть - неразложим и для некоторого выполняется неравенство
,
, . Если наименьшее позитивное значение оператора известно и , то
.
Если для известна оценка , и выполняется неравенство , тогда имеет место оценка: .
Доказательство теоремы 5 вполне аналогично доказательству теоремы 4.
Следствие (к теореме 5). Если в условиях теоремы 5 предположить, что оператор также неразложим, спектральный радиус оператора известен и , тогда верна оценка:
.
Теорема 6. Пусть воспроизводящий и нормальный конус, и линейные положительные операторы, причем они коммутируют, т.е. . Пусть - неразложим. Если для некоторого выполняется неравенство
,
где , и , то верна оценка:
.
Доказательство.
Аналогично тому, как это было сделано в теореме 1, приходим к неравенству
, (5)
из которого следует, что . Действительно, предположив противное, т.е. предположив, что , и усилив неравенство (5), получим
,
что противоречит условию. Остается принять, что . Усиливая неравенство (5), получим , откуда следует
.
Теорема доказана.
Эти результаты были описаны в работах ([26], [29]). Важным моментом доказанных теорем является то, что телесность конуса не предполагается.
Глава III.
Интегральные операторы в пространствах Лебега и Лоренца
§1. Пространства Лебега и Лоренца
Введем понятие группы преобразований [5]. Пусть есть два преобразования f и g. G называется группой, если для любых f и g, таких, что выполняются следующие условия:
1. ;
2. (I - единичное преобразование, );
3. (-обратное преобразование).
Очевидно, преобразования вида образуют группу. Для любых преобразований группы Лоренца скалярное произведение двух векторов является инвариантом. Если X и - тензоры, то инвариантом группы Лоренца будет
.
Так же инвариантом группы Лоренца является ранг тензора.
Еще одно очевидное свойство любого преобразования группы Лоренца: .
Рассмотрим положительно определенные формы. Докажем следующую теорему.
Теорема 1. Пусть
, (1)
Для xi из области R, определенной соотношениями
(2)
Тогда для
(3)
Доказательство.
Применим метод квазилинеаризации, покажем, что
, (4)
где S(z) – область, определенная соотношениями
(5)
Применяя неравенство Гельдера, получаем
(6)
Минимум последнего выражения как функции от в силу условий (2) и (5) достигается в точке, где
,
и равен . Отсюда следует представление (4). Из этого представления следует теорема 1. Приведенное доказательство принадлежит Беллману [5].
Лебеговские функциональные пространства
Пусть , Лебеговским функциональным пространством называется совокупность всех вещественнозначных (соответственно - комплекснозначных) измеримых по Лебегу функций (соответственно - ) [14], таких, что интегрируема на X, т.е.
Число
называется нормой функции f в пространстве Lp(X). Для компактного метрического пространства X размерность Лебега определяется как наименьшее целое число n, обладающее тем свойством, что при любом существует конечное открытое покрытие X, имеющее кратность.
При этом:
покрытием метрического пространства называется покрытие, все элементы которого имеют диаметр;
кратностью конечного покрытия пространства X называется такое наибольшее целое число k, что существует точка пространства X, содержащаяся в k элементах данного покрытия.
Наиболее важными свойствами лебеговских пространств являются следующие [17], [23]:
1). (Неравенство Гельдера). Пусть p>1, q>1, 1/p+1/q=1 и , . Тогда , и выполнено неравенство , т. е. .
2). (Неравенство Минковского). Если и , то ,и имеет место неравенство , т. е. .
Приступая к доказательству неравенства Минковского, заметим, что при p=1 оно очевидно. Если p>1, то можем написать
.
Найдем положительное число q из условия 1/p+1/q=1 и применим неравенство Гельдера к каждому из интегралов, стоящих в правой части последней формулы. Тогда
.
Последнее равенство здесь написано в силу того, что q(p-1)=p.
Разделив начальный и конечный члены полученного неравенства на
и учтя, что 1-1/q=1/p, получим
,
что и завершает доказательство неравенства Минковского.
Следующее свойство лебеговских функциональных пространств существенно опирается на неравенство Минковского:
3). Для любого пространство Lp(X) с введенной выше нормой является линейным нормированным пространством.
Для доказательства заметим, что если , то для любого числа функция лежит в Lp(X) (что очевидно), и f+g лежит в Lp(X) (в соответствии с неравенством Минковского). Неотрицательность нормы очевидна. Условие только при f=0 выполняется, в силу принятого в теории интеграла Лебега соглашения, что функция f равна нулю на множестве X , если и только если f(x)=0 для почти всех . Неравенство треугольника для нормы выполняется в силу неравенства Минковского. Положительная однородность нормы видна непосредственно из определения (2).
Конструкция интеграла Лебега ценна не столько тем, что она позволяет расширить класс интегрируемых функций по сравнению с интегралом Римана (известны еще более общие конструкции интеграла), сколько тем, что интеграл Лебега обладает наиболее естественными и удобными свойствами. Одно из них, принимаемое нами без доказательства, таково:
4). (Полнота лебеговских пространств). Для любого линейное нормированное пространство Lp(X) является полным, другими словами - всякая фундаментальная последовательность функций из Lp(X) сходится к некоторой функции из Lp(X) , т.е., если и для каждого существует номер no такой, что для всех выполняется неравенство , то существует функция такая, что при .
