Владимира Иннокентьевича Бабецкого (3 семестр)
















































































































































































































































































































































































































































































































































































































































































































































































































































































































Лекции по физике
Владимира Иннокентьевича Бабецкого
(III семестр физики на факультете "Прикладная математика и физика" МАИ) 2000г.
§1. Введение
Вот то, что кончилось у нас в прошлом семестре, в исторической перспективе это физика на конец XIX и начало XX века, и эта физика стала называться классической. А вот дальше – в XX веке – появилась новая физика, не то, что новые главы, она по существу другая. И в этот семестр у нас фактически войдёт всё, что создано в ХХ веке.
И тут дело не просто во временной последовательности, – важно то, что эта физика качественно другая. Проблема в том, что классическая физика оказалась не в состоянии объяснить, как устроен окружающий нас мир. Ну, кое-что, конечно, есть: паровые машины, электричество, радио – вся эта техника была создана на базе этой физики, но глубинные свойства окружающего мира (вот не то, что вы создали руками, а именно, что вот здесь вокруг) казались за пределами понимания современников.
Простой пример. Теплота, молекулярная физика используют свободные атомы: вот в воздухе носятся атомы, точнее молекулы. Все тепловые явления кинетическая теория, в частности теплопроводность, теплоёмкость, прекрасно объясняет, но если копнуть глубже, то там мы сталкиваемся с вещами необъяснимыми. Молекулы воздуха сейчас сталкиваются тут всё время, число столкновений в секунду колоссальное, и что? Скажем, сталкиваются молекулы кислорода, разлетаются, сталкиваются, разлетаются, сталкиваются... И они остаются теми же самыми, а молекула – это некоторая структура, это не просто там какой-то мифически неделимый объект (именно такое понятие скрывалось за словом атом в древности, атом – неделимый), уже ясно было, что это объект, обладающий структурой: в атоме есть электрон, позитрон, – механическая система. Почему же эти атомы сталкиваются, и всё время остаются тождественными себе, они не несут на себе никаких следов их предыдущей жизни? Факт, конечно, необъяснимый. Сталкиваются два автомобиля, и, конечно, они несут на себе следы столкновения, а если они будут сталкиваться ежесекундно, в конце концов, получится совсем не то, что было вначале, и это всё понятно, почему же на атоме не остаётся следов? Можно этот атом разбить вдребезги, но потом из этих осколков может опять слепиться этот атом, тот же самый. Это, казалось бы, находится в ведении обычной механики: существует система частиц (в атоме не так их много). Вот, солнечная система, – механика всё это дело объясняет, но стабильность атомных структур и стабильность структур, тогда уже построенных из атомов (то, что мы видим вокруг себя стабильно в известных пределах), не изменяющийся, устойчивый мир – это не прописано в классической физике. В классической физике параметры любой системы могут принимать любые значения, эти параметры подвластны внешним воздействиям.
Есть, например, солнечная система, механику Ньютон придумал, и он же придумал формулу для силы взаимодействия, и понеслось. Функционирование этой системы было понято, можно было делать предсказания на 1000 лет вперёд, на 1000 лет назад. Например, специалисты в небесной механике могут вычислить все солнечные затмения, которые происходили 1000 лет назад, это так и делается для хроников: есть сообщения, что там было такое-то явление природы и прочее.1)
Вот такая система: Земля вращается вокруг Солнца на расстоянии 150 миллионов км, другие планеты имеют свои параметры орбит. Почему? А не почему – начальные условия. Когда-то это дело всё затикало.2) Пролетела бы где-нибудь сравнительно близко от этой солнечной системы другая звезда, – всё бы это возмутилось: параметры орбит стали бы другими, система претерпела бы определённые пертурбации (их можно было бы рассчитать и предсказать), мы получили бы другую систему. Атом не так! Скажем, планетарная модель атома: есть ядро, электроны, валентность, – но его свойства не меняются не то, что там где-то вблизи пролетел, а именно колоссальное число столкновений, которые происходят сейчас здесь за секунду, не меняет этих характеристик.
Я ещё раз обращаю внимание, что этот факт не подпадает под юрисдикцию классической физики, нет в ней таких механизмов, которые позволили бы объяснить эту зависимость.
Дальше, например, генетический код. Организм вырастает из клетки, понятно, что должен быть план, по которому организм развивается, и этот план должен иметь материальный носитель. Есть материальный носитель, скажем, молекула ДНК, гигантская молекула длиной порядка 3м, она в клетке свёртывается в спираль, это линейная конфигурация макроскопических размеров, там записан этот код. Какова должна быть стабильность записи этого кода, что на протяжении тысяч поколений информация не теряется! Все вы знакомы с носителями информации, и, конечно, есть устойчивые носители, скажем там цифровая запись, но вот более старый носитель информации – виниловые нити (в аналоговых машинах), – информация плывёт, понятно, что нити крутятся, крутятся, крутятся, и постепенно возникают мелкие искажения, и делаются всё хуже и хуже. С генетическим кодом ничего такого не получается. Есть там крупные поломки, иногда рождаются уродцы, но это редкие случаи. Вообще-то, на протяжении тысяч поколений сохраняется этот код.
Классическая физика не предусматривает никаких механизмов поддержания такой стабильности. Если вы пороетесь в памяти, любая макроскопическая система, и системы, на которых мы упражнялись и которые описываются классической физикой, обладают тем свойством, что малые внешние воздействия вызывают малые изменения параметров системы, то есть всякая система может плавно менять свои параметры, а вот такие устойчивые структуры не прописаны там.
Это я клоню именно к тому, что на самом деле всё, что мы до сих пор изучали, не позволяет понять, как же всё-таки устроен окружающий мир, почему он имеет такие свойства, какие имеет.
Ну, и вот то, чем мы будем заниматься в течение семестра, – изучать, как физика ответила на этот вызов, и каким образом всё-таки удалось (а это действительно удалось) понять, как устроен этот мир.
И сразу скажу, между прочим, что на уровне наблюдаемых явлений в масштабах Земли и то, что сейчас творится на небе, на этом уровне физика сейчас проблем не имеет, то есть все эти наблюдаемые свойства, полученные здесь, не представляют собой загадки и исчерпывающим образом на этом уровне описываются. Есть проблемы на более фундаментальном уровне – вглубь вещества – не на уровне атомов, молекул, ядер, а ещё гораздо глубже, то есть вот поведение на таком более глубоком уровне там да есть проблемы, но тот уровень не проявляется в наблюдаемом физическом мире, тот глубинный уровень не проявляется. Он был существенен на самых ранних этапах возникновения Вселенной, и там действительно есть проблемы, которые не решены ещё, но повторяю, это проблемы на том уровне, который не влияет практически на то, что мы видим вокруг (то, что мы видим вокруг, там проблем нет, тут физическая теория практически дошла до предела).
Но так глубоко мы здесь не закопаемся, а вот устройство мира на уровне атомов, молекул, твёрдых тел, вот эти вещи мы здесь с вами разберём и поймём, в глубь элементарных частиц мы не залезем и те глубинные вещи затрагивать практически не будем.
Вот такая программа действий. Так, ладно, это лирика была, а теперь перейдём к делу.
§2. Взаимодействие света с веществом. Корпускулярные свойства света
2. Эффект Комптона
Мы кончили тем, что свет это есть электромагнитные волны, и оптика это теория, имеющая дело с распространением электромагнитных волн. Всё нормально: там волны, интерференция дифракция – все эти типичные волновые явления. Оказалось, однако, опять, что эта картина, а именно то, что свет есть электромагнитные волны, наталкивается на непреодолимые трудности при попытке понять, как свет взаимодействует с веществом. Один аспект взаимодействия мы с вами рассматривали – рассеяние, – там нам стало понятно, почему небо синее.1) На самом деле, взаимодействие света с веществом не описывается в рамках вот этого представления о свете как об электромагнитных волнах. Ну и коротко обсудим известную вам вещь – фотоэффект.
1. Внешний фотоэффект
Вот, пусть мы имеем металл. Металл это, кстати, что такое? Это твёрдое тело, внутри которого имеются свободные электроны, которые могут свободно двигаться внутри этого тела. Именно металлы это те тела, в которых есть свободные электроны; не то, что в металлах это есть, а металлы – это такие вещества. Характерные свойства металлов (блеск) это свойство того, что в нём свободные электроны. Если на металл падает свет, то из металла вылетают электроны, это экспериментальный факт, был в своё время такой опыт, и явление называется фотоэффектом. Ну, прежде всего, чтобы начать обсуждать, почему они вылетают, давайте поймём, почему они не вылетают, если они там есть. Тоже, кстати, вопрос не праздный.
Что такое металл? Металлы – это такие вещества, у которых при соединении атомов в решётку отскакивают валентные электроны, остаются ионы, которые стоят в узлах решётки, и, значит, мы имеем такую структуру: ионы с положительными зарядами, а между ними электроны, и эти электроны свободно сквозят через эту решётку. Почему электрон не вылетает, никаких стенок нет? Ответ простой: как только электрон вылетел, весь кусок (до этого был нейтральным) становится положительно заряженным, и он затягивает его обратно. Вроде бы мы ответили на вопрос, но не так-то просто!
В жидкости молекулы нейтральны, между ними силы взаимодействия. Когда молекула жидкости вылетает (внутри жидкости на молекулу действуют силы во все стороны и в среднем они уравновешены), появляются силы, которые её затягивают обратно. Поэтому мы имеем поверхность жидкости, отделяющую воду в стакане от окружающего воздуха. Но молекулы в жидкости имеют разные скорости, и мы видели в своё время распределение молекул по скоростям (или распределение по энергиям в газе). Функция распределения имеет «хвост», и, в принципе, здесь сейчас в воздухе можно найти молекулу с любой энергией; молекулы в жидкости так же имеют функцию распределения с «хвостом», и там, в принципе, можно найти молекулу с достаточной энергией. С энергией достаточной для чего? А для того, чтобы она смогла совершить работу против сил притяжения, а эта работа заведомо конечна, и улететь. Значит, в жидкостях имеются за счёт хаотического теплового движения молекулы с энергиями большими, чем работа по преодолению сил притяжения, возникающих, когда она взлетает. Молекула, обладающая такой энергией, совершает эту работу, вылетает, при этом её кинетическая энергия убывает на какую-то величину, но всё равно она улетает. Происходит испарение жидкости, и это испарение обуславливает то, что жидкая фаза неустойчива принципиально.1) Ну, понятно почему. Допустим, быстрые молекулы улетели вот из этого хвоста распределения, но хвост отрастает всё время, если температура остаётся та же самая, хвост отрастает, и поэтому, в конце концов, они испарятся все.
Если теперь вернуться к вопросу о том, почему не вылетают электроны из металла, возникает такая проблема: если электроны в металле как частицы идеального газа, то среди них должны быть энергичные электроны, которые всё равно вылетят, эту работу совершат и улетят. Должно происходить непрерывное испарение электронов из металла. В чём бы это проявилось? Это проявилось бы в том, что кусок металла имел бы положительный заряд, а это тоже проявилось бы на бытовом уровне, и можете легко сообразить в чём. На любой кусок металла налипала бы всякая мелочь, пыль, бумажки, он был бы облеплен всякой гадостью, любой кусок металла должен был бы быть облеплен пылью больше, чем соседний кусок дерева. Этого не наблюдается. Это означает, что электроны не испаряются. А это означает, что функция распределения по энергиям внутри металлов такая, как на рис.1.4. Был бы «хвост» у этой функции распределения, – электроны бы испарялись, и кусок был бы облеплен. Вот, между прочим, первое обстоятельство, которое говорит, что здесь что-то не то с нашими представлениями. Действительно, функция распределения по энергии электронов в металле имеет вид не такой, как на рис.1.3, а такой. Имеется некоторая энергия , и электроны имеют энергию в интервале . Если взять интервал энергии , то закрашенная площадь даст число электронов с энергией в этом интервале, а электронов, энергия которых больше , там нет вообще.
Тот факт, что металл не облеплен пылью, говорит, что нет хвоста, то, что обрыв такой резкий, из этого сказать нельзя, но где-то эта функция должна оборваться.
Если рисовать потенциальную энергию электронов в металле, то это можно изобразить так: вне металла уровень постоянный, там нет электрического поля, а внутри металла потенциальная энергия падает. Это соответствует тому, что в этой области действует сила , затягивающая электроны, внутри электрон опять свободен, сила на него не действует, и внутри потенциальная энергия снова постоянна. Вот такая картина потенциальной энергии (рис.1.5).
Полная энергия электрона это сумма потенциальной и кинетической энергии. Если я нарисую , на которой обрывается функция распределения, то мораль такая: полная энергия электрона лежит в пределах от дна этой ямы до этого уровня . И полная энергия меньше той, что электрону надо иметь для того, чтобы он вылез наружу. Уровень Е – для свободного электрона. Самому энергичному электрону (который имеет максимальную кинетическую энергию) внутри металла, чтобы допрыгнуть до края ямы, не хватает куска , эта энергия называется работа выхода.1) Почему может вылетать электрон при освещении светом?
