Виды теплообмена




































































































































































































































































СОДЕРЖАНИЕ
Предисловие
Обозначения
1 Стационарная задача теплопроводности
1.1 Общее понятие термического сопротивления
1.2 Прямоугольные координаты
1.3 Цилиндрические координаты
1.4 Сферические координаты
1.5 Суммарный коэффициент теплопередачи
2 Вынужденный конвективный теплообмен
2.1 Плоская стенка
2.2 Одиночный цилиндр и сфера
2.3 Расчёт теплофизических характеристик смеси газов
2.4 Теплообмен при фазовых превращениях
3 Теплообмен излучением и сложный теплообмен
3.1 Радиационные свойства газов
3.2 Сложный теплообмен
3.3 Указания к выполнению курсовой работы
Выводы.
Рекомендуемая литература
ВВЕДЕНИЕ
В условиях интенсификации технологических процессов, разработки и освоения новой техники существенное значение получают мероприятия направленные на обеспечение функциональной способности конструктивных элементов, работающих в области высоких температур и интенсивных тепловых нагрузок. Конструктивные элементы, работающие в таких условиях, требуют, как правило, эффективных средств тепловой защиты. Одной из наиболее эффективных систем тепловой защиты является испарительное охлаждение защищаемых элементов. Повышение эффективности испарительного охлаждения по сравнению с чисто конвективным связано с фазовым превращением охлаждающей среды в охлаждающем контуре, которое идёт с большим поглощением тепла и практически при постоянной температуре, близкой к температуре насыщения. Расчёт параметров испарительного охлаждения конструктивных элементов связан с целым комплексов расчётов, включающих:
расчёт состава атмосферы в рабочем пространстве агрегата;
расчёт теплофизических и радиационно-оптических характеристик атмосферы;
расчёт характеристик радиационно-конвективного теплообмена охлаждаемого элемента;
расчёт теплопередачи через рабочие поверхности охлаждаемого элемента;
определение режима фазового перехода при испарительном охлаждении.
Решение такой комплексной задачи осложняется нелинейностью её постановки: "внутренней" и "внешней". Внутренняя нелинейность постановки определяется зависимостью теплофизических характеристик материала конструктивных элементов от температуры. "Внешняя" – наличием в качестве составляющего – радиационного теплообмена. Нелинейные постановки задач характерны выражением искомых функций в неявном виде, поэтому решение таких задач связано, как правило, с организацией некоторого итерационного процесса, позволяющего найти приближенное решение с заданной точностью. Рассмотрим основные теоретические положения, связанные с расчётом испарительного охлаждения конструктивных элементов, находящихся в условиях радиационно – конвективного теплообмена.
ОБОЗНАЧЕНИЯ
а – поглощательная способность;
а – коэффициент температуропроводности, м2/с;
А, S – площадь (поперечного сечения поверхности), м2;
Ср – удельная теплоёмкость при постоянном давлении, Дж/(кг.К);
D – диаметр, м;
d– коэффициент диффузии, м2/с;
Е – плотность потока собственного излучения, Вт/м2;
g – ускорение свободного падения, м/с2;
– коэффициент конвективной теплоотдачи, Вт/(м2.К);
J – интенсивность излучения,
о – постоянная Больцмана, Вт/(м2.К4);
– коэффициент теплопроводности, Вт/(м.К);
L, l – длина, линейный размер, м;
m – масса, кг;
– плотность потока массы, кг/(м2.с);
– массовый расход, кг/с;
М – молекулярный вес,
– коэффициент динамической вязкости, кг/(м.с);
– коэффициент кинематической вязкости, м2/с;
Р – периметр, м;
р – удельное давление (давление), Н/м2;
Q – количество тепла, Дж;
– тепловой поток, Дж/с;
q – плотность теплового потока, Вт/м2;
qv – объёмное тепловыделение (объёмный источник тепла), Вт/м3;
r – радиус, м;
R – газовая постоянная,
R0 – универсальная постоянная,
R – термическое сопротивление, К/Вт;
S – формфактор теплопроводности,
– время, с;
t, T – температура, 0С, К;
в – толщина, м;
– скорость, м/с;
к – коэффициент теплопередачи, Вт/(м2.К);
– удельный объём, м3/кг;
V – объём, м3;
x, y, z
r, , z координаты в декартовой, цилиндрической и сферической системах, м;
r, ,
- термический коэффициент объёмного расширения, 1/К;
- излучательная способность (степень черноты); - плотность, кг/м3.
1. СТАЦИОНАРНАЯ ЗАДАЧА ТЕПЛОПРОВОДНОСТИ
Применим уравнение теплопроводности для решения задач, в которых температура зависит только от одной линейной координаты. Примем, что в прямоугольной системе координат температура будет зависеть только от x, а в цилиндрической и сферической системах координат—только от радиуса. Предполагается, что коэффициент теплопроводности является постоянной величиной, а тепловыделение отсутствует.