5). (Плотность бесконечно дифференцируемых функций в Lp(X)). Для любого множество бесконечно дифференцируемых функций плотно в Lp(X), иными словами - для любой функции и любого найдется функция такая, что .
6). (Сепарабельность лебеговских пространств). Для любого пространство Lp(X) сепарабельно, иначе говоря, в Lp(X) существует счетное плотное множество функций.
§2. Условия ограниченности интегрального оператора в
пространствах Лоренца
Пусть
(7)
- интегральный оператор в пространстве . Вычисление или получение оценок нормы оператора Т является важной и сложной задачей теории операторов [19]. Так, если Т(x,y) – симметричное ядро, то норма интегрального оператора в совпадает с его спектральным радиусом, который, в свою очередь, в приложениях связан с резонансными явлениями описываемых объектов. В связи с этим, нужно не только вычислять, но и как-то «управлять» нормой оператора.
Рассмотрим достаточные условия ограниченности интегрального оператора (7), действующего из пространства в . Обозначим через функцию множеств
.
Имеет место
Лемма 1. ([19]) Пусть - пространство Лоренца, М – множество всех компактов из области G. Тогда
~.
Теорема 2. Пусть , , , . Функция T(x,y) такова, что конечно одно из выражений
(8)
. (9)
Тогда соответствующий интегральный оператор Т ограничен из в , и
(10)
Если же или , то, соответственно,
~, . (11)
Доказательство.
Пусть . Из леммы следует
~
.
Применим неравенство Гельдера для пространств Лоренца и лемму 1:
~
~.
Пусть теперь . Из теоремы И. Стейна и Г. Вейса [28] следует, что
≤ .
Воспользуемся леммой 1, получим
≤.
Но при
≤≤.
Таким образом, верно
. (12)
Докажем теперь неравенство
. (13)
Пусть . Из определения нормы интегрального оператора, неравенства Гельдера и леммы 1 при следует
.
При , следовательно, оценка (13) в этом случае следует из (12).
Докажем вторую часть теоремы. Пусть , , тогда
.
Таким образом, из леммы 1 следует,
.
Если теперь , то, так же используя лемму 1, получим
~.
Теорема доказана.
Теорема 3. Пусть . Если
(14)
то интегральный оператор Т ограничен из в и
,
причем в случае условие (14) является необходимым.
Доказательство.
Пусть е – произвольный фиксированный компакт положительной меры, - соответственно невозрастающие перестановки f(x) и . Пусть ,
.
Тогда
.
Воспользуемся представлением
.
Применим неравенство Гёльдера с показателями :
.
Последовательно применяя замену , неравенство Минковского и замену , получим
.
Во внутреннем интеграле оценим
,
получим
.
При , т.е. , необходимость условия (14) следует из теоремы 2.
§ 3. Обобщенное неравенство Юнга – О’Нейла
Следствие (обобщенное неравенство Юнга – О’Нейла). Пусть , , тогда
.
Доказательство.
Достаточно доказать неравенство
.
Имеем:
,
.
Следствие доказано.
Пусть Q- единичный куб в . Для интегрального оператора
определим функцию
(15)
Тогда согласно теоремам 2 и 3 имеет место соотношение
. (16)
Оценки, приведенные в этом соотношении, точны относительно параметров p и q. Так, для произвольного найдется , что
и
.
Действительно, из (16)
.
Второе неравенство доказывается аналогично.
В соотношении (16) функция непосредственно зависит от ядра интегрального оператора Т. Функционалы же, действующие на функцию , зависят лишь от параметров p и q.
Замечание: Если рассматривать пространства и как пространства Лоренца и , то в трехпараметрических пространствах Лоренца , получаем соотношения с точностью до вторых параметров:
,
где и - монотонные функционалы, зависящие только от параметров p и q, функция определена равенством (15).
Таким образом, решение экстремальных задач для нормы оператора Т, имеет смысл заменить на исследование этих задач для функции . Во множестве интегральных операторов введем отношение частичного порядка.
Определение. Будем считать, что , если имеет место одно из следующих условий:
,
.
Интегральные операторы T и T* равны относительно введенного отношения порядка, т.е. и . Этот факт согласуется с соотношением .
Заключение
Результаты выпускной квалификационной работы представляют собой развитие теории операторов, функционального анализа. В работе рассматриваются различные виды интегральных уравнений, приведены наиболее значимые результаты, касающиеся оценок спектральных радиусов интегральных операторов.
Сформулированы и доказаны замечания и следствия к теоремам об оценках спектральных радиусов линейных положительных операторов, коммутирующих с линейным положительным оператором в пространстве с воспроизводящим нормальным конусом.
Приведены примеры, иллюстрирующие приведенные в работе оценки спектральных радиусов интегральных операторов.