Могут сказать, ничего удивительного нет. Свет это электромагнитная волна, она проникает в металл, в ней есть меняющееся электрическое поле, на электрон действует сила, электромагнитная волна может сообщить ему достаточную энергию, и, если ему повезёт, что с этой энергией он будет иметь направление импульса на границе металла в вакуум, то он вылетит. В этом смысле ничего удивительного нет, всё нормально. Тогда следовало бы ожидать, что чем больше интенсивность падающего света, то есть чем больше амплитуда волны, тем с большими скоростями будут вылетать электроны из металла, потому что тем большую энергию они могут получить от этой волны. И тут первая осечка – на самом деле, не влияет интенсивность света на скорости, с которыми вылетают электроны. Оказалось, что на это влияет характеристика света, совсем вроде бы не имеющая отношения к делу, а именно, частота. Скорость вылетающего электрона зависит не от падающей энергии, а от цвета. Если на металл направить синий свет, то электроны будут вылетать с большими скоростями чем, если светить красным, если светить светом с ещё меньшей длиной волны, то они вообще не будут вылетать, какая бы ни была интенсивность. Вот, это были экспериментальные факты по фотоэффекту, и на этом забуксовала вся наука, которую мы с вами до этих пор изучали.
Вот первый пример, на котором споткнулась теория.2) Были и другие проблемы, тоже на первый взгляд невзрачные, но не находящие решения в рамках этой самой теории, но это была очень внятная не решаемая проблема.
Для решения такого рода проблем пришлось отказаться от волновой теории и признать, что при взаимодействии с веществом свет ведёт себя как поток частиц, то есть вернуться к старым корпускулярным представлениям, которые ещё Ньютон разделял.3)
Чем же отличаются волны и частицы? Светим на кусок металла источником монохроматического света с определённой длиной волны, например зелёным. Измеряем скорости, с которыми вылетают электроны, оказывается, эти скорости меняются в пределах от нуля до некоторой максимальной скорости. Считаем, сколько электронов вылетает в секунду. Когда мы удаляемся от источника, свет делается более тусклым, скорость, с которой вылетают электроны, не зависит от расстояния, число вылетающих электронов зависит. Взрывается бомба, идёт в воздухе ударная волна, её энергия убывает как , понятно, что вблизи воздействие страшное: дома рушатся, людей плющит, но на большом расстоянии воздействие, конечно, уже меньше, ну, и где-то вдали можно сказать: вот рвануло там. А теперь другая вещь. Есть так называемые шариковые бомбы, когда при взрыве летят шарики, эффект совершенно другой. На каком бы расстоянии вы ни были, если этот шарик в вас угодил, будет всё равно летальный исход. Но что меняется? А меняется вероятность попадания. Взрывается такая штуковина, повторяю, если в вас попало, так попало на любом расстоянии, но опять же дальше находиться лучше, потому что меньше вероятность попадания. Вот различие между волной и частицей.
Если иметь в виду эту аналогию, то понятно, что свет при фотоэффекте ведёт себя как частица, как летящая пуля: как бы далеко это движение не удалялось от источника, если произошло взаимодействие, то электрон вылетит с той же самой скоростью. То есть эффект взаимодействия от расстояния не зависит; вопрос заменяет вероятность того, что свет провзаимодействует с электроном. Именно это и говорит, что при фотоэффекте свет ведёт себя не как волна, энергия которой убывает как , а как частица при взрыве шариковой бомбы. Ещё раз повторю, взаимодействие света с веществом происходит так же, как, если бы он был потоком частиц. Эти частицы получили название фотоны.
Энергия фотона связана с частотой. То, что мы в волновой теории называли частотой, а просто визуально это проявляется в цвете, эта вещь определяет энергию фотона: , где h – постоянная Планка. Она появилась немного раньше и по другим причинам (как она появилась, мы это в своё время обсудим). h – это некоторая константа с размерностью , такая величина в физике называется действием. Импульс фотона – это энергия, делённая на скорость света: . Здесь полезно вспомнить релятивистскую формулу для связи между энергией и скоростью или, что тоже, с импульсом: . Когда импульс равен нулю (p = 0), , это так называемая энергия покоя. Обсуждали мы в своё время, что теория относительности обнаружила связь между энергией и массой.
Когда в квантовой механике говорят о частице, то образ объекта локализованного в пространстве и обладающего определёнными свойствами оказывается неверным. Частица – это носитель некоторых определённых свойств, например, объект с массой покоя 10-13кг, зарядом, равным заряду электрона, со спином ½ (есть такая характеристика) называется электроном и рассматривается как частица. Частица классически – локализованный объект, являющийся носителем свойств. В квантовой механике свойства остаются, носители исчезают. «Алису в стране чудес» кто читал, знают, на дереве сидел улыбающийся кот, а потом он начал исчезать, растворяться, и исчез, и осталась одна улыбка. С понятием частицы произошло то же самое: классическая частица (кот) исчезла, растворилась, а её свойства (улыбка) остались. Вот в квантовой механике оперируем именно этими улыбками без кота, на самом деле, физике этого достаточно.
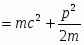
Фотон – это частица, для которой масса равна нулю, и для фотона . Если , то говорят об ультрарелятивистских частицах. Тогда этим слагаемым в формуле для энергии можно пренебречь, и для них тогда Е тоже будет порядка .1)
Я начал с того, есть ли ещё частицы, которые имеют массу, равную нулю, и, стало быть, движутся со скоростью света. Похоже, что нет. Долгое время претендентом на то было нейтрино, и сначала с уверенностью считали, что масса нейтрино ноль, потом, лет 20 назад, возникли сомнения: масса близка к нулю (измерения давали массу порядка 10эВ), но вопрос до сих пор повис. Неясно равна нулю масса нейтрино или нет, других претендентов вообще нет, поэтому фотон пока единственная частица с массой равной нулю. Конечно, трудно себе представить, что это за частица с массой ноль. На самом деле особо не надо напрягаться: мы не можем её взять в руки, фотон всегда будет носиться относительно нас со скоростью света, а если нельзя взять в руку, то нет смысла думать о том, как понимать массу этой частицы.
, откуда берётся нерелятивистская формула? Если , можно написать следующее: , а с другой стороны , и тогда .
Фотон это частица, у которой масса равна нулю или, чтобы не было недоразумений, масса покоя равна нулю. Частица с нулевой массой обязана двигаться со скоростью света в любой системе отсчёта. Будете ли убегать от неё, всё равно её скорость равна скорости света.2)
2
Имеются такие явления, для которых свет демонстрирует волновые свойства (дифракция, интерференция), имеются явления, когда он демонстрирует корпускулярные свойства (например, фотоэффект), возникает естественный вопрос, что же он такое на самом деле, волна или частицы? Кто был прав, Ньютон или Гюйгенс, которые придерживались на первый взгляд взаимоисключающих точек зрения? Ответ такой – вопрос, что он такое на самом деле, предполагает ответ из двух взаимоисключающих альтернатив, или он есть то, или другое, или он есть ни то и ни другое. Это означает, что свет более сложный объект, чем можно было себе представлять. Тут надо иметь в виду вот что: понятия «волна» и «частица» это наши изделия, мы пытаемся описать мир в понятиях, которые мы придумали, удачно или неудачно. Неудачные вымирают, удачные же остаются, но надо иметь в виду, что это всегда наши понятия, и, в общем-то, они могут оказаться более сложными и не укладываться в рамки, в которые мы пытаемся их запихнуть с помощью языка.
Приведём пример. Скажем, у нас два слова: мы знаем, что такое стол, и мы знаем, что такое стул. Кто-то приходит и раз – ставит табуретку, и спрашивает, что это такое. Четыре ножки, ровная поверхность – это стол, с другой стороны на ней сидят – это стул. На самом деле это не стол и не стул, а, так сказать, по потребности может быть и тем и другим. Значит, какой выход? Надо придумать специально новое слово «табуретка».
Оказалось, что реальность не делится на классы понятий волны и частицы, мы дальше увидим, что положение ещё более драматично. Поскольку нового слова для такого объекта как свет ещё не придумали, приходится пользоваться такими выражениями, что в некоторых ситуациях свет ведёт себя как волна, в некоторых как частица. Важно, чтобы эти ситуации были действительно различными.1) Имеется чётко ограниченный круг явлений, когда объект проявляет корпускулярные свойства, и вполне определённые ситуации, когда объект проявляет волновые свойства. 2) Никаких проблем нет.
Конечно, должен быть соответствующий математический аппарат и математическая теория, которая позволяет давать ответы на соответствующие вопросы. Повторяю, дальше, когда мы будем рассматривать квантовую теорию, там мы будем сталкиваться с ещё более удивительными и драматическими проявлениями вот этой дилеммы волна – частица.
Закончим рассмотрение фотоэффекта. Напомню, на металл падает свет, из металла вылетают электроны, тогда это иллюстрируется такой энергетической диаграммой (рис.1.5).
Если в металл проникает фотон,3) имеющий энергию большую, чем работа выхода, то электрон вылетит из металла, и избыток энергии пойдёт на его кинетическую энергию, и мы тогда видим, что
.
Это знаменитая формула Эйнштейна. Эйнштейн в 1921 году получил Нобелевскую премию за это, не за теорию относительности, а вот за эту вещь, которую теперь может написать любой школьник. Казалось бы за что премия? Вот за то, что надо было осознать, что свет может представляться как поток частиц, корпускул, отказаться от господствующей точки зрения.
Видно, что если энергия фотона меньше работы выхода, электрон её поглотил, подскочил и всё равно из ямы не выскочил, фотоэффект не происходит. Если металл освещать светом с частотами меньше, чем , то при таких частотах фотоэффект не происходит.4)
Куда деваются фотоны, когда они выбивают электроны? Фотоны отличаются от пуль тем, что для них нет закона сохранения частиц: вот, родился фотон, он не сидел в атоме, как пуля в ружье, потом поглотился другим атомом и исчез.
Куда деваются электроны, когда их выбивают фотоны? Имеем кусок металла, светим на него из фонаря, из металла вылетают электроны, сколько их вылетает и до каких пор они будут вылетать? Когда какое-то количество электронов вылетело и ушло на бесконечность (если у нас один шар на свете и больше ничего нет), то, металл приобретёт положительный заряд, и, в конце концов, этот заряд станет настолько большим, что максимальной кинетической энергии, с которой вылетает электрон, не хватит, чтобы уйти на бесконечность. Что тогда будет происходить? Электрон вылетел и летит обратно. Это означает, что всякий кусок металла при освещении должен иметь некоторый положительный заряд, и он окружён облаком электронов, которые вылетают и затягиваются обратно.
2. Эффект Комптона
Это в своё время был решающий эксперимент, который должен был подтвердить вот эту корпускулярную теорию, что свет при взаимодействии с веществом проявляются корпускулярные свойства. Речь идёт о рассеивании света на электронах. Мы уже обсуждали рассеивание света (почему небо синее), электрон колеблется в поле падающей волны с частотой волны, излучает вторичные волны с той же частотой, и они представляют рассеянный свет. Это, кстати, взаимодействие света с веществом, оно должно подпадать вот под эту корпускулярную теорию. По корпускулярной теории рассеивание происходит иначе.
Мы имеем электрон, на электрон налетает фотон, обладающий определённой энергией и импульсом. Происходит столкновение, нельзя фотон уподоблять бильярдному шару, и электрон нельзя уподоблять шару, они как-то взаимодействуют и разлетаются. Мы имели неподвижный электрон и фотон, конечная ситуация: электрон вылетает из этой области взаимодействия и фотон, но поскольку электрон имеет какую-то энергию, то энергия фотона должна быть меньше исходной: . Значит, рассеянный фотон должен иметь частоту меньше, чем частота падающего света. Вот ситуация, которая в рамках волновой теории описывается, в рамках корпускулярной, и результаты не совпадают. Есть ситуации, которые одинаково описываются в обеих теориях, то есть, дают одинаковые результаты. Здесь результаты разные. Посмотрим теперь количественно.
Энергия до столкновения это энергия фотона и , , энергия покоя неподвижного электрона. Энергия после столкновения: энергия фотона , энергия электрона . Импульс в проекции на ось x до: , после: , на ось y до: 0, после: . Законы сохранения энергии и импульса нам дают три уравнения:
Вот, три этих уравнения описывают столкновение. Считаем известной начальную ситуацию, то есть, заданы величины и всё, неизвестные величины: , углы . У нас неизвестных пять штук, уравнений три, это означает, что мы не можем исход этого столкновения однозначно описать.1) Нас будет интересовать частота в виде функции от угла рассеивания .
От угла мы можем избавиться, возведя последние два уравнения в квадрат и сложив их: . Из наших уравнений, возведённых в квадрат
выразим , учитывая, что .
Это мы нашли импульс рассеянного фотона, выраженный через импульс налетающего фотона и угол рассеивания фотона.
И здесь сразу можно усмотреть, почему неправильная была предъявлена теория «Почему небо синее?», вам на экзамене её приходилось отвечать, почему она, тем не менее, могла быть? По корпускулярной теории частота рассеянного света должна быть меньше частоты падающего, а по волновой они одинаковы. Видно, что, если , то, конечно, . Мораль такая: при не слишком больших импульсах фотона, а на языке волновой теории при не слишком больших частотах, действительно, классическая теория даёт правильные результаты, но при больших частотах должны наблюдаться отклонения. Так как импульс линеен по частоте, имеем:
Действительно, были проделаны эксперименты,11) и эта формула подтвердилась. Эффект Комптона подтвердил корпускулярные свойства света.
3. Давление света
В рамках корпускулярных представлений задача о давлении света элементарно решается, хотя из волновой теории следует, что свет должен оказывать давление при падении на поглощающий или отражающий экран.
Когда световая волна падает на поверхность металла, то напряжённость электрического поля вызывает ток с плотностью . На элемент объёма действует сила , где - это магнитная составляющая падающей волны. Действительно, эта сила направлена в сторону падения волны и давит на поверхность, можно рассчитать величину этого давления. Но эта же задача в рамках корпускулярных представлений решается просто элементарно.
Имеется мишень, поток частиц, которые застревают в этой мишени. Эти частицы несут с собой импульс, а сила это изменение импульса частиц, пересекающих данную площадку за единицу времени, это изменение импульса легко сосчитать.
Пусть у нас имеется поток света с интенсивностью , это энергия, падающая на единицу площади за единицу времени (вектор Пойнтинга). На площадку падают фотоны, их число за время можно найти, разделив падающую энергию за это же время на энергию одного фотона.
Изменение импульса за единицу времени это есть сила:
То есть давление света при полном поглощении это интенсивность света, делённая на скорость света, при полном отражении (при нормальном падении) давление удвоится.