Применим общую методику решения, состоящую из двух этапов. На первом этапе из решения соответствующего упрощенного уравнения теплопроводности находится распределение температуры. С этой целью отыскивается аналитическое решение дифференциального уравнения второго порядка. После того как решение дифференциального уравнения записано в общем виде, с помощью двух граничных условий определяются две постоянные интегрирования. На втором этапе с помощью закона Фурье вычисляется кондуктивный тепловой поток через твердое тело.
1.1 Общее понятие термического сопротивления
Математическое выражение закона Гука имеет вид:
или после разделения переменных
,
интегрируя в пределах изменения пространственной координаты и в соответствующем температурном интервале, получаем
или
Выражение
называется среднеинтегральным коэффициентом теплопроводности в интервале . При линейной зависимости
При постоянном:
Таким образом, имеем
Сравнивая полученное уравнение с выражением закона Ома
,
получаем уравнение, определяющее термическое сопротивление теплопроводности в общем случае
(1.0)
Для получения выражения, определяющего термическое сопротивление конвективного теплообмена, рассмотрим закон Ньютона-Рихмана
То есть термическое сопротивление конвективного теплообмена определится выражением
(1.01)
1.2 Прямоугольные координаты
Стационарное одномерное распределение температуры в плоской прямоугольной стенке при отсутствии внутреннего тепловыделения описывается упрощенным уравнением теплопроводности
d2T/dx2 = 0.
Решение этого дифференциального уравнения с использованием двух постоянных интегрирования C1 и С2 имеет вид:
Т (х) = С1x + С2.
Значения этих постоянных можно найти, если заданы два граничных условия. Предположим, что в качестве этих условий заданы температуры на двух поверхностях стенки (рисунке 1.1): Т(0)=T1 и T(b)=T2. Применяя эти граничные условия, получаем следующее распределение безразмерной температуры в стенке:
(1.1)
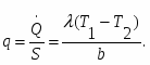
Следовательно, температура изменяется линейно по x. Тепловой поток через стенку определяется законом Фурье:
(1.2)
Тепловой поток на единицу площади называется плотностью теплового потока и обозначается q. Для плоской стенки
Если записать соотношение (1.2) в форме закона Ома:
(1.3)
то термическое сопротивление плоской стенки выражается формулой
. (1.4)
Используя общее понятие термического сопротивления теплопроводности, (1.0), получаем аналогичное выражение
Кондуктивный тепловой поток через плоскую стенку обусловлен перепадом температур поперек стенки, и его распространению противодействует термическое сопротивление, пропорциональное толщине стенки и обратно пропорциональное коэффициенту теплопроводности стенки и площади ее поперечного сечения.
Если кондуктивный перенос тепла осуществляется через составную (многослойную) плоскую стенку, распределение температуры и тепловой поток можно найти, предполагая, что тепло течет по эквивалентной тепловой цепи, представляющей сумму термических сопротивлений, соответствующих отдельным слоям из различных материалов.
В качестве примера тепловой цепи рассмотрим плоскую стенку (индекс 1), покрытую двумя слоями различных изоляционных материалов (индексы 2 и 3). Геометрия задачи показана на рисунке 1.2. Один и тот же тепловой поток проходит последовательно через каждое термическое сопротивление, и, следовательно, тепловая цепь состоит из последовательно соединенных термических сопротивлений. Если известны свойства всех трех материалов, заданы геометрические характеристики и температуры на двух внешних поверхностях, тепловой поток можно найти с помощью соотношения, аналогичного закону Ома:
(1.5)
Поскольку тепловой поток через многослойную стенку известен, можно найти температуры на поверхностях раздела материалов, применяя закон Ома для каждого слоя. Например, температуру Тx на поверхности раздела материалов 1 и 2 можно рассчитать по формуле
(1.6)
Часто в многослойных стенках слои материалов расположены так, что тепловой поток через них течет скорее параллельно, чем последовательно. В таком случае в тепловую цепь включаются участки из параллельно соединенных термических сопротивлений.
Тепловой поток определяется по формуле
(1.7)
Отдельные термические сопротивления выражаются соотношением
.
Промежуточные температуры типа ТX можно найти из уравнения (1.6).
Предполагается, что при параллельном соединении термических сопротивлений R2 и R3 тепловой поток остается одномерным; если же сопротивления R2 и R3 заметно отличаются друг от друга, могут стать существенными двумерные эффекты.
1.3 Цилиндрические координаты
Из задач теплопроводности для тел цилиндрической формы чаще всего встречается задача о кондуктивном тепловом потоке через длинный полый цилиндр (рисунок 1.3). Известно, что температура внутренней поверхности цилиндра равна Ti, а температура наружной поверхности То. Стационарное распределение температуры в твердом теле с постоянными теплофизическими свойствами при отсутствии внутреннего тепловыделения определяется решением уравнения теплопроводности при двух граничных условиях: Т(ri)=Ti; Т(r0)=Т0. Решение для местной температуры Т(r) имеет вид
(1.8)
Выражение (1.8) записывается в безразмерной форме следующим образом:
. (1.9)
Следовательно, температура изменяется в радиальном направлении по логарифмическому закону.
Поскольку распределение температуры известно, тепловой поток вдоль радиуса цилиндра можно найти с помощью закона Фурье для цилиндрической системы координат,
(1.10)
где — длина цилиндра.