Рассмотрены оценки нормы интегрального оператора в пространствах Лебега и Лоренца, сформулировано замечание к теореме для трехпараметрического пространства Лоренца. На основе этих результатов во множестве интегральных операторов вводится отношение частичного порядка, относительно которого можно решать экстремальные задачи для нормы оператора общего вида, не вычисляя саму норму.
Литература
Fenyö S. , Stolle H.W. Theorie und Praxis der linearen Integralgleihungen. I – Berlin: Dtsch. Verl., 1982. – 328 s.
Fenyö S. , Stolle H.W. Theorie und Praxis der linearen Integralgleihungen. I. – Berlin: Dtsch. Verl., 1983. – 376 s.
Банах С. Теория линейных операций.- М.: Наука, 2001.- 272 с.
Бахтин И.А., Красносельский М.А., Стеценко В.Я. О непрерывности линейных положительных операторов// Сиб. мат. журн. – 1962. – Т.3. №1. – С.157–160.
Беккенбах Э., Беллман Р. Неравенства.- М: Комкнига, 2007. – 280 с.
Беллман Р. Процессы регулирования с адаптацией. Физматгиз, М., 1964
Боголюбов Н.Н., Крейн С.Г. О позитивных вполне непрерывных операторах// Труды института математики АН СССР. – 1948 – Т.9, №1 – С.3–95.
Вулих Б.З. Введение в теорию полуупорядоченных пространств. – М.: Физматгиз, 1961. – 399 с.
Вулих Б.З. Введение в функциональный анализ. М.: Наука, 1967.– 415 с.
Гантмахер Ф.Р. Теория матриц. – М: Физматлит, 2004. – 576с.
Гробова Т.А. // Оценки спектрального радиуса интегрального оператораСтаврополь: Изд. СГУ, Вестник СГУ, выпуск 28, 2001. – с. 12-16.
Данфорд Н., Шварц Дж. Линейные операторы. Общая теория. – М.: Издательство иностранная литература, 2004. – 895c.
Есаян А.Р., Стеценко В.Я. Оценки спектра интегральных операторов и бесконечных матриц// Доклады АН СССР. – 1964. – т.157, №2.
Канторович Л.В., Акилов Г.П. Функциональный анализ. – М.: BHV-Санкт-Петербург, Невский Диалект, 2004. – 814 с.
Канторович Л.В., Вулих Б.З. Пинскер А.Г. Функциональный анализ в полуупорядоченных пространствах. - М.: Физматгиз, 1959. - 684с.
Колатц Л. Функциональный анализ и вычислительная математика. – М.: Мир, 1969. – 447с.
Колмогоров А.Н., Фомин С.И. Элементы теории функций и функционального анализа, М.: Физматлит, 2004.- 572 с.
Костенко Т.А. Оценки спектрального радиуса линейного положительного оператора// Понтрягинские чтения –IX. Тезисы докладов. – Воронеж: ВГУ, 1998. – С.107.
Костюченко А.Г., Нурсултанов Е.Д. Об интегральных операторах в -пространствах//Фундаментальная и прикладная математика, 1999, том 5, №2, с.475-491.
Красносельский М.А. Положительные решения операторных уравнений. – М.: Мир, 1988. – 394с.
Красносельский М.А., Вайникко Г.М., Забрейко П.П., Рутицкий Я.Б., Стеценко В.Я. Приближенное решение операторных уравнений. – М: Наука, 1989. – 456с.
Красносельский М.А., Лифшиц Е.А., Соболев В.И. Позитивные линейные системы: метод положительных операторов. – М: Наука, 1985. – 256 с.
Люстерник Л.А., Соболев В.И. Элементы функционального анализа. – М: Наука, 1965. – 520 с.
Наймарк М.А. Спектральная теория дифференциальных операторов. – М.: Наука, 1969. – 311 с.
Рисс Ф., Надь Б.С. Лекции по функциональному анализу. – М.: Мир, 1979. – 500 с.
Семилетов В. А. К теории операторных уравнений с линейными и нелинейными неразложимыми операторами: Дис... к-та физ.-мат. наук. Ростов – на - Дону, 2004, 119 с.
Смирнов В.И. Курс высшей математики. Том V. – М.: Наука, 1974. – 354 с.
Стейн И., Вейс Г. Введение в гармонический анализ на евклидовых пространствах. – М.: Мир, 1974.
Стеценко В.Я., Галкина В.А. Элементы теории полуупорядоченных пространств. Приближенное решение операторных уравнений. – Ставрополь: Изд-во СГУ, 1998. – 168 c.
Функциональный анализ. Под ред. Крейна С.Г. – М.: Наука, 1972. – 544 с.
2
Нравится материал? Поддержи автора!
Ещё документы из категории физика:
Чтобы скачать документ, порекомендуйте, пожалуйста, его своим друзьям в любой соц. сети.
После чего кнопка «СКАЧАТЬ» станет доступной!
Кнопочки находятся чуть ниже. Спасибо!
Кнопки:
Скачать документ