Сила давления мала или велика? Для обычной интенсивности света (лампочка 40 Вт), можете легко определить силу света на заданном расстоянии, это величина порядка 1Па. Это не значит, что вообще давление света мало. Плотность энергии в лазерном луче достигает сотен атмосфер, лазерный луч пробивает железную стену, не проплавляет, а пробивает. В принципе, можно поставить на тележку радиопередатчик с направленной антенной, чтобы он излучал только в одну сторону, – появится реактивная сила. В своё время (в 60-х годах) модно было рассуждать о межзвёздных перелётах. Фотонные ракеты, кстати, единственный более-менее реальный способ межзвёздных перелётов. На обычном топливе достичь околосветовых скоростей невозможно. Идея была такая: на ракете имеется запас вещества и антивещества, потом электроны с позитронами аннигилируют, и всё это превращается в энергию излучения. Это единственный на сегодняшний день реальный способ, хотя тоже фантастический. Кинетическая энергия равна: , здесь корень определяет замедление времени. Если вы, например, хотите, чтобы у вас время текло в 100 раз медленнее, чем на Земле, чтобы можно было слетать за приемлемое для себя время куда-нибудь, то , и . Значит, для того, чтобы полезный груз массой 100т разогнать до таких скоростей, должно проаннигилировать 100т вещества. Для сравнения: Солнце излучает 4 миллиона тонн в секунду.1)
§3. Тепловое излучение
1. Абсолютно чёрное тело
2. Закон Кирхгофа
3. Закон Вина
Все тела при температуре выше абсолютного нуля излучают электромагнитные волны. Этот кусок мела, я, вы, полы, тут всё излучает электромагнитные волны. Это излучение называется тепловым излучением. Механизм излучения простой: в конечном итоге все тела состоят из заряженных частиц, которые при температуре выше абсолютного нуля находятся в состоянии хаотического движения, а дёргающийся заряд излучает электромагнитные волны.2)
Тепловое излучение – следствие хаотического движения заряженных частиц, а оно происходит во всём диапазоне. Это означает, что длины волн при тепловом излучении меняются так: . Понятно, что полная энергия как-то распределяется по длинам волн.1) Значит, если это энергия, излучаемая в интервале , то мы можем написать . Очевидно, что на малых интервалах энергия линейна по интервалу, и она должна зависеть от длины волны. Тогда пишут: , где функция называется спектральной плотностью излучения.2) Эта функция характеризует каждое тело. Любое тело имеет свои предпочтения: на одной длине волны излучает больше, на другой меньше, это зависит от его конкретного устройства.
Имеется другая важная характеристика – монохроматическая поглощательная способность, определяется так: , это лучше переписать так: . Вот на этот стол падает энергия извне, часть этой энергии поглощается, а часть отражается, эта поглощательная способность определяет склонность тела к поглощению на данном интервале длин волн, .
Для идеального зеркала, которое отражает всё падающее излучение на всех длинах волн, . Наоборот, для тела, которое ничего не отражает ни при какой длине волны, но соответственно всё поглощает, . Значит, определяет абсолютно чёрное тело, такие тела есть.
3
Мы остановились на том, что абсолютно чёрное тело это тело, для которого на всех длинах волн, то есть оно поглощает всё падающее на него извне излучение и его не отражает. Мы видим определённые тела вследствие того, что мы видим отражённый от них свет, то есть мы видим отражённые электромагнитные волны,3) а если тело ничего не отражает, то, конечно, оно будет чёрным. Скажем, здесь сейчас кто-нибудь из вас стал бы абсолютно чёрным, как бы это воспринималось? А вот такой контур абсолютно чёрный без всяких деталей.4)
Для света нет материальных объектов абсолютно прозрачных, а вот для нейтрино, например, практически всё абсолютно прозрачно.1)
Есть природный объект, чёрная дыра, который является чёрным в этом смысле: всё, что на дыру падает извне, и вещество, и излучение, падает туда совершенно необратимо и безысходно.2) Но не надо таких экзотических объектов, чтобы реализовать абсолютно чёрное тело. Полость с маленькой дыркой даёт возможность реализовать абсолютно чёрное тело, а именно, вот эта поверхность дырки в полости ведёт себя как абсолютно чёрное тело по понятной причине: сюда заходит какое-то излучение, дальше оно испытывает там многократное отражение и выйдет обратно ничтожная часть того, что туда зашло, потому что при каждом взаимодействии со стенкой излучение поглощается. Окно в доме чёрное (без стекла, застеклённые окна отражают), если оно маленькое и помещение там большое. Так что абсолютно чёрное тело реализуемо.
2. Закон Кирхгофа
Можно установить один замечательный и неочевидный закон, связывающий излучательную и поглощательную способности тела. Полость, стенки которой поддерживаются при температуре T, значит, эта полость заполнена электромагнитным излучением (понятно, что стенки излучают) и находится в равновесии со стенками. Важное обстоятельство: спектральный состав равновесного излучения в полости не зависит от того, как устроены стенки этой полости.3)
Более наглядно тут можно такой привести пример. Скажем, имеем полость зеркальную, стенки которой отражают всё падающее на них излучение, не меняя спектрального состава. Запустим туда световой луч, например, красного цвета и захлопнем дверцу. Он там начнёт метаться, и, конечно, вся эта полость будет заполнена красным светом. А теперь представьте следующее: этот ящик заполнен красным светом, и мы туда кинем маленькую пылинку, что будет происходить? Эта пылинка начнёт нагреваться и переизлучать, она поглощает монохроматический свет с определённой длиной волны, а излучает «кашу» (она излучает во всём спектре). В конце концов, процесс размазывания энергии по частотам завершится, и мы получим равновесное излучение, которое в дальнейшем не меняется, и его спектральный состав не зависит от того, какая там была пылинка.
Есть универсальная функция, мы её обозначим , которая называется спектральной плотностью равновесного излучения, равновесное излучение в любой полости будет описываться вот этой функцией. Что означают слова «спектральная плотность»? То, что энергия, которая приходится на интервал , будет равняться , то есть спектральная плотность определяет, какая энергия приходится на заданный интервал длин волн.
А теперь мы хотим получить закон Кирхгофа. Рассмотрим в полости площадку величиной , эта площадка излучает внутрь полости, , с другой стороны на эту площадку падает излучение из полости, определяемое спектральной плотностью, , и часть этого излучения площадка поглощает. Когда устанавливается равновесие, излучаемая площадкой энергия в заданном интервале должна равняться поглощаемой энергии в данном интервале (иначе эта площадка либо охлаждалась бы, либо нагревалась, а мы рассматриваем равновесие), . Подставляя выражение для падающей энергии в равенство , получаем: , как я сказал раньше, поглощаемая и излучаемая энергии равны, следовательно, или
Что это означает? это спектральная плотность излучения конкретного материала стенок, это функция, характеризующая, опять же, материал стенок. Для разных тел эти функции различны, но их отношение, оказывается, не зависит от тела и представляется некоторой универсальной функцией. Это означает, что, чем тело больше поглощает при температуре T на длине волны λ, тем оно больше излучает при данных температуре и длине волны. Если задуматься, этот закон очень удивительный. Излучение идёт, вроде бы, из всего тела (это излучение атомов среды), а поглощение, оно, вроде бы, связано с поверхностью,1) и то, что отношение этих величин не зависит от природы тела, от характера поверхности, конечно, удивительно.2) Закон не учитывает никаких деталей, он просто основан на законе сохранения энергии, его справедливость безусловна. Мало есть законов такой мощности и общности.
Мы теперь можем осознать, что представляет собой эта функция . Если , то для абсолютно чёрного тела мы получаем , и это позволяет проинтерпретировать спектральную плотность равновесного излучения в полости: спектральная плотность равновесного излучения в полости это монохроматическая излучательная способность абсолютно чёрного тела.
3. Закон Вина
Мы уже видели, что маленькая дырка в полости моделирует абсолютно чёрное тело, а полость заполнена равновесным излучением, тогда излучение, выходящее из этой дырки и есть излучение чёрного тела.1)
Я уже говорил, что получить для произвольного тела теоретически монохроматическую излучательную способность, то есть спектральную плотность вот этого стола, например, невозможно, реальные тела устроены очень сложно, чтобы теория там могла работать, а получить теоретически функцию , конечно, теория должна.2)
Мы её получим дальше, а сейчас я просто приведу её вид.
Температура T2 больше T1, с ростом температуры эта функция растёт (на всех длинах волн излучение увеличивается), но максимум съезжает в область коротких волн.3) Длина волны λmax очень просто зависит от температуры: закон Вина
.
При повышении температуры длина волны, на которую приходится максимум, смещается.4)
4. Закон Стефана-Больцмана
И последнее – закон Стефана-Больцмана: полная энергия излучения пропорциональна четвёртой степени температуры, то есть . Температуру в 2 раза повысим, мощность излучения возрастёт в 16 раз. Тогда пишут так:
.
По размерности , а .
Из всего сказанного ясно, что абсолютно чёрное тело при данной температуре излучает больше любого тела.
Выгоды от научного знания.
Если, например, вы перемещаетесь жарким днём по открытому солнечному месту, то выгодно заворачиваться в белую простыню для того, чтобы увеличить отражательную способность и уменьшить поголощательную. А если вы в жару сидите в тени, не на солнечном свете, то выгодно заворачиваться в чёрную простыню для того, чтобы увеличить мощность своего излучения, потому что, чем объект чернее, тем больше при данной температуре излучает.
Элементы квантовой механики
Я уже упоминал, что строение вещества, поведение систем на атомарном уровне классическая механика оказалась бессильной описать, то есть свойства систем атомарных масштабов не вписываются в правила игры классической механики и классической физики. Оказалось, что всё потому, просто, что исходные представления классической механики оказываются неприменимы в этом случае. И самое главное, что вообще исходное базовое понятие классической механики «частица», локализованный в пространстве объект, движущийся по определённой траектории с определённой скоростью, это исходное представление оказалось неприменимо. Хотя, употребляются слова «частица электрон летит», но картину электрон, который летит по определённой траектории, в каждой точке с определённой скоростью, выкиньте из головы, весь этот образ совершенно не работает, и мыв увидим, почему.1) Классическая механика неприменима в этой области.
§4. Волновые свойства частиц
Проведём мысленный эксперимент. Пусть у нас имеется экран, в экране щель, на эту щель падает поток частиц (для определённости электронов),2) на пути этого пучка ставим непрозрачный экран со щелью, а за ним ставим другой экран, на котором регистрируются попадания электронов.3) Если пучок достаточной интенсивности, то мы будем наблюдать вот такое распределение интенсивности свечения (рис.1.а). Если электроны пускать поштучно, наберём статистику, получим вот такое распределение, пока всё нормально.
А дальше мы делаем вот что: ставим две щели, что надо ожидать? От одной щели получаем такое распределение, от другой тоже, они накладываются, и ожидаемая картина такая (рис.1.b).
На самом деле, ничего подобного. Если мы поставим две щели, ожидаемая картина рис.1.b, а на самом деле мы получим вот такую картину распределения от двух щелей (рис.1.с).
Что тут удивительного? А удивительно вот что: в эту точку 1) от одной открытой щели они попадают, если её закрыть, другую оставить, от другой они сюда тоже попадают, открываем две щели – не попадают. От каждой попадают, от двух щелей не попадают, это, конечно, уже удивительное обстоятельство. Можно подумать, что эти пучки электронов от двух щелей как-то хитро взаимодействуют друг с другом и дают такое диковатое распределение. Можно проверить взаимодействуют или нет: пучок электронов можно сделать очень слабым, ну, поштучно пропускать (один пустили и ждём, другой пустили и ждём…), тогда мы будем регистрировать на экране одиночные акты попадания (тут выпала точка, тут выпала точка…). Будет следующее: если они летят поштучно при открытой верхней щели, а нижней закрытой, мы получим, наберя статистику, вот такое распределение (рис.1.a), закроем верхнюю щель, откроем нижнюю, получим такое же распределение, откроем обе щели – опять такое (рис.1.с).
Он летит один, – если открыты две щели, он сюда (см. примечание 1) никогда не попадёт, открыта одна щель, он сюда попадёт. Тогда спрашивается, откуда он, подлец, знает, что делается со второй щелью, открыта она или закрыта она, или он проходит одновременно через две щели, раздваивается? Тоже можно проверить, как проверить? В принципе, можно наблюдать прохождение частицы через щель (грубо говоря, в микроскоп). Посадим двух наблюдателей, начнём поштучно пропускать электроны, тогда, если один наблюдатель кричит «есть», то другой молчит, у него нет, – электрон не раздваивается. Опять встаёт тот же вопрос, откуда он знает о второй щели? И ответ такой: вопрос снимается сам собой! Если мы здесь поставим этих соглядатаев, которые фиксируют прохождение электронов либо здесь, либо здесь, вот эта вся картина (рис.1.c) разрушается, получается вот такая (рис.1.b). Вот таково поведение частиц, и именно вот это поведение выражается словами частицы обладают волновыми свойствами. Почему волновыми? Да, потому что это типичная картина интерференции от двух щелей.
Если мы имеем две щели, то мы должны считать, что на эти щели падает волна, получается вот такая интерференционная картина (это только, если мы имеем две щели и никаких микроскопов, никаких соглядатаев, которые ловят эту частицу на месте преступления). Если мы имеем две щели с микроскопами, частица ведёт себя как частица и никакой интерференции не происходит. Это резюмируем так, что в определённых ситуациях частицы проявляют волновые свойства, то есть демонстрируют вот такую интерференционную картину, в других определённых ситуациях они ведут себя как нормальные частицы.
Ну и тогда понятно, куда же тут соваться нам с классической механикой? Никакой интерференции, конечно, классическая механика не предусматривает. Тот факт, что открыты две щели или открыта одна щель влияет на распределение частиц на экране, говорит о том, что понятие траектории неприменимо, потому что, когда идёт такое распределение, нельзя приписать электрону определённую траекторию. Потому что траектория должна была бы проходить либо здесь, либо здесь, она не может пройти одновременно через две щели, а он ведёт себя так, как будто он знает про вторую щель. Значит, понятие траектории не применимо, ну и соответственно рушится тогда вообще вся схема, которую мы изучали (классическая механика).
Для описания поведения частицы в атомарных масштабах пришлось создать совершенно другую науку. В начале девятисотых годов начало появляться такое неуютное ощущение, что с физикой что-то не в порядке, она не справляется с проблемами, и вот за четверть века всё это было решено.
1.Волновая функция
Вот теперь мы начнём рассматривать, как были решены эти проблемы. Теперь вы можете забыть всю классическую механику. Многим из вас, даже очень многим из вас, это будет не легко, помню, как многие из вас на зачёте по механике мучились. Выкиньте всё это из головы и забудьте как страшный сон, у вас впереди новое, похуже классической механики. Опять вы будете мучиться, но то вы можете забыть.
Состояние частицы в классической механике задаётся радиус-вектором и импульсом. Что означает задать состояние? Это означает на столько охарактеризовать объект, чтобы дальше соответствующий раздел науки мог предсказать, как этот объект будет развиваться. Понятно, что смысл этих слов в различных разделах физики различен. Вот, мы недавно электричество рассматривали, что значит дать исчерпывающее описание объекта с точки зрения электричества? Надо дать распределение плотности заряда и плотности тока. Что значит задать состояние объекта с точки зрения теоретической механики? Это значит задать распределение масс, то есть плотность обычную, и напряжения. В квантовой механике мы не можем задать вот эти переменные.
Состояние частицы в квантовой механике задаётся волновой функцией , то есть функцией координат и времени, заданной в каждой точке пространства, это комплексная функция. Значит, что вы должны уловить: в классической механике мы задаём координаты и импульс частицы, в квантовой механике этого сделать нельзя, а вот когда мы хотим охарактеризовать состояние частицы, мы должны задать вот такую функцию.