Дифференцируя распределение температуры (1.8) и подставляя полученный результат в соотношение (1.10), получаем
(1.11)
Выражение (1.11) записано в форме закона Ома, и знаменатель представляет собой термическое сопротивление полого цилиндра:
(1.12)
Используем интегральную форму представленного термического сопротивления. Получаем
Принципы последовательного и параллельного соединения термических сопротивлений в цепь, справедливые для плоской стенки в прямоугольной системе координат, можно применить и для задачи о теплопроводности в полом цилиндре. Предположим, например, что жидкость течет в трубе, покрытой теплоизоляционным материалом (рисунок 1.4). Известно, что средняя температура жидкости равна T1, а температура внешней поверхности изоляции Т2. Характеристики материала трубы обозначены индексом 1, а изоляции—индексом 2. Конвективное термическое сопротивление жидкости определяется формулой (1.01). Конвективное термическое сопротивление жидкости нужно соединить последовательно с двумя кондуктивными термическими сопротивлениями для двух твердых материалов, поскольку тепловой поток распространяется последовательно через каждый из этих материалов.
Тепловой поток в этой задаче выражается соотношением:
(1.13)
Термическое сопротивление, входящее в соотношение (1.13), является суммой всех термических сопротивлений между двумя известными температурами. Если известны температуры Т1и Т2, то полное сопротивление должно равняться сумме только кондуктивных сопротивлений трубы и изоляции. Температура Тx при известном тепловом потоке находится из соотношения
(1.14)
1.4 Сферические координаты
Распределение температуры и тепловой поток для полого шара определяются таким же образом, как для полого цилиндра и плоской стенки. Стационарное одномерное распределение температуры при отсутствии внутреннего тепловыделения определяется из решения упрощенного уравнения теплопроводности, записанного в сферических координатах. Это уравнение имеет вид
Предполагаем, что граничными условиями являются заданные температуры внутренней и наружной поверхности шара (рисунок 1.5.): Т(ri)=Ti; Т(r0)=Т0. В таком случае распределение температуры в полом шаре определяется соотношением
(1.15)
Следовательно, температура полого шара изменяется в радиальном направлении по гиперболическому закону.
Тепловой поток через стенку шара можно найти, применяя закон Фурье к соотношению (1.15). В итоге получаем
(1.16)
Таким образом, термическое сопротивление стенки шара выражается формулой
(1.17)
Для интегрального представления имеем
Использование интегрального представления более универсально, не требует математического описания, интегрирования дифференциального уравнения, определения констант и т. д.
1.5 Суммарный коэффициент теплопередачи
Если в задаче теплообмена участвует несколько термических сопротивлений, соединенных последовательно, параллельно или комбинированно, удобно ввести суммарный коэффициент теплопередачи, или суммарную удельную тепловую проводимость. Суммарный коэффициент теплопередачи обозначается через К и определяется формулой
(1.18)
Величина K играет ту же роль, что и коэффициент конвективной теплоотдачи . И К, и имеют размерность Вт/(м2.град). Если соотношение (1.18) сравнить с равенством
, (1.19)
то видно, что К можно выразить через полное термическое сопротивление цепи:
(1.20)
В качестве примера использования суммарного коэффициента теплопередачи рассмотрим трехслойную, плоскую стенку, показанную на рисунке 1.2. Величина К в этой задаче находится по формуле
В этом примере площади поперечного сечения всех трех материалов одинаковы, поэтому нет сомнений, какую площадь нужно использовать в соотношении (1.20). Однако, если площади для каждого термического сопротивления различны, нужно быть последовательными при выборе площади, входящей в соотношение (1.20). Случаю переменной площади соответствует задача о многослойной цилиндрической стенке с последовательным соединением термических сопротивлений. Величину KS для тепловой цепи (рисунок 1.4) можно определить из формулы
или
Отметим, что произведение KS постоянно, но величина K зависит от выбора соответствующей площади. Предположим, например, что за характерную площадь мы приняли площадь внутренней поверхности трубы Si =2 r1L. В таком случае величина K, рассчитанная по Si, равна
Если величина K рассчитана по площади наружной поверхности трубы S0 = 2 r3L, то
Несмотря на то, что значения Ki и Ko различны, произведение KS всегда постоянно: KiSi = KoSo.
2. ВЫНУЖДЕННЫЙ КОНВЕКТИВНЫЙ ТЕПЛООБМЕН
Уметь рассчитывать конвективный тепловой поток нужно не только при течениях в каналах, но и при обтекании пластин, цилиндров, сфер и пучков труб, что важно для инженерных приложений.
2.1 Плоская пластина
Теплообмен при обтекании плоской пластины показывает, что для данной жидкости среднее число Нуссельта прежде всего зависит от числа Рейнольдса, вычисленного по скорости невозмущенного течения и длине пластины в направлении потока. В некоторых случаях бывает необходимо знать местный коэффициент теплоотдачи, и тогда характерным размером, используемым в числах Нуссельта и Рейнольдса, будет расстояние от передней кромки. В инженерных расчетах локальное число Нуссельта при ламинарном обтекании плоской пластины (Rex < 5-105) определяют по формуле
, (2.1)
тогда как среднее число Нуссельта определяют по формуле
,. (2.2)
Средний коэффициент теплоотдачи в формуле (2.1) получают интегрированием
(2.3)
При турбулентном обтекании (RеL.>5.105) на части пластины, непосредственно следующей за передней кромкой, течение ламинарное, и лишь далее оно становится турбулентным. Локальное значение числа Нуссельта при любом х за местом смены режима течения, т. е. при х > xс, определяется по формуле
, (2.4)
в то время как среднее его значение, если переход происходит при Rex=5-105, равно
,. (2.5)
2.2 Одиночный цилиндр и сфера
Принципиальное отличие обтекания цилиндра или сферы от обтекания плоской пластины состоит в том, что при этом может происходить не только переход от ламинарного течения к турбулентному в пограничном слое, но и отрыв самого пограничного слоя от поверхности раздела жидкости и тела в кормовой его части. Причиной отрыва является возрастание давления в направлении течения, что и приводит к образованию области отрывного течения за телом в случае, когда скорость невозмущенного потока достаточно велика.
