Зоны Френеля









































АКАДЕМИЯ
Кафедра физики
Реферат на тему:
Тонкая структура электромагнитного поля в свободном пространстве и при наличии экранирующих препятствий
Содержание
Введение………………………………………………………………….…3
Принцип Гюйгенса - Френеля, зоны Френеля…………………………..4
Дифракция радиоволн на полуплоскости……………………………….8
Заключение……………………………………………………………….12
Литература………………………………………………………………..13
Введение
Необходимо отметить, что при распространении радиоволн в свободном пространстве различные его области не одинаково влияют на формирование электромагнитного поля в удаленной от излучателя точке приема. При этом всегда можно выделить некоторую область пространства, в которой распространяется основная часть передаваемой в заданном направлении энергии электромагнитных волн. Ее размеры и конфигурацию определяют исходя из известного из курса физики принципа Гюйгенса-Френеля.
Принцип Гюйгенса - Френеля, зоны Френеля.
Согласно принципу Гюйгенса, каждая точка фронта распространяющейся волны является источником новой сферической волны. При этом, если известно положение фронта волны S(t) в некоторый момент времени " t " (см. рис.1) и скорость волны " ", то положение фронта в последующий момент времени (t + ) можно определить поверхностью S(t+ ), огибающей все вторичные волны. Принцип Гюйгенса является чисто геометрическим и не указывает способа расчета амплитуды волны, огибающей вторичные волны. Поэтому, развивая указанный принцип, Френель предложил идею о когерентности вторичных волн и их интерференции, что позволяет определять полное поле в любой точке пространства как сумму элементарных волн, излучаемых "элементами Гюйгенса". Объединенные идеи Гюйгенса и Френеля известны в современной физике и электродинамике в качестве "Принципа Гюйгенса - Френеля".
Рис. 1
Использование данного принципа позволяет достаточно просто определить размеры и форму области пространства распространения прямой электромагнитной волны.
Из теории электромагнитного поля известно, что каждый элемент фронта волны (элемент Гюйгенса), созданный каким-либо первичным источником, является вторичным источником сферической волны с характеристикой направленности в виде кардиоиды.
Математически характеристика направленности указанного элемента описывается функцией .
Если источник электромагнитного поля находится в некоторой точке А (рис. 2а), то полное поле в точке приема В можно определить, опираясь на вышеизложенное, воспользовавшись формулой Кирхгофа:
, (1)
где - величина поля на элементе Гюйгенса, создаваемая первичным источником А;
r’’ - расстояние от элемента Гюйгенса до точки приема; .
а) б)
Рис. 2
С учетом того, что:
,полное поле в точке В будет равно
. (2)
Поскольку форма поверхности не имеет значения, возьмем в качестве этой поверхности плоскость, расположенную на расстояниях r1 и r2 (r1+ r2 =r) от точек А и В перпендикулярно траектории прямой волны (см. рис. 2б). При этом фазы элементарных волн будут определяться соотношением = k(r' + r''), а для центральной элементарной волны = kr = k(r1 + r2).
Для упрощения анализа характера и степени вторичных элементарных источников электромагнитных волн, расположенных на поверхности S, на результирующее поле в точке В, разделим всю поверхность S на зоны Френеля.
Зона Френеля - это часть поверхности фронта электромагнитной волны, охватывающая вторичные источники, элементарные волны которых в точке В расходятся по фазе не более чем на 1800, при этом соседние зоны Френеля создают в точке В противофазные поля.
Математически размер зоны определяется выражением:
(3)
Если перемещать воображаемую поверхность S вдоль линии АВ, то окружности радиуса опишут поверхности эллипсоидов вращения.
Области пространства между двумя соседними эллипсоидами вращения являются пространственными зонами Френеля (см. рисунок 3).
Несмотря на то, что площади зон Френеля
(4)
на плоскости S одинаковы, амплитуды, создаваемых ими полей в точке В убывают с ростом n, так как при этом () - уменьшается, а r'(r'') - увеличивается. Поэтому результирующее поле в точке В в основном создается волнами вторичных излучателей, расположенных в пределах первых нескольких зон Френеля.