Волновая функция содержит исчерпывающую информацию о состоянии частицы, то есть она позволяет дать ответы на все разумные вопросы относительно характеристик частицы. Слово «разумные» я употребил тут не ради красного словца, а со смыслом. Дело в том, что те вопросы, которые в рамках классической механике выглядят и являются разумными, не являются разумными в квантовой механике. Ну, сейчас проиллюстрируем это дело. Волновая функция имеет такой смысл: это прежде всего комплексная функция, и - это есть вероятность того, что частица будет обнаружена в окрестности точки , в элементе объёма . Первое важное обстоятельство: предсказания в квантовой механике носят принципиально вероятностный характер, это означает, что законы природы на фундаментальном уровне носят вероятностный характер.
Это надо прокомментировать. Скажем, вопрос, где находится частица, является неразумным, на него не может быть дан ответ, потому что само понятие частица находится в какой-то точке оказывается лишённым смысла. Вот, молекулы воздуха тут летают, тоже вводится вероятностное описание (просто мы не можем уследить за каждой из этих молекул), мы знаем, что она где-то есть, но мы не знаем где она. Поставим ящик, мы можем рассчитать вероятность того, что она находится в ящике. Там вероятность это мера нашего незнания, в квантовой механике эта вероятность чисто реальная: пока мы частицу не обнаружили, она потенциально находится всюду, не то, что она где-то есть, а мы не знаем где, само представление, что она где-то есть, лишено смысла. Она потенциально находится всюду, где волновая функция отлична от нуля. А когда мы локализуем это (экран поставили, там электроны обнаруживаются), вот только в этом акте измерения это потенциальное нахождение всюду оно актуализируется. Есть разница в представлениях, что она где-то есть и мы не знаем где, и тем, что она потенциально всюду, пока мы её не поймали в этой точке. Ещё раз повторю, все фундаментальные законы носят вероятностный характер.
5
В прошлый раз мы остановились на обсуждении волновой функции и на такой формуле: . Ещё раз повторю, что вот эта вещь (короче можно записать в таком виде ) это вероятность того, что частица будет обнаружена в элементе объёма в окрестности точки . Волновая функция задана на всём пространстве, и вероятность обнаружения частицы в разных точках различна. Я уже говорил, ещё раз повторю, что в квантовой теории предсказания носят принципиально вероятностный характер, это связано не с тем, что частица по теории вероятности обнаружится, а с тем, что частица где-то есть, а мы не знаем где. Ситуация более драматичная: частица потенциально есть всюду, где , и потом где-то она обнаруживается (что-то такое происходит, где-то там частица провзаимодействовала с чем-то).1)
Если волновая функция частицы известна, то, очевидно, известно всё, что можно знать. Волновая функция исчерпывающе описывает состояние частицы, то есть может дать ответы на все разумные вопросы. Нюанс только в том, что вопросы, которые в рамках классической физики разумны, например, вопрос, где находится частица, разумный, он здесь оказывается неразумным, и ответ на него дать нельзя. Какие вопросы разумны, какие нет, мы дальше увидим по ходу дела, но в квантовой механике обнаружилось, что не на всякий вопрос, сформулированный на обыденном языке, может быть дан ответ.2) Нашей задачей будет научиться давать ответы на разумные вопросы. А пока двигаемся дальше.
§5. Уравнение Шрёдингера
1. Решение уравнения Шрёдингера для свободной частицы
2. Длина волны Дебройля (де Бройля)
3. Волновые пакеты. Соотношения неопределённостей
4. Расплывание волновых пакетов
5. Стационарные состояния
6. Прохождение частицы через потенциальный барьер. Туннельный эффект
7. Связанные состояния. Частица в ящике
Волновая функция описывает состояние, состояние любого физического объекта как-то эволюционирует во времени, и должно быть уравнение, которое будет описывать изменение со временем волновой функции, а ещё состояние объекта изменяется в зависимости от окружающей среды, значит, должно быть уравнение, описывающее изменение состояния в заданной обстановке. Кстати, в классической механике это что за уравнение? Второй закон Ньютона. Уравнение Шрёдингера должно играть здесь ту роль, которую закон Ньютона в классической механике. Понятно, что, если состояние задаётся такой функцией, прилепить сюда Второй закон Ньютона невозможно – он оперирует координатами, ускорениями, а у нас ничего такого нет. Вот уравнение Шрёдингера (нерелятивистское) играет роль Второго закона Ньютона и выглядит так:
(1)
Функция – потенциальная энергия частицы в заданном поле сил. Вот, во Втором законе Ньютона окружающая обстановка вводится в уравнение посредством сил, а здесь потенциальная энергия. Могут быть силы и не потенциальные, и тогда это уравнение будет писаться иначе, но мы к этому позднее ещё вернёмся.
Откуда оно взялось? Ну, это интересный вопрос, как Шрёдингер додумался до этого уравнения, но он не имеет отношения к делу. В теории исходные уравнения постулируются, нет никаких классических способов доказать справедливость уравнений, справедливость или несправедливость определяется тем, работает ли математическая теория, построенная на базе этих уравнений.1) Это уравнение подтверждается тем, что теория, построенная на базе этого уравнения работает и даёт правильные предсказания для всех ситуаций, где она применима.
1. Решение уравнения Шрёдингера для свободной частицы
Смысл этого уравнения, как и уравнений Максвелла, мы будем усматривать из некоторых конкретных ситуаций. Когда мы переберём все возможные ситуации, тогда мы и осознаем смысл уравнения, другого понятия смысла и быть не может.
Свободная частица – это простейший объект в классической механике и, соответственно, простейший объект в квантовой механике. Что такое свободная частица? Это частица, на которую не действуют никакие силы. Как узнать, действуют или не действуют? Возникает наглядное представление о свободной частице: на всём белом свете есть одна частица и всё, удалили всю вселенную, тут заведомо на неё никто не действует, потому что, просто, больше никого нет. Если свободная частица подчиняется законам классической механики, то в любой инерциальной системе она либо неподвижна, либо движется с постоянной скоростью. Теперь этот объект мы будем рассматривать в рамках этого уравнения. Слова «свободная частица» означают, что .1) Можно положить константу равной нулю, не теряя общности, потому что потенциальная энергия определена с точностью до константы, поэтому мы положим , и уравнение будет иметь вид:
(2)
Это уравнение в частных производных, я его не буду решать, я просто предъявлю решение, и мы убедимся, что это действительно решение. В качестве кандидата на решение выдвигаем вот такую функцию: , это уравнение плоской волны (поскольку там волновые свойства наблюдаются, испытаем в качестве решения плоскую волну). Будем испытывать:
фазу обозначим буквой u,
, 2)
, а , таким образом, , теперь . 3)
Подставляем то, что мы добыли, в уравнение (мы хотим убедиться, будет ли эта функция решением уравнения (2)): . И мы видим, что, если , то предъявленная функция будет решением.
Значит, функция
(3)
удовлетворяет уравнению Шредингера для свободной частицы, если константы k, ω не любые, взятые с потолка, а связаны таким образом:
. (4)
Забегая вперёд, дальше будет ясно почему так, а сейчас это будет голословное утверждение: Волновая функция (3) описывает частицу с энергией и с импульсом . Откуда берётся такая интерпретация пока аргументировать не можем, а пока это условие (4) означает, что ! Это, конечно, симпатичный результат, потому что действительно, так как уравнение (1) не релятивистское, .
Теперь, конечно, хочется взглянуть на волновую функцию на базе тех наших смутных знаний о ней. Мы знаем, что есть вероятность обнаружить частицу, смотрим, оказывается . Вероятность обнаружить частицу в этом состоянии (с определённой энергией и с определённым импульсом) всюду одинакова. Волновая функция (3) осциллирует, это бегущая волна, вроде есть движение, но функция Ψ не наблюдаема, это математическая функция, за функцией Ψ не стоит никаких наблюдаемых величин, а наблюдаема , вероятность, вероятность можно измерять: один раз поймали частицу в этом состоянии, другой раз ловим и набираем статистику, оказывается, что мы будем её ловить с одинаковой вероятностью где угодно. Распределение вероятности застывшая картина ( не зависит от t), то есть всё наблюдаемое распределение застывшее. Конечно, одинаковая вероятность найти частицу здесь или в другом угле вселенной неприятна, уж слишком далеко это представление, но надо иметь в виду, что само решение физически не реализуемо: в электродинамике плоская волна обладала бы бесконечной энергией, но решение на самом деле очень полезно.
Математический факт такой, что беря суперпозицию этих функций со всевозможными частотами и волновыми векторами, мы можем получить все решения уравнения Шрёдингера для свободной частицы. Общее решение уравнения Шрёдингера для свободной частицы представляется в виде суперпозиции функций вида (3):
То есть задайте любой вектор , задайте любую константу , запишите функцию (3), ω через вектор выражается, получится частное решение. Суммируя по всевозможным векторам , и подбирая различные константы , вы можете изобразить любое решение этого уравнения.
Мы написали общее решение уравнения. Вы, конечно, должны были удивиться: функция (3) есть решение волнового уравнения, которое выглядит так:
(5)
В (2) тоже, но первая производная! Это замечательное обстоятельство – поиск комплексного решения математически приводит к тому, что уравнение (2) удовлетворяется уравнением волны, хотя, его штатная роль – быть решением уравнения (5).
2. Длина волны Дебройля (де Бройля)1)
Мы сейчас можем понять тот эксперимент с частицами, который наблюдали в прошлый раз. Пусть у нас имеется пучок частиц с определённым импульсом, такой пучок частиц описывается функцией (3) это плоская волна, значит, мы устроим пучок частиц с определённым импульсом, частица с определённым импульсом описывается волновой функцией. Эта волна падает на экран со щелями, дальше из этих щелей выходит сферическая волна, и на экране эти волны интерферируют. Если из верхней щели идёт волна , а из нижней , то в точке A мы будем иметь: .
Что такое ? Это вероятность обнаружить частицу в точке A, если бы не было второй щели. Мы видели, что ожидаемый результат от наложения этих интенсивностей , а эти два слагаемых и дают интерференцию.
Какой длиной волны характеризуются эти функции? Число у нас связано с импульсом частицы: , . Длина волны
(6)
называется длиной волны Дебройля.
Дебройль ещё до всей этой науки выдвинул гипотезу о том, что частице надо приписывать волновые свойства, которые характеризуются вот такой длиной волны. Наводящие соображения – это поведение фотонов (фотоны к тому времени были известны): импульс фотона равняется , и , то есть для фотонов это само собой справедливо. При прохождении частиц через отверстия наблюдается интерференция, длина волны, которая характеризует такую интерференцию, определяется по расстояниям между максимумами и минимумами, и эта длина волны действительно связана с импульсом частиц.
определяет вероятность обнаружить частицу, а сама функция тогда называется амплитудой вероятности. Если частице приписываются волновые свойства с длиной волны , то спрашивается, это волна чего? Волна просто так не бывает: звуковая волна – это идёт волна давления, электромагнитная волна – это волна возмущения электромагнитного поля, волна, приписываемая частице, это волна амплитуды вероятности. Функция Ψ имеет волновой вид, и надо помнить, что сама по себе амплитуда вероятности не наблюдается, то есть нет способа измерить саму функцию Ψ, наблюдаемой величиной является именно вероятность.
Амплитуда не наблюдаема, фаза наблюдаема, и именно фаза определяет интерференционнный результат. Если частицы проходят через две щели и мы не можем сказать, через какую щель проходят частицы, то в точке A складываются амплитуды, если мы здесь поставим микроскопы, то в точке A складываются вероятности. Это правило вводит в рамки теории тот удивительный факт, что, когда мы ставим микроскопы, то нарушается интерференционная картина. Даже можно понять, почему нарушается. Когда мы пытаемся пронаблюдать частицу в щели, а наблюдение это всегда проявляется во взаимодействии,1) надо по крайней мере идти с фонарём, чтобы её осветить, при чём осветить светом с достаточно малой длиной волны.2) Если мы хотим её фиксировать в пределах щели, то длина волны должна быть не больше, чем ширина щели. Это означает, что частота должна быть достаточно велика, а это означает, что импульс фотона достаточно большой (по крайней мере, один фотон должен рассеяться на частице и попасть нам в глаз через микроскоп), и когда этот фотон взаимодействует с частицей, то он, конечно, меняет её состояние. А к чему это приводит с точки зрения волновой картины? Когда мы электрон наблюдаем, то взаимодействие приводит к тому, что фаза волны в этой точке хаотически меняется и волны, идущие от этих щелей, перестают быть когерентными, а когда они перестают быть когерентными, то интерференционные члены дают в среднем ноль. Вот как решается эта задача со щелями.
Ну, и, наконец, последний вопрос – являются ли волновые свойства свойствами какого-то специального сорта частиц (электронов или частиц атомных масштабов)? Ответ – нет, волновые свойства присущи всем частицам. Почему же тогда классическая механика существует и мы никогда не наблюдали интерференционные явления, связанные с пулями или падающими камнями? Ответ – длина волны очень мала: , импульс макроскопических объектов – величина порядка единицы, значит, длина волны для классических объектов – величина порядка 10-34м: . Наблюдать интерференционные явления с такой длиной волны невозможно (размер атома водорода 10-10)! Значит, волновые свойства присущи всем частицам, просто для макроскопических частиц они не наблюдаемы (по той же причине, по какой волновые свойства света не очень наблюдаемы на бытовом уровне).
3. Волновые пакеты. Соотношения неопределённостей
Монохроматическая волна – такая синусоида бесконечной длины – это, конечно, чистая абстракция. Нигде никогда таких волн не бывает. Реальная волна это такая вещь: 1)
Беря суперпозицию синусоидальных волн, мало отличающихся друг от друга по частотам , можно построить, так называемый, волновой пакет, то есть пакет с определённой длиной волны Δx и определённой длительностью Δt.2) Значит, можно получить такое решение [уравнения Шрёдингера], которое называется волновым пакетом. Он ограничен в пространстве и во времени.
Синусоидальная волна имеет скорость, называемую фазовой, . Волновой пакет строится из набора волн с частотами в интервале и волновыми числами . Скорость электромагнитной волны в вакууме не зависит от частоты, но, если есть дисперсия, скорость зависит от частоты. В диспергирующей среде волновой пакет расплывается, поскольку скорости его монохроматических составляющих отличаются друг от друга, весь пакет идёт с групповой скоростью
в окрестности центрального волнового числа k0.1)
У нас для волн, представляющих амплитуды вероятностей есть дисперсия.
И здесь мы снова подбираемся к представлению, почему возможна классическая механика. Если мы имеем решение в виде волнового пакета, это означает, что частица находится где-то в пределах волнового пакета, снаружи вероятность равна нулю, и этот волновой пакет движется с групповой скоростью . Но это и есть классическая скорость частицы! Значит, пуля, обычная пуля, она просто характеризуется очень узким компактным волновым пакетом. В его пределах сидит центр масс пули, и этот пакет много меньше фактических размеров пули, и поэтому она и выглядит как локализованный объект. Но для электрона этот волновой пакет уже даёт большую неопределённость.