Рисунок 2.1 Схема развития отрывного течения.
Образование такой области при обтекании цилиндра схематически показано на рисунке 2.1, а ее снимок приведен на рисунке 2.2. Вполне очевидно, что в области, где пограничный слой оторван от поверхности, будут совершенно другие значения числа Нуссельта, чем в области, где он примыкает к поверхности.
Рисунок 2.2.- Область отрыва за одиночным цилиндром.
Это подтверждают данные, полученные при числах Рейнольдса в невозмущенном потоке 70000
В обычной инженерной практике не обязательно рассчитывать локальные значения числа Нуссельта, а достаточно знать среднее значение коэффициента теплоотдачи. Среднее число Нуссельта cD/ можно представить в зависимости от числа Рейнольдса 8D/ невозмущенного потока и числа Прандтля Cp/,причем эта эмпирическая зависимость аналогична ранее полученной для течения в каналах, с той лишь разницей, что характерным размером в числах Рейнольдса и Нуссельта для цилиндра и сферы является наружный диаметр тела D. Для газов и обычных жидкостей средний коэффициент теплоотдачи при обтекании одиночного цилиндра можно рассчитать по формуле
, (2.6)
где —скорость набегающего потока, а значения коэффициента С и показателя степени n для различных интервалов значении ReD приведены в таблице 2.1.
Угловое расстояние от критической точки
Рисунок 2.3. -Число Нуссельта в зависимости от угловой координаты при поперечном обтекании цилиндра.
Таблица 2.1 – Значения констант в формуле (2.6)
ReD,f
C
n
0.4-4
0.989
0.330
4-40
0.911
0.385
40-4000
0.683
0.466
4000-40000
0.193
0.618
40000-400000
0.0266
0.805
Все физические свойства в формуле (2.6) следует определять при среднеарифметическом значении температур поверхности и жидкости. Значения С и n при обтекании цилиндрических тел с некруглыми поперечными сечениями приводятся и таблице 2.2.
В работе получена следующая простая аппроксимационная формула:
=2+(0.4ReD1/2+0,06Re2/3) Pr0.4 (/s)0.25, (2.7)
которая справедлива при 3,5
Таблица 2.2 – Значение констант в формуле (2.6) для расчёта теплообмена при поперечном обтекании цилиндрических тел с некруглым поперечным сечением
Форма поперечного сечения
ReD,f
C
N
V
d
5.103 – 105
0.246
0.588
V
d
5.103 – 105
0.102
0.673
V
d
5.103 – 1.95.104
1.95.104 – 105
0.160
0.0385
0.638
0.782
V
d
5.103 – 105
0.153
0.638
V
d
4.103 – 1.5.104
0.228
0.731
При обтекании сфер жидким металлом коэффициент теплоотдачи можно рассчитывать по формуле:
=2,0+0,386 (ReDPr)0.5, (2.8)
справедливой в интервале значений числа Рейнольдса 3.104
Знание характеристик теплообмена при обтекании пучков (или пакетов) труб важно при конструировании теплообменников. Формула для расчета теплообмена при обтекании пучков труб имеет такой же вид, как и формула (2.6), которая приводилась при рассмотрении обтекания одиночной трубы. Однако значения коэффициента С и показателя степени n зависят от расстояния между соседними трубами и расстояния между рядами труб в направлении течения, а также от способа расположения труб, коридорного или шахматного (рисунок 2.4).
В таблице 2.3 приведены значения С и n, которые следует использовать в формуле (2.6) при различном расположении труб в пучках и наличии 10 или более рядов в направлении течения.
Таблица 2.3 - Значения констант в формуле для расчета теплообмена при обтекании пучков труб с десятью и более рядами
Ln/D
1,25
1,5
2,0
3,0
С
N
С
n
С
n
С
N
Коридорное расположение
1,25
0,386
0,592
0,305
0,608
0,111
0,704
0,0703
0,752
1,5
0,407
0,586
0,278
0,620
0,112
0,702
0,0753
0,744
2,0
0,464
0,570
0,332
0,602
0,254
0,632
0,220
0,648
3,0
0,322
0,601
0,396
0,584
0,415
0,581
0,317
0,608
Шахматное расположение
0,6
-
-
-
-
-
-
0,236
0,636
0,9
-
-
-
-
0,495
0,571
0,445
0,581
1,0
-
-
0,552
0,558
-
-
-
-
1,125
-
-
-
-
0,531
0,565
0,575
0,560
1,25
0,575
0,556
0,561
0,554
0,576
0,556
0,579
0,562
1,5
0,501
0,568
0,511
0,562
0,502
0,568
0,542
0,568
2,0
0,448
0,572
0,462
0,568
0,535
0,556
0,498
0,570
3,0
0,344
0,592
0,395
0,580
0,488
0,562
0,467
0,574
Для меньшего числа рядов в таблице 2.4 приводится доля, которую составляет c при N рядах труб от соответствующего значения при 10 рядах. Число Рейнольдса Rемакс для потока через пучок труб определяется по диаметру трубы и максимальной скорости течения (т. е. скорости потока через минимальную площадь проходного сечения).
Таблица 2.4 - Отношение c при N рядах труб в пучке к соответствующему значению при 10 рядах
N
1
2
3
4
5
6
7
8
9
10
Отношение при шахматном расположении труб
0,68
0,75
0,83
0,89
0,92
0,95
0,97
0,98
0,99
1,0
Отношение при коридорном расположении труб
0,64
0,80
0,87
0,90
0,92
0,94
0,96
0,98
0,99
1,0
Для определения коэффициентов теплоотдачи при обтекании пучков труб жидкими металлами рекомендована формула
=4,03+0,228(RемаксРг)0,67, (2.9)
справедливая в интервале значений 20000
Падение давления (Н/м2) в потоке газа через пучок труб можно рассчитать по соотношению
(2.10)
где Gмакc—массовая скорость при минимальной площади проходного сечения, кг/(с.м2);
—плотность при условиях в невозмущенном потоке, кг/м3;
N—число поперечных рядов.