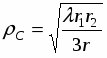
Как показывают расчеты и эксперимент, вследствие взаимной компенсации противофазных полей соседних зон Френеля результирующее поле в точке В определяется действием лишь вторичных излучателей, расположенных в пределах 1/3 первой зоны Френеля (n = 1/3) с радиусом
. (5)
Величина имеет важное практическое значение, так как определяет размеры области существенной для распространения радиоволн.
Рис. 3
Результаты эксперимента (зависимость |Е/Есв| в очке В от относительной величины отверстия S/S1) показаны на рисунке 4.
Рис. 4
Из рисунка 4 следует, что напряженность поля при отсутствии экрана Есв равняется напряженности поля Е при наличии экрана с отверстием, имеющим площадь, равную S1/3, радиус которой -. Экран практически не влияет на величину поля в точке приема при n > 8 (8 зон Френеля).
Дифракция радиоволн на полуплоскости.
Область, существенная для распространения радиоволн
Дифракция - огибание электромагнитной волной встречных препятствий.
Волновую теорию (принципы Гюйгенса-Френеля) можно использовать на практике для определения множителя ослабления электромагнитной волны на радиотрассе с препятствием.
Данную задачу можно решить достаточно просто, если препятствие в виде горы, холма и т.п. аппроксимировать плоскостью (рисунок 5).
Рис. 5
Опираясь на рисунок 5, определим напряженность поля в точке приема В, используя формулу (2). При этом интегрирование в данном выражении будет производиться лишь по полуплоскости, дополняющей экран (т.е. при ZН), так как поле ЕS на теневой стороне экрана равно нулю.
Путем ввода некоторых допусков и новых переменных, выражение (2) приводится к виду
. (6)
Тогда множитель ослабления на трассе с препятствием в виде полуплоскости определяется выражением
. (7)
Здесь параметр U0 равен отношению Н к радиусу первой полузоны Френеля:
, (8)
где Н - величина просвета (расстояние между прямой, соединяющей точки приема и передачи и кромкой экрана (препятствия)).
График функции |F(U0)| изображен на рисунке 6.
Рис. 6
По данному графику легко определить область, существенную для распространения радиоволны. Анализ функции |F(U0)|, представленной на рисунке 6, показывает, что при Н = 0, т.е. когда траектория волны касается кромки экрана и все зоны Френеля оказываются наполовину прикрытыми, поле в точке приема составляет 0,5Есв. При увеличении просвета (Н > 0) между прямым лучом и кромкой экрана поле в точке приема быстро растет до величины, примерно равной полю в свободном пространстве. Это имеет место при Н = .
Поэтому величину , определяемую соотношением (5), называют радиусом области, существенной для распространения прямой волны.
Областью, существенной для РРВ, называют область пространства между передатчиком и приемником ЭМВ в виде параболоида вращения с радиусом в плоскости поперечного сечения, равным , препятствия расположенные вне этой области не влияют на уровень сигнала в точке приема.
В зависимости от величины Н различают следующие виды радиорелейных трасс:
- закрытую, если Н < 0 (кромка экрана выше траектории волны);
- полуоткрытую, если 0 Н <;
- открытую, если Н .
Поперечные размеры области существенной для распространения уменьшаются с уменьшением, а также по мере приближения к одному из концов трассы. Наибольший радиус области соответствует середине радиотрассы
.
Заключение
Современный этап развития общества характеризуется использованием огромного количества радиоэлектронных средств, связанных с генерированием, передачей, приемом и преобразованием электромагнитных колебаний. Функционирование одних РЭС сопровождается созданием непреднамеренных помех электромагнитных помех для других РЭС. При этом возникает проблема обеспечения электромагнитной совместимости РЭС, так как в силу объективных свойств радиочастотного спектра, большой мощности радиопередатчиков и высокой восприимчивости современных радиоприемников ухудшаются возможности одновременного функционирования РЭС без существенного снижения качества и скорости передачи сообщений.
Литература
"Электродинамика и распространение радиоволн" С.Сергеев, Орел, ВИПС
«Основные закономерности распространения прямых радиоволн и работы радиолиний». Лазоренко, Орел, ВИПС
«Радиопередающие устройства», Шагельдян В.В., Москва
Нравится материал? Поддержи автора!
Ещё документы из категории физика:
Чтобы скачать документ, порекомендуйте, пожалуйста, его своим друзьям в любой соц. сети.
После чего кнопка «СКАЧАТЬ» станет доступной!
Кнопочки находятся чуть ниже. Спасибо!
Кнопки:
Скачать документ