6
Мы видели, что решением уравнения Шрёдингера для свободной частицы является функция , она описывает состояние частицы с импульсом и энергией , при этом , это означает, что вероятность обнаружить частицу в любой точке пространства одинакова.
Строго монохроматическая волна – это состояние экзотическое. Таких волн в природе нет. Дальше математический факт: общее решение уравнения Шрёдингера для свободной частицы может быть получено суперпозицией таких решений. Из теории рядов Фурье известно, что, беря суперпозицию таких синусоидальных функций, можно построить функцию отличную от нуля лишь в ограниченной области пространства и равную нулю во всём остальном пространстве, так называемый волновой пакет.
Пусть вдоль оси x идёт такой пакет пространственной протяжённости Δx и ограниченный во времени. Если частица находится в состоянии такой волновой функции (вероятность обнаружения частицы отлична от нуля где-то только в пределах этого пакета), то мы видели, что этот пакет движется с групповой скоростью .
Факт математический: если мы хотим построить функцию отличную от нуля в интервале Δx, то мы должны суммировать экспоненты с различными числами k, но отношение должно быть порядка единицы: ~1. Если мы слепили этот пакет из функций с различными числами k, то это означает, что там присутствуют различные импульсы (каждому k соответствует свой импульс), значит в состоянии, которое представляется волновым пакетом, импульс не имеет определённого значения, и выполняются такие соотношения:
(7)
Интерпретация такая: Δx – неопределённость в x-ой координате, – неопределённость в x-ой составляющей импульса. Утверждается, что эти неопределённости связаны, то есть нельзя одновременно сделать их сколь угодно малыми, как бы мы не изготовляли состояния, мы никогда не добьёмся того, что неопределённости в координатах и импульсе будут сколь угодно малыми. Мы, например, можем изготовлять состояния с всё более точными значениями импульса, тогда значения координат будут делаться всё более неопределёнными. Это называется соотношения неопределённости.
Эти соотношения, так сказать, фирменный знак квантовой механики, вот, формула – это фирменный знак теории относительности, а это – квантовой механики. В этих соотношениях увязаны корпускулярные и волновые свойства. Если бы частицы вели себя так, как им предписано в классической механике, то это были бы объекты, которые имеют точное значение координат и точное значение импульса, волна не может иметь точного значения координат, волна размазана в пространстве всегда, и, значит, эти свойства частиц стыкуются более-менее вот в этих соотношениях. То есть в соотношениях (7) в концентрированном виде выражается всё это необыкновенное поведение частиц в атомных масштабах.
4. Расплывание волновых пакетов
Предположим, что мы создали такое состояние частицы, когда она локализована в ограниченной области пространства, то есть соорудили в начальный момент времени волновой пакет, длина которого Δx0 (мы знаем, что частица где-то здесь в окрестности какого-то значения x). Фазовая скорость волн, из которых построен пакет равна , и, поскольку имеет место такое соотношение , мы видим, что фазовая скорость зависит от k, то есть каждая синусоида, составляющая пакет, движется со своей скоростью. К чему это приведёт? Каждая синусоида начинает сдвигаться относительно другой, между ними меняются фазовые соотношения и этот пакет начинает растягиваться.1) Можно оценить это расплывание.
Разброс в импульсе , этому разбросу в импульсе соответствует разброс в скоростях , где m – масса частицы, а этому разбросу скоростей будет соответствовать увеличение расстояния , то есть, если в начальный момент времени волновой пакет имел длину Δx0, то к моменту времени t он будет иметь такую длину.2)
Там, где существенны волновые свойства, там рушится понятие траектории. Мне был приведён контрпример – наблюдаются траектории в камере Вильсона. Действительно, в камере Вильсона электроны оставляют следы, как это со всем сообразуется? Сообразуется следующим образом.
Во-первых, как получается след в камере Вильсона? В чистом небе высоко где-то летит самолёт, которого почти не видно, и за ним тянется ровный белый след – рисуется его траектория. Тот же механизм и в камере Вильсона. Там на этих высотах чистая атмосфера и водяной пар, переохлаждённый водяной пар (на высоте 10000м температура порядка –40оС). Водяной пар при таких температурах должен был бы конденсироваться, но для конденсации нужны конденсаты.1) Летит самолёт, выбрасываются частицы (сгорает топливо в двигателе), они становятся центрами конденсации и на них высаживаются капли воды, и мы получаем такую белую полосу. Камера Вильсона действует таким же образом. Под поршнем, скажем, пар, и внезапно поршень выдвигают, начинается адиабатическое охлаждение. Пар переводится в состояние охлаждённого пара, в этот момент залетает частица, она производит ионизацию атомов в воздухе, эти ионизированные атомы делаются конденсатами, на них высаживаются капли воды, мы получаем видимый след. А теперь, как это связано с теорией?
Вот у вас летит электрон это волновой пакет. Я рисую гребни волн. В точке 1 произошла ионизация, и мы получили здесь каплю воды. Волновая функция скукожилась сразу в окрестности этой точки, но этот пакет обладает импульсом, он продолжает двигаться в том же направлении, эта волновая функция снова расплывается. Следующая конденсация произошла в точке 2, и так далее. На самом деле, толщина этого следа по атомным масштабам очень велика. Действительно, каждая капля, которая образуется (это измерение координаты электрона), ложится хаотично в пространстве, но все капли укладываются в след, толщина которого много больше длины волны. Они хаотически обнаруживаются в разных точках в пределах волнового пакета, ну а для нас это выглядит как такая траектория. Если бы мы были сами атомных масштабов и сидели там внутри, то мы видели бы, что он тут вспыхнул, потом он там вспыхнул, и никакой траектории мы тогда б не увидели. Таким образом вся эта картина увязывается со следами в камере Вильсона.
5. Стационарные состояния
Мы нашли одно специальное решение в виде плоской волны, сейчас мы найдём ещё один класс специальных решений для уравнения Шрёдингера
Положим , математик говорит «будем искать решение в таком виде». Каков смысл этого решения?
Волновая функция это функция координат и времени, мы хотим найти функции такого типа, чтоб были разделены временная и пространственная переменные.1)
Пока чисто математическая проблема.
При подстановке мы получаем уравнение: . Отсюда дальше . Слева у нас стоит функция от времени, а справа стоит функция от координат, и вот это равенство, что некоторая функция от времени при любых значениях t равна некоторой функции от координат при любых значениях координат. Как это может быть? Только так, что обе эти функции константы. Это означает, что мы имеем два уравнения и в то же самое время.
Сразу получаем, что , а функция удовлетворяет такому уравнению
. (8)
И мораль такая: волновая функция Ψ вида
(9)
удовлетворяет уравнению Шрёдингера, где функция удовлетворяет уравнению (8), которое называется уравнением Шрёдингера для стационарных состояний.
Это математический факт, какая физика за этим стоит? А физика такая – функция вида (9) описывает стационарное состояние частицы с энергией E. Стационарное означает, вообще-то, независящее от времени, а почему оно не зависит от времени, когда в (9) время явно сидит? Ещё раз напомню, сама волновая функция не имеет физического смысла, но физический смысл имеет квадрат её модуля, а и от времени не зависит.
Функция даёт распределение вероятностей обнаружить частицу в той или иной точке пространства, то есть она даёт пространственную конфигурацию этого состояния, и оно не зависит от времени. Мы имеем застывшую картину, а энергия этого состояния вполне определённая. Значит, есть энергия, но нет кинематики. Мы увидим дальше, что, например, электрон в атоме может находиться в стационарных состояниях с определённой энергией, а что касается пространственной зависимости вероятности обнаружить его в той или иной точке, то это застывшая картина. И, кстати, из этого мы можем понять, как будет решена проблема, которая возникает при применении классической механики к атому.
Как только обнаружилось, что в атоме есть ядро, то сразу родилась планетарная модель атома: положительное ядро и электроны, вращающиеся по орбитам, как планеты вокруг солнца. В эту модель сразу занеслось противоречие, потому что электроны, вращающиеся вокруг ядра, должны излучать электромагнитные волны за счёт своей энергии, – он очень быстро должен был бы свалиться на ядро.1) Мы сейчас видим, какова будет разгадка этой загадки.
Если электрон в атоме находится в стационарном состоянии, которое описывается функцией (9), то это застывшая картина, нет никакого движения заряда, со временем не меняется – нет излучения.
Вот таким образом решается проблема с электроном в атоме. Я ещё раз говорю, что этот образ электронов, вращающихся, как планеты вокруг солнца, вокруг ядра, который в классической физике присутствует, не имеет отношения к действительности.
Кстати, волновая функция описывает стационарное состояние (волновая функция для свободной частицы это частный случай стационарного состояния). Для плоской волны есть импульс, импульс это динамическая характеристика, а кинематики, то есть чего-то такого движущегося, нет, потому что вероятность всюду одинакова. Вот, когда мы возьмём волновой пакет, мы получим кинематику, но зато потеряем определённость в импульсе.
6. Прохождение частицы через потенциальный барьер. Туннельный эффект
Мы нашли одно частное решение для свободной частицы, когда не было потенциальной энергии, рассмотрим сейчас задачу чуть более сложную. Пусть потенциальная энергия имеет вид (рис.6.1, а).
Физика такая: в области x<0 сила, действующая на частицу, ноль, при x>0 сила, действующая на частицу тоже ноль (потенциальная энергия постоянна), но зато в окрестности нуля действует сила . График силы изображён на рисунке 6.1, б. Для такой ступеньки производная бесконечно велика, это означает, что в окрестности нуля действует бесконечно большая сила, направленная влево, но, хотя сила бесконечно большая, работа против этой силы тем не менее конечна.
Наглядно: вот стоит абсолютно твёрдая стенка, абсолютная твёрдость означает, что при столкновении со стенкой отбрасывающая сила бесконечно велика, но тем не менее стенка пробиваема: если налетающая частица имеет кинетическую энергию больше некоторой, то она эту стенку пробивает. Работа по преодолению этой силы тем не менее конечна. Это будет изображаться таким потенциальным барьером.
Реально это можно реализовать для электронов. Имеем две металлические стенки, к этим стенкам приложена разность потенциалов. Электрон попадает в область электрического поля между стенками и испытывает силу, выталкивающую его обратно. Теперь, выдерживая постоянное напряжение, будем сближать эти стенки. Напряжённость электрического поля стремится к бесконечности, но работа по пробиванию этого конденсатора остаётся конечной. Этот барьер для электронов будет реализован вот таким образом.
А теперь мы будем рассматривать стационарное состояние. Высота барьера U0, пишем уравнение Шрёдингера для стационарных состояний:
Как нам затолкать эту разрывную функцию U(x) туда? А просто мы сейчас разделим всё пространство на две части, напишем это уравнение для области x<0 и потом напишем это уравнение для области x>0, найдём эти решения, а потом их будем сшивать в точке x0=0, чтоб получить одну функцию (волновая функция должна быть непрерывной).
(8.1)
(8.2)
Решение уравнения (8.1) пишем немедленно (это уравнение колебаний):
. Это решение в области x<0.
Уравнение в области в случае E>U0 имеет решение такое же как при x<0, а если , то это уравнение другого типа, оно имеет другое решение.
Мы рассматриваем первый случай, когда энергия частицы больше, чем напряжение в цепи: и E>U0.
Эти решения надо состыковать. Функция должна быть это непрерывной:
(8.3)
На волновую функцию накладывается ещё одно требование – непрерывность первой производной (физическую основу этих требований мы ещё увидим):
(8.4)
У нас четыре константы, а мы имеем два уравнения. Математик, конечно, озадачился бы, но мы должны интерпретировать результат. Прежде всего смотрим на функцию u1: это волна, бегущая вправо вдоль оси x, она описывает налетающие частицы, это волна, бегущая влево вдоль оси x в области x<0, это волна может быть отразившейся, мы пока оставим это дело. Константа C1 описывает падающую волну, она соответствует амплитуде падающей волны, то есть, в конечном счёте, интенсивности налетающего пучка, значит, C1 заданная константа, C2 подлежит определению. Смотрим на решение u2 в области : это волна, идущая вправо, она описывает пучок, прошедший через барьер, это волна, идущая влево, физически ей неоткуда взяться, поэтому полагаем C4=0. Теперь мы имеем константу C1 (задаём сами), а C2 и C3 должны определить. У нас есть два условия, напишем эти условия: формула (8.3) в нуле даёт C1+ C2= C3, формула (8.4) даёт . Мы получим:
и
Мы видим, что , это означает, что есть отражённая волна. Квадрат модуля функции даёт плотность вероятности (вероятность найти частицу в этой точке), она пропорциональна количеству частиц.
Вот электроны, летящие с кинетической энергией, входят в область электрического поля, которое оказывает тормозящую силу, но их энергия больше, чем работа по преодолению этого поля. По классическим понятиям все электроны проходят этот конденсатор и дальше идут с меньшей энергией, здесь мы получаем, что существует отличная от нуля вероятность (тем больше, чем больше C2), что электрон отразится от этого поля и полетит обратно, при чём с той же энергией, с которой он летел. Чтобы драматизировать пример: ставим абсолютно твёрдое, но непробиваемое стекло, и вы стреляете в него из пулемёта. Нормальные пули стекло пробивают, но по правилам игры, которые мы тут обнаруживаем, есть отличная от нуля вероятность, что пуля отразится всё-таки от стекла и попадёт стрелку в лоб.
7
Мы рассматривали прохождение частицы через потенциальный барьер. Мы нашли решение для этой ситуации в случае, когда x<0 и когда и E>U0. Мы нашли, что он проходит барьер, но существует отличная от нуля вероятность, что он тем не менее отразится обратно, потому что в решении появилась отражённая волна.
А теперь второй случай: и .1)
Уравнение (8.2) нам даёт: , где . Раньше это было уравнение колебаний, имели решение в виде мнимых экспонент, а здесь будет решение в виде действительных экспонент (уравнения такого типа всегда удовлетворяются экспонентами):
Слева от барьера было решение . Опять мы должны получить функцию, заданную на всей оси x,2) мы снова должны сшить эти функции в точке x0=0.
Опять имеем четыре константы, и условия для сшивки (8.3) и (8.4). Константу C1 мы считаем заданной (это мера интенсивности налетающего пучка), это отражённая волна, C2 подлежит определению. В решении в правой части мы выкинем сразу, потому что функция экспоненциально нарастает, а это недопустимо для волновой функции (она интерпретируется как плотность вероятности): , подлежит определению. Условие (8.3) даёт: , (8.4): , и получим, что
и
Видно, что , интенсивность отражённого пучка такая же как интенсивность падающего. Это означает, что весь пучок, действительно, отразится назад, но, тем не менее, волновая функция в области будет отлична от нуля: .
То есть вероятность обнаружить частицу в классически запрещённой области отлична от нуля, – она экспоненциально затухает, но, все-таки, частица внедряется в эту запрещённую область. Частица уходит назад (интенсивность отражённого пучка такая же как интенсивность падающего, всё, что упало, всё отразилось), но то, что волновая функция не сразу обращается в ноль, физически проявляется в эффекте очень неожиданном на первый взгляд.