Эмпирический коэффициент трения f’ определяется по рекомендованным формулам
(2.11)
при шахматном расположении труб и
(2.12)
при коридорном расположения труб.
Для расчета коэффициента теплоотдачи при турбулентном обтекании пучка труб при наличии 10 и более рядов труб как при коридорном, так и шахматном их расположении и Reмакс>6000 рекомендуется формула
, (2.13)
которая, с достаточной точностью описывает экспериментальные данные.
2.3 Расчёт теплофизических характеристик cмеси газов
В теплотехнике обычно приходится встречаться не с отдельными газами, а со смесями газов. Такие смеси часто получаются как продукт процесса горения, представляющий собой химический процесс соединения горючих элементов топлива (С, Н, S) с кислородом воздуха. Продукты полного сгорания топлива состоят из СО2, SO2, Н2О, О2,N2. При неполном сгорании в состав продуктов сгорания входят такие газы, как СО, СН4, Н2,С2Н2 и т. д. Смесь продуктов неполного сгорания топлива представляет собой газовую смесь, способную к дальнейшему сгоранию, и поэтому её применяют как горючий газ в печах, топках или камерах сгорания различных тепловых установок.
При рассмотрении газовых смесей исходят из того, что смесь идеальных газов, не вступающих в химическое взаимодействие друг с другом, также является идеальным газом и подчиняется всем законам, относящимся к идеальным газам. При этом каждый газ, входящий в состав газовой смеси, ведёт себя так, как будто он один при данной температуре занимает весь объём смеси. Давление, которое при этом оказывает каждый компонент смеси на стенки сосуда, называется парциальным давлением, а давление газовой смеси складывается из парциальных давлений газов, образующих газовую смесь. Это положение составляет содержание закона Дальтона для газовых смесей, который Дальтон установил опытным путём в 1807 г.
Математически этот закон записывается следующим образом:
, (2.14)
где рсм – давление смеси газов;
рi – парциальное давление i – го компонента, входящего в состав смеси;
n – число компонентов, образующих смесь.
Цель расчёта газовой смеси состоит обычно в определении молекулярной массы, газовой постоянной плотности удельного объёма и парциальных давлений компонентов, образующих смесь. Состав газовой смеси может быть задан двояко: массовыми или объёмными долями.
В первом случае, если обозначить массу смеси Gсм, а массу какого-то i – го компонента Gi, то отношение Gi к Gсм и определит массовую долю этого i – го компонента, обозначаемую через gi, т. е.
, и
.
Во втором случае объём смеси и объём каждого компонента, входящего в смесь, одинаковы и по отдельности равны по объёму того сосуда, в котором помещена смесь газов. При этом температура смеси и температура каждого компонента также одинаковы, а давление разные, ибо каждый из компонентов находится под своим парциальным давлением, а вся смесь под давлением, равным сумме этих парциальных давлений. Для того, чтобы сравнить количество газов, входящих в смесь, по объёму, нужно объёмы компонентов привести к одинаковому давлению, в качестве которого выбирают обычно давление смеси. Объёмы компонентов, приведенные к давлению смеси, называются парциальными объёмами. Если объём смеси обозначить Vсм, а парциальный объём i – го компонента – Vi, то объёмную долю i – го компонента можно найти как отношение его парциального объёма к объёму смеси, т. е. ( где ri – объёмная доля i – го компонента). Чтобы найти
,
нужно определить, чему равна сумма парциальных объёмов . Поскольку температура смеси и всех компонентов одинакова, напишем уравнение Бойля – Мариотта для i – го компонента при двух состояниях: когда он занимает объём смеси и находится под парциальным давлением и когда он занимает парциальный объём и находится под давлением смеси, т. е.
. (2.15)
Если уравнения (1 – 14) написать для каждого компонента, входящего в состав газовой смеси, и просуммировать эти уравнения, будем иметь
.
Помня, что по уравнению (1 – 13) , получим
. Следовательно,
.
Для упрощения расчётов, связанных с газовыми смесями, условно заменяют смесь собранием однородных средних молекул, которые по своему числу и суммарной массе могли бы заменить действительную газовую смесь. Это упрощение даёт возможность подойти к рассмотрению газовой смеси как к однородному газу.
Введём понятие киломоля газовой смеси см и определим его значение через массовые и объёмные доли компонентов. Обозначим см – число киломолей газовой смеси; i – число киломолей i – го компонента, входящего в состав смеси. Число молей смеси см определим как сумму чисел киломолей компонентов смеси, т. е.
, тогда
или
(2.16)
Для вычисления см через объёмные доли поступим так: пусть для простоты Vсм = 1 м3, тогда
; Gсм = смVсм = см; но
, а Gi = iVi = iri, следовательно,
(2.17)
Эта формула, полученная как промежуточная в наших рассуждениях может служить для определения плотности смеси через объёмные доли. Так как
,
а по закону Авогадро ()i = ()см = idem, то
и окончательно
(2.18)
Газовая постоянная смеси газов Rсм определяется из соотношения
(2.19) или
откуда
(2.20)
Плотность через массовые доли может быть определена по равенству
и
(2.21)
Удельный объём смеси см определяется как величина, обратная см.
Парциальные давления компонентов рi через объёмные доли легко определить из уравнения (1 – 14):
рiVсм = рсмVi; . Таким образом
рi= ri рсм (2.22)
Через массовые доли рi выражается следующим образом. Напишем уравнение состояния газа для смеси и для i – го компонента:
Разделив второе равенство на первое, получим
, откуда
(2.23)
При расчёте газовых смесей часто встречается необходимость определить состав смеси по объёмным долям по известному массовому составу и наоборот. Установим соответствующие формулы перехода:
, но
тогда
; (2.24)
или
(2.25)
Состав атмосферы в рабочем пространстве топок (продуктов сгорания) определяется, как правило, через объёмные доли. В этом случае теплофизические характеристики смеси газов рассчитываются аналогично расчёту см – формула 2.17
;
;
и т. д.
2.4 Теплообмен при фазовых превращениях
Теплообмен с фазовыми превращениями – кипение
Фазовый переход
Ps – давление насыщенного пара
ts – температура насыщения
P=Cte –парообразование при постоянных р и Т
Lv - скрытая теплота парообразования образование пузырьков
- поверхностное натяжение, r - радиус кривизны
рТ (перегрев)
если г 0, р (пузырьки зарождаются всегда на поверхности)
поверхность нагрева и ее свойства играют важнейшую роль в парообразовании (пузырьки формируются преимущественно на шероховатой поверхности, которая образует микропузырьки "активные центры парообразования" или "зародыши")
форма и размеры пузырьков варьируются в зависимости от смачивания
кипение в непроточной воде или "в сосуде" (объемное):
Изменение температуры происходит в пограничном слое на стенке. Механизм и различные режимы кипения зависят главным образом от этой разницы температур.
Режимы кипения:
Вода с давлением 0,1 Мра
зона 1: свободная конвекция (еще нет возникновения пузырьков, т.к. ТН>Тw).
зона 2: пузырьковое кипение ( пузырьки поднимаются вверх и вызывают есте- ственную циркуляцию)
зона 3: переходное кипение
зона нестабильности (только при данной ТН)
зона 4: пленочное кипение, продолжается образование пара пленки (изоляция), которое сопровождается передачей тепла
Критическая точка кипения с: нагрев при известном потоке затруднен из-за пленки пара, поэтому температура Тw резко возрастает ( плавление)
Теплообмен: в общем случае расчётные формулы очень громоздки (большое количество параметров)
аппроксимация по Фритцу:
для воды (р = 0,01 … 15Мра) в
зоне пузырькового кипения
Теплообмен при фазовых превращениях – конденсация
Вид конденсации: зависит существенно от взаимодействия “жидкость – стенка”
Плёночная конденсация (жидкость смачивает поверхность): =8000..12000 Вт/(м2К) значения для водяного пара
Капельная конденсация (жидкость не смачивает поверхность): =30000..40000 Вт/(м2К)
Плёночная конденсация на вертикальной стенке:
Теория Нуссельта (опубликована в 1916)
Фундаментальная гипотеза:
стационарный режим
насыщенный пар (с температурой ТН) в состоянии покоя
ТW – постоянна
стекание плёнки конденсата вниз в ламинарном режиме (под действием силы тяжести)
теплообмен осуществляется теплопередачей сквозь достаточно тонкую плёнку, поэтому градиент температуры через плёнку остаётся постоянным.
скрытая теплота парообразования бесконечно мала, если Рнас << Ркрит
L – высота охлаждаемой поверхности (для горизонтальной трубы используют L = 2,5d
L – плотность жидкости
- коэффициент теплопроводности
- кинематическая вязкость
- средняя скорость в плёнке
- гидравлический диаметр = 4b (b: толщина плёнки)
- смачиваемый периметр
- массовый расход конденсата на единицу длины для водяного пара и ТН:
3. ТЕПЛООБМЕН ИЗЛУЧЕНИЕМ И СЛОЖНЫЙ ТЕПЛООБМЕН
3.1 Радиационные свойства газов
Излучение газов существенно отличается от излучения, испущенного твердых тел. В то время как монохроматическая плотность потока излучения для твердого вещества практически изменяется во всем спектре, испускание и поглощение излучения в газах происходят в узких полосах длин волн.
Вид спектра поглощения водяного пара типичен и для других газов. Испускание и поглощение в очень узких полосах длин волн значительны, но в соседних смежных полосах они могут падать до нуля. Газы с симметричным строением молекул, такие, как O2, N2 и Н2, не относятся к сильно поглощающим или излучающим. В большинстве случаев при температуре, меньшей температуры ионизации этих газов, излучением газов с симметричным строением молекул можно пренебречь. С другой стороны, излучение и поглощение газов с несимметричной структурой молекул могут быть значительными. Наиболее важными для техники газами с несимметричной структурой являются Н20, CO2, CO, SO3, NH3 и углеводороды. Ограничимся рассмотрением свойств двух из них: Н20 и СО2.
Еще одно важное различие между радиационными свойствами непрозрачных твердых тел и газов состоит в том, что форма газового объема влияет на его свойства, тогда как свойства непрозрачного твердого тела не зависят от его формы. Толстые слои газа поглощают больше излучения, чем тонкие, и пропускают меньше излучения, чем тонкие. Поэтому кроме общепринятых свойств, определяющих состояние газа, таких, как температура и давление, необходимо еще указать характерный размер массы газа, прежде чем определять его радиационные свойства. Характерный размер в газе называется средней длиной пути луча. Средние длины пути луча в объемах газа различных простых геометрических форм даны в таблице 3.1.