Туннельный эффект
Не будем решать эту задачу, она решается, но, просто, алгебра здесь длинная. Рассмотрим барьер конечной ширины – вот такую потенциальную энергию U(x) (рис.6.6, а).
Физически как реализовать эту ситуацию? Для электрона, поставив два конденсатора (рис.6.5). С точки зрения здравого смысла и классической механики что будет? Электрон летит, если его энергии достаточно, чтобы пробить конденсатор, то он через него пройдёт, долетит до следующего конденсатора, ускорится, вылетит и будет двигаться дальше с той же скоростью, с которой он подлетал. Если же у него энергии недостаточно, чтобы пробить первый конденсатор, то он сюда забурился, остановился, и его выбросило обратно, и он улетел, а что там дальше подставлять (человека поставить флажком махать или ещё что-нибудь) ему всё равно, он туда не долетает.
А вот в квантовой механике будет иначе. Качественно ситуация выглядит так.
За барьером мы получаем волну с той же длиной. Качественно довольно очевидно, ну а формально можно получить всё это, только в два раза больше сил потребуется, чем для ступеньки, поскольку больше граничных условий.
Это означает, что, если энергия частицы меньше высоты барьера, то существует тем не менее отличная от нуля вероятность, что она пролетит, то есть, когда вы ставите для электрона конденсатор с тормозящим полем, через него электрон заведомо не проходит, но если вы дальше поставите конденсатор с ускоряющим полем, то он пройдёт. Чем дальше будет второй конденсатор, тем больше ширина потенциального барьера, тем меньше вероятность.
Конечно, ситуация удивительная, чтобы её перевести на житейский язык, так скажем. Человек не прыгнет на 3м, чемпионы сейчас на 2.30 прыгают, но на 3м не прыгнут, даже я берусь спорить, что никогда не прыгнут.1) Теперь в чистом поле роем яму глубиной 3м и туда человека скинули. Он там может прыгать, но из ямы не выскочит. Другая ситуация: на ровном месте окружаем его стеной высотой 3м (барьер конечной ширины), тогда, если он будет прыгать достаточно долго и упорно, окажется, что он из ямы не выпрыгнет (ступенька потенциальная), а стену может преодолеть. Можно сказать, что нет вероятности выскочить из ямы глубиной 3м, но есть отличая от нуля вероятность перепрыгнуть трёхметровую стену.2)
Конечно, на макроскопическом уровне это (преодоление трёхметровой стены) выглядит как чудо, а в атомных масштабах это заурядная вещь. Вот использование электричества в быту связано радикальным образом с туннельным эффектом: всякий проводник покрыт тонкой непроводящей плёнкой, когда два проводника они разделены непроводящей плёнкой, электроны преодолевают эту плёнку за счёт туннельного эффекта.3) Вот так всё на благо человечества устроено.
Ещё один пример. Мы обсуждали фотоэффект. Электрон в металле сидит в потенциальной яме, и он не выскакивает, потому что имеет перед собой потенциальную ступеньку. А если мы за металлом убавим потенциальную энергию как на рис.6.7, а это можно сделать (см. рис.6.8), электрон в металле этого поля не чувствует, но он имеет перед собой барьер конечной ширины, а это означает, что имеется отличная от нуля вероятность, что он выскочит из металла. Это известный эффект, он называется эффектом В. Шотки, – если вы к куску металла приложите электрическое поле (оно всегда перпендикулярно к эквипотенциальной поверхности металла) такое, что для выскочившего электрона оно будет ускоряющим, то электроны начнут вылетать из металла.
7. Связанные состояния. Частица в ящике
Если частица локализована в ограниченной области пространства, то говорят, что она находится в связанном состоянии.1) Например, две частицы внутри вот этого куска мела находятся в связанном состоянии (они заперты в объёме этого куска), электроны в атоме так же находятся в связанном состоянии. Почему эти состояния важны? А вот потому, что энергия частицы в связанном состоянии может принимать лишь определённые значения 2) (энергия квантуется). Это очень существенное свойство, не имеющее, кстати, классического аналога. Земля вращается вокруг Солнца – строго говоря, её энергия квантуется, просто уровни энергии не заметны, в атомных масштабах заметны. По классическим представлениям энергия системы это определённое число, оно сохраняется, чем это число определяется? Начальными условиями, тем, как возникла эта система. Оно может быть любым, скажем, энергия могла быть чуть больше, чем она есть, чуть меньше, в классической механике это дело не регламентируется никак, всё определяется начальными условиями. А вот электрон в атоме может иметь какое-то значение En, которое можно заранее предсказать, и никаких других значений быть не может.3) Формально это проявляется так: уравнение Шрёдингера для стационарных связанных состояний имеет разумные решения лишь при определённых значениях E. Это факт математический, а его физическая интерпретация такая, что только эти значения энергии E могут наблюдаться. Мы сейчас убедимся на простом примере.
Частица в ящике
Мы сейчас смоделируем самое простое связанное состояние. Какое можно придумать самое простое связанное состояние? А вот такое – имеем ящик с абсолютно непробиваемыми стенками, с дверцей. Кинули туда частицу и дверцу захлопнули.1) Как это дело задать теперь математически? Потенциальная энергия в ящике равна нулю, вне ящика потенциальная энергия бесконечно велика, именно это и означает, что стенки ящика абсолютно непробиваемы (самый радикальный вариант связанного состояния). Дальше математика.
Мы рассматриваем стационарное состояние, волновая функция имеет вид: , а для функции (пространственная часть волновой функции) должно выполняться уравнение . В уравнение окружающая обстановка заводится посредством потенциальной энергии. Наша потенциальная энергия задана таким условием:
.
Из того, что стенки ящика абсолютно непробиваемы следует, что частица вне ящика не может находиться, мы тогда пишем сразу вне ящика. А внутри ящика мы получим такое уравнение:
, где .
Это уравнение в частных производных. Будем искать решение в виде
,
то есть пытаемся разделить переменные.
Тогда
,
подставим это в уравнение:
Теперь делим всё это дело на XYZ, получаем тогда уравнение такое:
.
Первое слагаемое зависит только от x, а второе только от y, а третье только от z, и утверждается, что в сумме они равны константе. Тогда всё это дело разбивается на такие уравнения:
А это уже знакомые уравнения и мы немедленно находим решения:
Это решение в ящике, мы должны получить решение для всёго пространства, чтобы оно было непрерывным. Это означает, что волновая функция в ящике должна быть устроена так, чтобы она на стенках ящика занулялась. Это условие накладывает такие ограничения:
Займёмся иксом: даёт B1=0, то есть константу B1 мы выкинем сразу, даёт , это означает, что , nx=1, 2, 3… (значения A1=0 и nx=0 брать нельзя, потому что тогда мы убиваем всё решение). Таким образом, мы получаем такое условие: , поскольку для остальных функций мы имеем то же самое, то и . Для всей функции u мы получаем множество решений такого вида:
(10)
При этом .
И окончательно результат такой: состояние частицы в ящике задаётся тремя целыми числами, которым соответствует функция (10), и этому состоянию соответствует энергия , где a, b, c это рёбра ящика. Вот что такое квантование, имеем дискретные состояния (тройка чисел задаёт волновую функцию определённой конфигурации) и этим состояниям соответствует энергия. Важно, что нет никаких промежуточных состояний, переходных форм нет. Состояние (1,1,1) называется основным, оно имеет минимальную энергию, а максимальная вероятность найти частицу в ящике [для этого состояния] – в середине, то есть вот частица большую часть времени проводит в середине ящика вместо того, чтобы бегать от стенки к стенке.
8
Продолжаем ту же тему. Если ящик кубический, то формулка для энергии делается симпатичнее:
Возможны различные состояния, которым отвечает одна и та же энергия. Состояниям (2,1,1), (1,2,1), (1,1,2) отвечают различные волновые функции, то есть вероятности обнаружения частицы в точках ящика разные в этих состояниях, но понятно, что им отвечает одна и та же энергия. Уровень энергии, которому отвечают несколько различных состояний, называется вырожденным, в частности, уровень, отвечающий этим трём состояниям, называется трёхкратно вырожденным.
§6 Постулаты квантовой механики
1. Векторы и операторы
2. Постулаты квантовой механики
3. Операторы динамических переменных. Координатное представление
4. Оператор энергии
5. Оператор импульса
6. Момент импульса (собственные векторы, собственные значения)
7. Спин.
Мы с вами обсудили некоторые аспекты физики систем атомных масштабов, волновые свойства частиц, квантование энергии, туннельный эффект… Это всё были отдельные фрагменты, не связанные более-менее друг с другом, это ситуация на заре создания теории, когда обнаружилась длина волны де Бройля, интерференция. И многого мы вообще не знаем, например, знаем волновую функцию, а что мы получим при измерении импульса? Мы ещё не умеем отвечать на такие вопросы. Сейчас мы обсудим как устроена окончательная теория.
От первой модели атома Бора и до окончательной формулировки теории прошло 10-12 лет,1) и мы сейчас обсудим, как вообще строится вся эта теория.
Если сравнивать с классической механикой, раз нет траектории, скоростей, ускорений, сил, то понятно, что математическая структура должна быть другой.2) Можете сейчас забыть про классическую механику, можете даже забыть то, что мы до сих пор тут обсуждали, и сейчас мы снова будем смотреть незамутнённым взглядом на новую теорию. И тут нужны некоторые математические подмостки.
1. Векторы и операторы
Вы знаете векторную алгебру (линейную алгебру), и заодно вы увидите, что не зря вы её изучали, оказывается, есть к чему её применить.
Обозначения:
– вектор a в n-мерном (может быть, бесконечномерном) абстрактном пространстве. Столбец из n чисел задаёт компоненты вектора a в n-мерном пространстве. Когда вы видите такую штуку , это означает, что мы имеем набор n чисел, которые можно организовать в матрицу-столбец.
– вектор сопряжённый , это матрица-строка .3)
Удобство этих обозначений состоит вот в следующем: – это число, скалярное произведение двух векторов: . Ясно, что такая штука – скалярное произведение вектора на сопряжённый ему вектор, это будет действительное число, . А вообще, кстати, ясно следующее, что .
Такое равенство расшифровывается так: есть правило, которое вектору ставит в соответствие вектор , и это правило обозначают буквой . Говорят, на вектор действует некоторый оператор, в результате действия которого, мы получаем вектор .
Если имеет место такое равенство , то оператор называется линейным.1) Дальше, когда идёт речь об операторах, имеются в виду только линейные операторы.
Каким образом можно задать это правило, то есть как можно задать оператор? Если оператор линейный, то вот такой строчкой: . Эта строчка – сжатое изображение вот такого: . Значит, любой линейный оператор будет представлен квадратной матрицей размерности . Задайте квадратную таблицу , любых чисел навтыкайте туда, эта матрица представляет линейный оператор.
Любая матрица представляет некоторый оператор , из неё можно получить другие матрицы, например, можем устроить транспонированную матрицу (отобразить её относительно главной диагонали), получим другую матрицу, то есть другой оператор. Можно не только сделать транспонированную матрицу, а сначала транспонировать и взять ещё комплексно сопряжённые элементы, ещё одну матрицу получим, получим другой оператор снова.
Если матрица оператора получается из элементов матрицы оператора с помощью транспонирования и комплексного сопряжения элементов: , то оператор называется эрмитово сопряжённым к оператору .
Если , тогда оператор называется самосопряжённым или эрмитовым.1)
Если , где α – число, то вектор называется собственным вектором оператора , а α – собственным значением, отвечающим этому собственному вектору.2)
Оказывается, что эрмитов оператор , то есть оператор, для которого верно вот такое равенство , имеет n собственных векторов, которые будем обозначать , при этом собственные значения, отвечающие этим векторам действительны, то есть и . И ещё замечательная вещь такая: скалярное произведение двух собственных векторов равно: , собственные векторы эрмитова оператора ортогональны, а соответствующие им собственные значения действительны. Это наш реквизит, это факты математические, а теперь возвращаемся к физике.
2. Постулаты квантовой механики
Утверждение 1. Состояние частицы задаётся некоторым нормированным вектором в абстрактном пространстве,3) предполагается, что .
Утверждение 2. Каждой наблюдаемой динамической переменной A (координаты, импульс, момент импульса …) ставится в соответствие эрмитов оператор .
Вектор переменной в абстрактном пространстве изображается столбцом, оператор, отвечающий этой переменной, в этом же пространстве будет изображаться квадратной матрицей. Кстати, эпитет «наблюдаемый» не для красного словца. Наблюдаемая переменная – это переменная, которую можно измерить.1)
Утверждение 3. При измерении динамической переменной A (вот я подставляюсь под пулю, ловлю её и мерею её импульс) могут быть получены числа лишь из ряда собственных значений соответствующего ей оператора .
Сейчас мы это дело оформим более компактно. Если , то при измерении переменной A может быть получено одно из чисел α1, α2, …, αn.
Утверждение 4. Вероятность того, что при измерении переменной A частицы в состоянии, задаваемом вектором , будет получено значение αn равна:
Третий постулат утверждает, что при измерении переменной A могут получаться лишь числа α1, α2, …, αn, какое из них получится при конкретном измерении, теория отказывается отвечать, но она говорит, что вероятность того, что будет получено значение αk, например α7, будет определяться по такому рецепту. Возьмите вектор состояния частицы, умножьте скалярно на собственный вектор, отвечающий этому собственному значению, получится комплексное число, найдите квадрат модуля этого числа, и вы получите вероятность того, что будет получено значение α7. Этот рецепт можно выразить в более доступной форме.
Векторы , собственные вектора оператора , они ортогональны, нормированы, их можно в этом абстрактном пространстве взять в качестве базисных векторов. Это означает, что произвольный вектор может быть выражен в этом базисе. Разложим вектор состояния по базису из собственных векторов оператора : . Тогда говорится, что (квадрат модуля проекции вектора на собственный вектор оператора) даст вероятность того, что при измерении переменной A будет получено значение (соответствующее собственное значение).
Утверждение 5. Существует эрмитов оператор (гамильтониан) такой, что имеет место уравнение
уравнение Шрёдингера.
Короче говоря, существует оператор, который заведует изменением вектора состояния со временем. Малое изменение вектора за время будет равняться: . То есть подействуем на вектор в данный момент оператором , полученный вектор умножим на число , разделим на , и мы получим маленькое приращение вектора . Поскольку , можно себе представлять, что в абстрактном пространстве вектор вращается, вот этот маленький поворот определяется оператором .
Ну, что тут пока неудобно? Всё это звучит, наверное, замечательно и захватывающе, только не понятно, зачем это делали. В ньютоновской механике, когда всё там написали (Второй закон ньютона, силы), поскольку много лет все слышали, это кажется очевидным, а ведь на самом деле это голая форма, никакого содержания она не имеет. Содержание появляется только тогда, когда даются рецепты, что там в правой части писать. Ньютоновская механика это, на самом деле, утверждение такого сорта, что всё многообразие мира мы можем отлить в форму дифференциальных уравнений второго порядка, подбирая соответствующие функции в правой части. Именно на этом стояла физика фактически до конца XIX века, считалось, что всё, что мы тут видим, оно вот в эту простую математическую форму отольётся, если мы только правильно подберём эти функции, и зада физики тогда была придумать эти функции в правой части, чтобы отлить в эту форму. На самом деле мир оказался хитрее, и он не отливается в теорию дифференциальных уравнений второго порядка. Здесь мы пока тоже видим математическую форму. Утверждается, что мы подберём операторы такие, что всё окружающее нас тут отольём в эту математическую форму. В ньютоновской теории задача физики была в нахождении сил, в рамках этой механики задача физики это нахождение гамильтонианов, то есть операторов, которые определяют эволюцию состояния в заданной окружающей среде, а окружающая среда характеризуется гамильтонианом. Вот такая математическая структура.