Таблица 3.1 - Средняя длина пути луча в объемах газа различных геометрических форм
Форма объема газа
L
Сфера
Бесконечный цилиндр
Бесконечные параллельные пластины
2/3 диаметра
Диаметр
Два расстояния между пластинами
Полубесконечный цилиндр, излучающий на центр основания
Диаметр
Прямой круговой цилиндр с высотой, равной диаметру
излучающий на центр основания
излучающий на всю поверхность
Бесконечный цилиндр полукруглого поперечного сечения, излучающий на точку в середине плоской стороны
Диаметр
2/3 диаметра
Радиус
Прямоугольные параллелепипеды
куб
1:1:4, излучающий на грань 1 X 4
излучающий на грань 1 X 1
излучающий на все грани
2/3 стороны
0,9 меньшего ребра
0,86 меньшего ребра
0,891 меньшего ребра
Пространство вне пучка бесконечных труб с центрами в
вершинах равностороннего треугольника
диаметр трубы равен промежутку между
трубами
диаметр трубы равен 1/2 промежутка между
трубами
3,4 промежутка
4,44 промежутка
Для других геометрических форм, не перечисленных в таблице, средняя длина пути луча в газе может быть приближенно определена по формуле
(3.1)
где V—объем газа, S—площадь поверхности газа.
В работах Хоттеля измерены зависимости излучательной способности ряда газов от температуры, полного давления и средней длины пути луча. Кривые для излучательных способностей паров Н2О и CO2 показаны на рисунке 3.1 и 3.2. На этих двух графиках и — парциальные давления газов. Полное давление для обоих случаев 0,10133 МН/м2 (1атм). В случае когда полное давление газа не равно 0,10133 МН/м2, значения и с рисунков 3.1 и 3.2 должны быть умножены на поправочные коэффициенты. Поправочные коэффициенты и представлены на рисунках 3.3 и 3.4.
Рисунок 3.1 Излучательная способность водяного пара при полном давлении 0,10133 МН/м2 (1 атм).
Излучательные способности Н2О и СО2 при полном давлении РТ, отличном от 0,10133 МН/м2 (1 атм), определяются выражениями
В случае, когда оба газа, Н2О и СО2, образуют смесь, излучательную способность смеси можно рассчитать как сумму излучательных способностей газов, определенных при допущении, что каждый газ существует отдельно, за вычетом коэффициента , который учитывает излучение в перекрывающихся спектральных полосах. Коэффициент для Н2О и СО2, представлен на рисунке 3.5. Излучательная способность смеси Н2О и СО2 поэтому определяется выражением
см = + - (3.2)
Рисунок 3.2 Излучательная способность углекислого газа при полном давлении 0,10133 МН/м2 (1 атм).
Рисунок 3.3 Поправочный коэффициент для излучательной способности водяного пара при давлениях, отличных от 0,10133 МН/м (1 атм)
Рисунок 3.4. Поправочный коэффициент для излучательной способности СО2 при давлениях, отличных от 0,10133 МН/м (1 атм)
Рисунок 3.5 Поправочный коэффициент для излучательной способности смеси водяного пара и СО2.
Пример 3.1. Определить излучательную способность газовой смеси, состоящей из N2, Н2О и СО2 при температуре 800 К и имеющей форму сферы диаметром 0,4 м. Парциальные давления газов = 0,1 МН/м2, = 0,04 МН/м2, =0,06 МН/м2.
Решение. Из таблицы 3.1 определяем значение средней длины пути луча для сферы
L=(2/3)D=0,27 м
(по формуле (3.1) L = 0,24 м). Значения параметров, используемых на рисунках (3.1) и (3.2), равны
T = 800К, L = 0,0104 (МН/м2)м, L = 0,0156 (МН/м2)м.
Излучательные способности для полного давления 0,1 МН/м2 равны
= 0,15, = 0,125.
Считаем, что N2 при 800 К существенно не излучает. Поскольку полное давление газа 0,2 МН/м2, необходимо ввести поправку в значения в рассчитанные для 0,1 МН/м2. Величины и берём с графиков (рисунок 3.3 и 3.4)
= 1,62, = 1,12.
Наконец, с помощью рисунка 3.5 определяем величину , используемую для учета излучения в перекрывающихся полосах спектра:
= 0,005.
Излучательная способность смеси определяется по формуле (3.2):
см = 1,62 • 0,15 + 1,12 • 0,125 — 0,005 = 0,378.
Определение поглощательной способности газа несколько сложнее по сравнению с определением . Используются графики для излучательной способности, описанные выше, однако параметры графиков должны быть модифицированы. Например, рассмотрим водяной пар при температуре , на который падает излучение с поверхности, имеющей температуру Тs. Поглощательную способность Н2О можно приближенно рассчитать по уравнению
, (3.3)
в котором величина берется с рисунка 3.3, а — значение излучательной способности водяного пара с рисунка 3.1, определенное при температуре Тs, и при произведении давления на среднюю длину пути луча, равном
.
Значение поглощательной способности СО2 определяется аналогично по уравнению
(3.4)
где величина берется с рисунка 3.4, а величина , определяется по рисунку 3.2 при . Для смеси Н2О и СО2 поглощательная способность равна
,
где и определяются по уравнениям (3.3) и (3.4) соответственно, а = оценивается по рисунку 3.5 при температуре Ts.
Пример 3.2. Определить поглощательную способность смеси О2 и водяного пара с полным давлением 0,2 МН/м2 и температурой 400 К. Средняя длина пути луча для газов 1,5 м, а падающее излучение испускается поверхностью с температурой 800 К. Парциальное давление Н2О составляет 0,02 МН/м2.
Решение. Считаем, что кислород не поглощает заметного количества падающего излучения и поглощательная способность смеси равна поглощательной способности водяного пара. Поглощательная способность Н2О определяется уравнением (3.3):
Параметры, используемые для определения и следующие:
(МН/м2)м,
= 0,11 (МН/м2)м,
= 0,06 (МН/м2)м.
По графику с рисунка 3.3 находим
= 1,45,
а по графику с рисунка 3.1 находим
= 0,33.
Поглощательная способность водяного пара, следовательно, равна
Инженерная формула для расчёта теплообмена между излучающим газом и теплообменной поверхностью имеет вид:
(3.5)
где - излучающая способность стенки в присутствии поглощающей среды.
Для замкнутой системы
(3.6)
поглощающей среды:
- по справочнику;
- излучательная способность газа при температуре газа;
- излучательная способность газа при температуре стенки.
3.2 Сложный теплообмен
Для упрощения инженерных расчётов приведём форму закона 4-й степени к форме закона Ньютона:
(3.7)
тогда =, где
3.3 Указания к выполнению курсовой работы
В случае теплопередачи через некоторый теплообменный элемент, представляющий из себя многослойную стенку, приходится решать задачу в следующей постановке (рисунок 3.6).
t
Рабочее про- 1 2 і n-1 n Охлаждаемый
странство канал
δ1 δ2
γ0 γn
Рисунок 3.6. - Схема элемента теплообменной поверхности
(3.8)
где i – толщина i – го слоя;
i – коэффициент теплопроводности i – го слоя;
tг, tн – температура газа в рабочем пространстве и температура насыщения соответственно;
п – коэффициент теплоотдачи к пароводяной смеси;
qконв, qизл – конвективная и лучистая составляющая тепловой нагрузки на теплообменную поверхность.
Решение системы уравнений (3.8), нелинейной из-за зависимости i = i(t) и присутствия в граничных условиях лучистой составляющей qизл, требует организации итерационного процесса. Это связано с тем, что от параметров искомого поля температур зависят теплофизические характеристики и интенсивность лучистого теплообмена (~ Т4г). Многократное использование одного алгоритма для нахождения решения (итерационный процесс) удобно осуществлять с помощью ЭВМ. Рассмотрим более подробно алгоритмы расчёта характеристик испарительного охлаждения рассматриваемого элемента теплообменной поверхности.
Из решения системы уравнений (3.8) можно определить тепловой поток, проходящий через многослойную стенку
(3.9)
- коэффициент радиационно – конвективного теплообмена.
Для удобства представления принято
(3.10)
Выражение, определяющее плотность лучистого теплового потока, приведено к форме Ньютона – Рихмана
(3.11)
Таким образом, для расчёта по формуле (3.9) необходимо рассчитать коэффициенты переноса из рабочего пространства, через теплообменную систему и к охлаждающему тракту.
Определение коэффициентов переноса
А. Теплообмен из объёма печи (газовая сторона).
Перенос энергии от горячих газов к теплообменной поверхности балки осуществляется как конвекцией, так и излучением. Суммарный коэффициент теплоотдачи представлен в виде
- коэффициент конвективного теплообмена;
- приведенный коэффициент теплообмена излучением.
Для выбора критериального уравнения (гл. 2) необходимо рассчитать критерии
- критерий Прандтля;
- коэффициент кинематической вязкости;
- коэффициент температуропроводности газов;
- критерий Рейнольдса;
- критерий Нусельта;
- при температуре стенки или
(3.12)
Таким образом, для определения нужны следующие характеристики смеси газов , , , расчёт см. раздел 2.3. , , , - выбираем по справочникам [2], [3].
Коэффициент температуропроводности определим по формуле:
Определение приведенного коэффициента теплообмена излучением см. 3.1. Б. Теплообмен со стороны охлаждающей воды см. раздел 2.4.
Порядок расчёта
Коэффициенты переноса являются функцией неизвестных параметров температуры стенки и удельной плотности теплового потока. Поскольку в этом случае получение аналитического решения затруднительно, воспользуемся методом последовательных приближений для нахождения инженерного решения:
задаёмся в первом приближении;
по заданному материалу балки, рабочей температуре и составу накипи выбираем [3, 5];
рассчитываем коэффициенты теплообмена ; (гл. 1, 2, 3);
по известным термическим сопротивлениям теплопередачи рассчитываем и получаем во втором приближении (гл.1);
проверка окончания итерационного процесса.
если условие не выполняется, повторяем расчёт, начиная с выбора ;
после окончания итерационного процесса рассчитываем выход насыщенного пара;
проверка на устойчивость [3], [5], [6].
РЕКОМЕНДУЕМАЯ ЛИТЕРАТУРА
Вукалович М. П. Термодинамические свойства газов. – М.: Машгиз; 1959. – 457 С.
Кутателадзе С. С., Боришанский В. М. Справочник по теплопередаче. - М.: Гостехиздат, 1959.- 414 С.
Казанцев Е. И. Промышленные печи. - М.: Металлургия, 1975.- 368 С.
Миснар В. Д. Теплопроводность твёрдых тел, газов и жидкостей. - М.: Наука, 1973. – 445 С.
Исаченко В. П. Теплопередача. – М.: Энергия, 1969. – 439 С.
Ривкин С. Л., Александров А.А. Теплофизические свойства воды и водяного пара. – М.: Энергия, 1980. – 80 С.
Крейт Ф., Блэк У. Основы теплопередачи. – М.: Мир, 1983. – 511С.
Нравится материал? Поддержи автора!
Ещё документы из категории физика:
Чтобы скачать документ, порекомендуйте, пожалуйста, его своим друзьям в любой соц. сети.
После чего кнопка «СКАЧАТЬ» станет доступной!
Кнопочки находятся чуть ниже. Спасибо!
Кнопки:
Скачать документ