3. Операторы динамических переменных. Координатное представление
В качестве базиса выбираются собственные векторы какого-либо оператора.1) Если взяты собственные векторы оператора , то говорят, что мы работаем в A-представлении. Тогда все векторы и все операторы будут выражаться в этом базисе. Если – оператор координаты, тогда имеет место такое равенство: , – собственный вектор, отвечающий собственному значению q. Если в качестве базисных векторов будут взяты векторы , то есть собственные векторы оператора координат, то значит мы работаем в координатном представлении.
9
Проблема такая: как связать абстрактное пространство, в котором разыгрываются все эти события, с нашим реальным наблюдаемым миром, в котором мы живём? Как нам отсюда пролезть туда, в этот потусторонний мир, в котором действуют правила игры, которые мы сформулировали. Лазейка такая: чтобы задать вектор в виде набора чисел, надо предъявить базис. Операторы, с которыми мы имеем дело (это эрмитовы операторы), обладают тем свойством, что для них имеется n собственных векторов, эти собственные векторы эрмитова оператора ортогональны, если в качестве базиса выбрать собственные векторы оператора, то его матрица в этом базисе будет диагональной, а по диагонали будут стоять собственные значения. Собственные значения – это те числа, которые мы получаем при измерении переменной, которую описывает данный оператор. Вот так можно состыковать эти абстрактные математические объекты с реальными наблюдаемыми величинами. Если мы, например, экспериментально исследовали набор собственных значений данного оператора, то мы сразу можем написать его матрицу в базисе его собственных векторов, просто по диагонали расположивши эти собственные значения. Есть законы, которые связывают операторы друг с другом, и если мы нашли один оператор, то просто зная связь между этими операторами, мы можем построить и другие операторы. Мы тогда получим матрицы в том представлении, в котором исходный оператор был диагональным.
Если это оператор координаты, а – собственный вектор этого оператора, отвечающий собственному значению q, то есть имеет место такое соотношение: ,1) оператор действует на собственный вектор, получается тот же собственный вектор, которому отвечает число q.2)
Произведение операторов
Если , то это означает, что действует на некоторый вектор (на любой), это то же самое, что .3) Матрица оператора представится, оказывается, как произведение матриц B и A, то есть .
Произведение операторов, вообще говоря, не коммутативно (потому что произведение матриц не коммутативно), то есть когда мы действуем оператором , а потом или наоборот, сначала , потом , то это разные результаты.4) Разность произведений это некоторый оператор: и называется коммутатором операторов и . Это математические факты, а вот с этим делом связан физический факт, очень существенный.
Переменные, операторы которых не коммутируют (коммутируют), не могут (могут) быть измерены [и заданы] одновременно.
Мы уже сталкивались с такими вещами. Иксовая координата частицы и иксовая компонента импульса x и не могут быть заданы одновременно: нельзя сказать, что частица имеет точно такую координату и имеет такую-то составляющую импульса, есть соотношение неопределённости. Это, кстати, означает, что операторы и не коммутируют.
Утверждение. Постулируется, что .1)
Но, кстати, например , это означает, что одновременно мы можем задать координату и игрековую составляющую импульса (или зетовую), а вот иксовую задать не можем, и измерить одновременно не можем. Это можно написать в более общем виде: .
Из того, что , следует, что спектр собственных значений оператора координаты непрерывен. Иначе говоря, мы можем задать любое число q, и для него найдётся вектор , который является собственным вектором оператора . Физически это означает, что при измерении координат может быть получено любое число или, ещё проще говоря, координаты не квантуются.2)
Существует координатное представление, когда в качестве базисных векторов выбираются собственные векторы оператора координаты. Произвольный вектор может быть выражен в этом базисе. Если бы эти собственные векторы нумеровались каким-то дискретным параметром , то тогда произвольный вектор представился бы суммой . Но у нас векторы нумеруются непрерывным параметром, это означает, что вместо суммы пишется интеграл: . Как находить коэффициенты разложения? В дискретном случае , а как быть, если параметр, нумерующий вектор, непрерывен? Аналогично: , базисные векторы таковы, что .
функция это функция, удовлетворяющая двум условиям:
1)
2)
функция проникла в математику именно в этой ситуации. Дирак, создатель квантовой теории, он эту функцию и изобрёл, потом в математике появилась целая теория этих функций.
В координатном представлении вектор состояния изобразится интегралом: , где функция – это коэффициенты разложения вектора по базису из собственных векторов оператора координаты, это то, что у нас называлось волновой функцией. Вот таким образом стыкуется то, что раньше говорилось о волновой функции, и её представление в абстрактном пространстве.
Раньше я говорил, что волновая функция описывает состояние частицы с импульсом и с энергией , где . Теперь мы можем изобразить вектор в абстрактном пространстве для этого состояния: . Вот наш вектор выражен через базисные векторы, которые мы обозначаем .1)
А как быть с другими операторами? Пусть у нас для простоты , тогда . Кстати, что получится при действии оператора координаты на этот вектор ? Здесь вы должны довериться просто формализму. Пишем: 2) =. Когда оператор подействовал на вектор , мы получаем новый вектор с другими коэффициентами, и какие же это коэффициенты? А это та же функция , умноженная на x. Таким образом, в координатном представлении действие оператора на функцию сводится просто к умножению этой функции на число, то есть мы можем написать, что в координатном представлении .
Как же импульс? Оператор действует на вектор :
3) =
Таким образом, в координатном представлении действие оператора на функцию приводит к взятию частной производной и умножению её на число , или символически: . В векторной форме: .
И, наконец, последнее. Если мы имеем какую-то функцию координаты и импульса , тогда оператором будет та же самая функция, но взятая от операторов и : .
10
Ещё раз, как можно ткнуть пальцем и предъявить базисные векторы, если мы работаем в абстрактном пространстве? В качестве базиса выбираются собственные векторы какого-нибудь оператора. В таком базисе этот оператор выражается диагональной матрицей, где по диагонали стоят собственные значения, а собственные значения – это наблюдаемые величины, поэтому, если мы экспериментально определяем собственные значения оператора, то мы его матрицу тут же пишем. Операторы связаны между собой (по теории), тогда другие операторы можно находить через матрицу, которую мы нашли. Это общая программа. Теперь конкретное исполнение.
Рассматривалось специальное представление – в качестве базиса были выбраны собственные векторы оператора координаты (тогда собственные значения этого оператора это просто координаты частицы, которые мы экспериментально можем определять). Из постулируемого коммутационного соотношения можно доказать, что собственные значения оператора координаты непрерывны. Оказывается, что в этом базисе оператор принимает вид , а всякий вектор задаётся функцией, в частности . При этом , если , то , векторы ортогональны. Если функция задаёт компоненты вектора в координатном базисе, то функция задаст компоненты вектора в том же самом базисе, так как .
Мы уже получили два оператора, оператор координаты и оператор импульса. Как быть с остальными? Лекция была кончена утверждением, что если некоторая переменная A есть функция координаты и импульса , то оператор будет функция от операторов и : . Рецепт такой: если переменная имеет классический аналог и в классической механике выражается как функция импульса и координаты, то оператор этой переменной изобразится той же самой функцией, но от операторов.1)
А вот если переменная не имеет классического аналога, а в квантовой механике появились такие переменные (например, спин), вот там приходится оператор для переменной изобретать.
4. Оператор энергии
У нас был один из постулатов, что существует оператор , который называется гамильтонианом и который определяет динамику системы, то есть изменение вектора состояния за единицу времени получается как результат действия оператора на вектор состояния в данный момент времени:
Это аналог Второго закона Ньютона. Этот оператор что такое?
Для частицы в потенциальном поле сил гамильтониан H – это полная энергия частицы, выраженная через координаты и импульс: . Тогда оператор по нашему рецепту будет:
Задача на собственные векторы оператора энергии ставится так: оператор действует на вектор , даёт число , : . В координатном представлении векторы задаются функциями : . Для частицы в связанном состоянии спектр собственных значений оператора энергии дискретен (энергия в этом случае квантуется), в несвязанном состоянии спектр собственных значений непрерывен (энергия не квантуется). То есть, если частица может уйти на бесконечность, то любое действительное число может представлять её энергию, а если не может уйти на бесконечность, то тогда энергия может принимать определённые значения. Как найти эти собственные значения и собственные векторы?
В координатном представлении оператор изобразится так:
Тогда уравнение на собственные значения перепишется в координатном представлении таким образом: . Сейчас мы его перепишем так: . Это уже знакомое уравнение, это уравнение Шредингера для стационарных состояний. Это означает то, что мы с вами делали, мы решали задачу на собственные значения оператора энергии.
Для свободной частицы должно оказаться, что спектр собственных значений непрерывен, проверим. Для свободной частицы никакой потенциальной энергии нет: . Тогда задача на собственные векторы приводит к такому уравнению: (я не пишу индексы, потому что на самом деле они и не появятся) или , обозначим , тогда легко убедиться, что функция является решением этого уравнения.1)
Собственные значения нумеруются вектором , мы можем написать так: , или в координатном представлении . Мораль такая: задайте любой вектор , этому вектору будет отвечать функция с таким собственным значением: . И, действительно, мы видим, что спектр собственных значений непрерывен, потому что вектор любой.
5. Оператор импульса
Физическая проблема такая: энергия квантуется, координата, как мы видели, не квантуется, спрашивается, квантуется ли импульс (то есть в результате измерений может получаться любое число или какие-то дискретные величины)?1)
В координатном представлении оператор импульса есть: . Уравнение на собственные векторы выглядит так: , в координатном представлении вектор задаётся некоторой функцией и должен изобразиться так: , а уравнение на собственные векторы в координатном представлении сводится к такому , и в компонентах: или . Поскольку это функция от x только, то можно писать прямую производную:
Решение находится сразу: . Общий результат такой:
Это собственная функция оператора импульса, отвечающая собственному значению . Можно рассматривать это как наводящие соображения. Вернёмся к уравнению .
Утверждение. Функция является решением этого уравнения.
Доказательство. Подставляя эту функцию в уравнение, мы получаем:
Функция является собственной функцией оператора импульса, соответствующей собственному значению .
Отсюда видно, что собственным значением оператора импульса может быть любой вектор.
Если операторы двух переменных коммутируют, то эти переменные могут быть заданы и измерены одновременно, а операторы имеют одинаковые собственные векторы, ну и поэтому собственные значения могут быть заданы одновременно. То, что нельзя одновременно задавать координату и импульс, мы обсуждали, можно ли одновременно задать координату и энергию? Ответ зависит от того, коммутируют или нет операторы координаты и энергии. Ответ такой: оператор энергии , очевидно, что операторы и не коммутируют, потому что оператор со вторым слагаемым прокоммутирует, а с первым нет (это следует из коммутационного соотношения). Это означает, что координату и энергию задать вместе нельзя никогда, то есть не может быть утверждений, что частица находится в некоторой точке пространства и имеет такую-то полную энергию (они не коммутируют). Другой вопрос: импульс и энергию задать можно или нет? Вроде бы ответ напрашивается, что в коммутационное соотношение координата и импульс входят симметрично, но оператор энергии координата и импульс входят несимметрично, . Например, для свободной частицы, когда , оператор импульса с оператором энергии прокоммутирует. И, стало быть, импульс и энергия свободной частицы могут быть измерены одновременно. И действительно, это мы уже видели, а функция является одновременно собственной функцией оператора импульса и энергии, собственные значения связаны так: , . Но если частица не свободна, то оператор импульса не коммутирует с оператором энергии.
11
Мы нашли, что , и мы нашли вид этого вектора в координатном представлении: .1) Векторы могут быть выбраны сами в качестве базиса, в котором можно выражать все другие векторы, это называется импульсное представление.
Чтобы покончить совсем с оператором импульса и собственными значениями оператора импульса, окончательно оформим это так: оператор действуя на вектор даст: , при этом собственные значения оператора будут равняться , а вектор изобразится так: .
6. Момент импульса (собственные векторы, собственные значения)
Мы разобрались с оператором координаты, с оператором импульса, с оператором энергии, есть ещё одна переменная – момент импульса. Вот разберёмся с моментом импульса.
Надеюсь, кто-нибудь из вас помнит ещё что это такое, а если не помнит, то я напишу: . Если частица в плоскости движется по окружности, то момент импульса это вектор перпендикулярный плоскости орбиты частицы. Оператор момента импульса это будет произведение оператора координаты и оператора импульса: . Ещё можно ввести оператор . Мы имеем три проекции момента на координатные оси и оператор , который даёт полную величину момента. Непосредственным вычислением можно убедиться, что операторы между собой не коммутируют, например , это математический факт, физически этому соответствует важное обстоятельство – проекции момента на координатные оси не могут быть заданы одновременно. Но легко убедиться, что коммутирует с , а поскольку x ничем не лучше y, z, то это будет означать, что коммутирует , коммутирует , коммутирует с , сами компоненты между собой не коммутируют, но каждая компонента коммутирует с абсолютным значением момента импульса. Это означает, что можно задать величину момента и проекцию его на одну из координатных осей, но только на одну. Обычно в качестве такой проекции выбирают ось z.
Мы можем задать длину вектора и задать его проекцию на ось z, но проекции на оси x, y мы задать не можем, тогда мы имеем такую картину, что вектор где-то лежит на конической поверхности, какое он там занимает место не определено, но проекция его на ось z вполне определённая.
Исходя только из коммутационных соотношений, можно найти собственные значения операторов и .1) Собственные векторы и собственные значения будем нумеровать двумя числами – два числа j и m определяют вектор , и такой вектор является собственным вектором и (это возможно, потому что эти операторы коммутируют и у них общие собственные векторы).
При этом , а .
Ситуация такая: задаёте j из набора , теперь можете задать число из набора , тогда пара чисел (j, m) определяет вектор в абстрактном пространстве, который мы обозначаем , и этот вектор является собственным вектором оператора вот с такими собственными значениями: , и оператора с собственными значениями .
Мораль такая: квадрат момента квантуется и может принимать лишь значения , проекция момента на ось z может принимать значения кратные : .
Оказалось, что если j принимает целые значения , то это соответствует орбитальному моменту, т.е. когда частица движется в пространстве так, что.
7. Спин.
Опыт Штерна-Герлаха (1922г.)
Как фактически проявляется квантование момента импульса? Электрон вращающийся вокруг ядра, обладает орбитальным моментом . С точки зрения электродинамики электрон, вращающийся вокруг ядра это некоторый круговой ток, ему соответствует магнитный момент . А частица с магнитным моментом реагирует на магнитное поле. Потенциальная энергия частицы в магнитном поле равна , и на магнитный момент в магнитном поле действует сила равная .1) Пусть создаётся такое магнитное поле (см. рис.7.1). Теперь мы сюда запускаем пучок частиц, обладающих магнитными моментами. Когда частица залетает в магнитное поле, на неё действует сила по вертикали .2) Тогда, если влетает пучок частиц с хаотично ориентированными магнитными моментами, то на каждую из этих частиц будет действовать сила пропорциональная направлению магнитного момента на ось z. Каждая частица будет отклоняться пропорционально силе, т.е. пропорционально , и они размажутся в виде такого веера:
Это способ определить экспериментально проекцию магнитного момента, которая связана с орбитальным моментом: .
А теперь мы запускаем туда не макроскопические элементы, а запускаем пучок атомов, а атом тоже может обладать магнитным моментом за счёт того, что там электрон вращается. А когда мы пропускаем пучок атомов, то обнаруживается, что мы не получаем такого размазывания в виде веера этих траекторий, а будет наблюдаться такое (скажем, пучок может разделиться на три пучка):
Пучок атомов не размазывается, они расщепятся, а именно три чётких отдельных пучка появится. Как это проинтерпретируется? Это будет означать, что проекция магнитного момента на ось z принимает всего три значения, а число проекций 2j+1 = 3 и j = 1, мы тогда говорим так: эти атомы обладают орбитальным моментом , а при этом число проекций 3. Вот это квантование момента наблюдается экспериментально, когда пучок атомов расщепляется определённое число пучков. Вот, целым j отвечают такие орбитальные моменты. Но оказалось, что есть ситуации, в которых пучок расщепляется на два пучка (рис.7.2. б). Это означает, что 2j+1 = 2 и . Эта ситуация, как выяснилось в конце концов, связана с тем, что электрон обладает собственным магнитным моментом, т.е. полуцелым значениям j не отвечают орбитальные моменты, значению отвечает собственный момент импульса электрона и он называется спином.
Ситуация выглядит так, что электрону, точечному объекту, приписывается собственный момент импульса, ему же отвечает соответствующий момент, и собственный магнитный момент электрона такой, что , а проекция магнитного момента принимает значения . Что здесь удивительного? Земля обладает орбитальным моментом импульса за счёт её вращения вокруг Солнца, это большая величина, кроме того, за счёт суточного вращения она обладает собственным моментом. Каждый элемент Земли движется по окружности и обладает собственным моментом импульса, вот сумма моментов импульса всех частей Земли с учётом её суточного вращения даёт собственный момент импульса, т.е. момент импульса в той системе, где центр масс Земли покоится), но он много меньше, чем орбитальный момент. Электрон, оказывается, обладает собственным моментом импульса той же величины, что и возможный орбитальный момент, а с другой стороны этот собственный момент импульса электрона нельзя приписать тому, что какие-то части электрона вращаются вокруг оси, т.е. мы не можем рассматривать электрон как, допустим, шар, обладающий моментом импульса за счёт вращения. Нет в электроне частей, это точечный объект, мы можем приписать некоторые размены, но он там вращается со сверхсветовыми скоростями, короче говоря, этот момент никак нельзя связать с орбитальным моментом частиц электрона, это некоторое врождённое свойство, не имеющее классического аналога. По отношению к магнитному полю электрон ведёт себя как маленький элементарный магнит, и вот величина его намагничивания это его врождённое свойство, кстати с этим врождённым свойством, связано, например то, что имеются постоянные магниты. Мамагниченность куска железа это следствие того, что электроны обладают собственными магнитными моментами и в железе они строятся так, что стремятся занять все одинаковую ориентацию, в результате суммарный магнитный момент отличен от нуля.
8. Средние значения динамических переменных
Мы уже видели, что теория отказывается предсказывать, что мы получим в результате измерения той или иной величины, она предсказывает лишь вероятности того, что будет получено то или иное значение. В связи вот с этим вероятностным характером возникает вопрос, каково среднее значение переменной? Ответ на это простой. Пусть мы имеет какую-то переменную A, и этой переменной соответствует оператор , тогда среднее значение переменной A в состоянии (угловыми скобками будем обозначать) будет определяться так:
.
Откуда берётся такой результат? Пусть , т.е. – собственные векторы оператора , а an – соответствующие собственные значения. Вектор можно представить в виде разложения по собственным векторам оператора : . Тогда
=
а – это вероятность получить при измерении переменной A в состоянии значение an. Возможные значения умножаются на вероятность и суммируются по всем возможным значениям, а это то, что в математике называется математическое ожидание, это и есть среднее значение данной величины.
9. Изменение со временем
Если состояние меняется со временем, это означает, что среднее значение тоже может меняться со временем. Напишем:
(это уравнение движения, пятый постулат)
(это сопряжённое уравнение)
И это изобразится, наконец, так:
12
Будем считать, что , тогда .
Если , то .
В координатном представлении:
Связь с классической механикой
,
Где классическая механика верна? Там, где можно пренебречь соотношениями неопределённостей!
( отлична от нуля в маленькой области)
10. Атом водорода. Частица в центрально симметричном поле
Пусть , т.е. поле обладает центральной симметрией, тогда . Гамильтониан в координатном представлении имеет вид . Пишем уравнение на собственные векторы:
В полярных координатах оператор Лапласа имеет вид
,
где содержит слагаемые с производными по переменным и .
Можно показать, что оператор квадрата импульса и гамильтониан коммутируют: . Физически это означает, что L2 сохраняется. И тоже, значит операторы имеют общие собственные векторы.
Положительно заряжённое ядро создаёт поле или в более общем виде . Вектор , где , , , будет решением уравнения на собственные векторы гамильтониана, при чём
Вектору в координатном представлении отвечает функция .
Стационарное состояние электрона в атоме водорода задаётся тремя числами n, l, m, эти числа определяют энергию En, момент и проекцию импульса соответствующие этому состоянию, при чём . Это вследствие того, что .
Бор постулировал, что существуют орбиты, на которых электроны не излучают и ещё
1) , где n – номер орбиты,
2) .
Из этих постулатов следует, что
и .
При Z = 1 (водород) и n = 1 .
11. Система тождественных частиц
Пусть система состоит из N частиц, а её состояние задаётся вектором тогда соответственно
(вероятность обнаружить частицу в элементе объёма ) = .
,
,
где .
В квантовой механике частицы одного сорта тождественны, принципиально неразличимы (рис. 11.1). Пусть у нас имеется две частицы, тогда
Как это может быть? Так как модуль вектора постоянен, то вектор может только вращаться вокруг начала координат: . Из условия нормировки следует: , это выполняется только в двух случаях: и . Так как , возможны две ситуации:
1. , волновая функция симметрична относительно перестановки пары тождественных частиц, такие частицы называются бозоны;
2. , это фермионы.
Принцип Паули гласит, что два фермиона не могут находиться в одном и том же состоянии.
§7. Квантовая статистика
Ели мы при абсолютном нуле температуры будем кидать бозоны в одну энергетическую яму, а фермионы в другую, то картины будут различными: фермионы будут занимать различные энергетические уровни, а бозоны – первый.1)
Если теперь мы будем бозоны трясти, то они как-то распределятся по энергиям, фермионы тоже. Я приведу только результат.
1. Распределение Ферми (для фермионов)
Среднее число частиц при температуре T в определённом состоянии даётся формулой
где – уровень Ферми или химический потенциал. Электроны в металле представляют идеальный фермионный газ.
2. Распределение Бозе (для бозонов)
14
Итак, среднее число частиц в состоянии при температуре T равно:
,
где соответствует фермионам, – базонам.
3. Число состояний частицы в определённом интервале энергий. Распределение по энергиям
Число частиц с энергиями в интервале пропорционально : . Наша задача найти функцию распределения по энергиям .
Если мы найдём функцию g(E), тогда автоматически мы найдём и f(E), – число состояний, приходящихся на интервал энергий . Это можно условно так изобразить: на шкале энергий отдельные значения энергии (энергия меняется дискретно), число палочек в интервале энергий это как раз будет число состояний . Проблема теперь упирается в нахождение этой функции g(E).
Мы рассматривали частицу в ящике, и там были найдены возможные состояния, напомню, что любая тройка целых чисел задаёт состояние с волновой функцией . Перебирая все тройки чисел, мы получим все возможные состояния. А теперь у нас задача такая: задать интервал энергии и перебрать все возможные состояния, энергия которых попадёт в этот интервал. Задача на первый взгляд страшно трудная, на самом деле решаемая и довольно элементарно. Можно было бы отталкиваться от решения для ящика, но применяется другой трюк более удобный.
Будем считать, что волновая функция частицы не такая, как там было найдено для частицы в ящике, а волновая функция имеет вид с граничными условиями:1)
Это означает, что
Ну, и
- целые числа
Если б мы рассматривали свободную частицу в пространстве, любой вектор был бы допустим, когда мы рассматриваем частицу в ящике, то не любые векторы задают состояния, а каждая компонента вектора должна быть кратной величине .
Векторы могут быть такими, как на рис.3.3, они дискретны, проекции вектора должны быть кратны числу . Мы имеем дискретный набор точек и теперь мы их можем считать. Мы видим, что на одно состояние в этом пространстве волновых чисел или k-пространстве приходится ячейка с объёмом .
А теперь мы можем ответить на вопрос о том, сколько состояний приходится на заданный интервал энергии. Для частицы с массой m . В k-пространстве энергии E отвечает сфера радиуса , и тогда все точки k-пространства, которые находятся внутри этой сферы, отвечают состояниям, энергия которых меньше E. Тогда число состояний с энергией в интервале [0, E] это будет объём сферы, делённый на объём, приходящийся на одно состояние.
Число состояний NE с энергиями в интервале [0, E], будет равняться
, где V = L3
А тогда число состояний в интервале мы получим просто дифференцированием:
Тогда число частиц, для которых , равно
Это не то, что нас интересует. Это не распределение по энергиям – это распределение по волновым числам. А теперь мы вернёмся к распределению по энергиям.
Фермионы с массой m.
, нам теперь надо просто перейти от k к E.
.
На самом деле, мы это учли движение частицы в целом, частица может иметь ещё внутренние состояния, связанные с её спином, тогда эта формула подправится, и мы напишем так:
Этот множитель 2(j+1) – это число проекций спина на выбранную ось. Для электронов и 2j+1 = 2, то есть число состояний удваивается, тогда для идеального фермионного газа распределение по энергиям выглядит так:
Такой множитель запоминать это безумие, важно, что функция распределения (что вы должны помнить, придя на экзамен)
На что похожа эта функция?
Интеграл должен равняться полному числу частиц N. Для фермионного газа , если этот интеграл взять, можно определить .
4. Равновесное электромагнитное излучение в полости
Мы уже обсуждали, что если взять полость, стенки которой имеют температуру T, и маленькую дырку в этой полости, то эта дырка ведёт себя как абсолютно чёрное тело, а излучение, которое заполняет полость характеризуется определённым распределением энергии по частотам, и это распределение универсально, оно не зависит от стенок полости, это то, что называется равновесное электромагнитное излучение. Я уже упоминал, что классическая физика споткнулась на этом равновесном электромагнитном излучении. А сейчас мы сидим в полости, стенки имеют температуру T, мы имеем температуру немного большую и портим всё дело, выгнали нас, свет потушили, и тогда мы имеем полость, и вся эта полость заполнена электромагнитным излучением, это излучение характеризуется определённым распределением энергии по частотам или по длинам волн, наша цель найти это распределение.
Мы будем исходить не из волновой картины, что здесь волны электромагнитные, а из фотонной картины. Стационарное состояние электромагнитного поля характеризуется определённым набором фотонов, т.е. мы это электромагнитное поле здесь будем рассматривать как идеальный фотонный газ. А фотоны это бозоны. И мы немедленно применяем формулу распределения Бозе к нашему фотонному газу. Импульс фотона , энергия фотона , а . Тогда число фотонов
(для фотонов )
Множитель 2 за счёт двух значений поляризации. Это число фотонов при температуре T, сейчас мы его переделаем .
Это число фотонов, которые приходятся на интервал частот . А теперь мы можем найти распределение энергии по частотам.
Множитель, который стоит перед , называется спектральная плотность равновесного электромагнитного излучения, и она даётся формулой
Это формула Планка. Впервые в этой формуле появилась константа, названная постоянной Планка.
Нарисуем эту функцию: начало её как , хвост её экспоненциальный.
15
§8. Твёрдое тело
С помощью этой формулы Планка мы можем получить все ответы на вопросы, связанные с твёрдым телом.
1. Классическая теория теплоёмкости. Модель независимых осцилляторов
Твёрдое тело может быть смоделировано частицами, которые колеблются относительно положения равновесия. Частицы в узлах решётки сидят и при нагревании колеблются, поэтому простейшая модель такая: частица массы m привязана пружинкой жёсткости k к положению равновесия. На самом деле, там пусто и привязаться не к чему, мы делаем модель. Каждый атом с положением равновесия в узлах решётки мы моделируем независимым осциллятором. Энергия осциллятора . Можно доказать, что средняя кинетическая энергия осциллятора равна средней потенциальной энергии: . Из статистической физики известно, что , поэтому средняя энергия одного осциллятора равна . Тогда внутренняя энергия одного моля будет равняться , а теплоёмкость
Классическая теория говорит, что теплоёмкость одного моля любого твёрдого тела равна 3R. На самом деле, теплопроводность твёрдых тел экспериментально имеет такой вид (рис.1.2).
При достаточно низких температурах теплоёмкость падает как T3. Классическая теория не справляется с этим делом.
Энергия осциллятора квантуется. , где – частота осциллятора. Если учесть квантование энергии, то средняя энергия, приходящаяся на одну степень свободы равна , а для пространственного осциллятора
Как это согласуется с классическим результатом? Очень просто – при и при . Это уже даёт правильное приближение, но закон T3 не получается всё равно. Это говорит о том, что модель независимых осцилляторов слишком груба.
2.Дебаевская теория
Конечно, эти осцилляторы не могут быть независимыми. Реальная модель такая: мы имеем атомы, связанные пружинками, конечно они могут колебаться, но это не независимые осцилляторы. Это представляется ужасным делом, но на самом деле это решаемая задача. Мы же ещё упростим картину.
Моделью нашего твёрдого тела будет сплошное упругое тело. Тогда тепловое возмущение будет представляться распространением возмущения, то есть стоячими звуковыми волнами. Электромагнитному полю ставятся в соответствие частицы фотоны, точно так же звуковым волнам в этой упругой среде ставятся в соответствие частицы фононы с энергией и импульсом . Подобно тому как электромагнитным волнам ставится в соответствие идеальный фотонный газ, возбуждению звуковых волн в твёрдом теле ставится в соответствие идеальный фононный газ. И тогда справедлива формула
В твёрдом теле, в отличие от электромагнитных волн, которые имеют два состояния поляризации, может идти продольная волна и поперечная с двумя состояниями поляризации, поэтому появился множитель . Для фонона . И ещё одна тонкость – для фонона три состояния волны имеют разные скорости, но мы будем считать, что они одинаковы.
Тогда внутренняя энергия кристалла изобразится как интеграл:
Для фотонов верхний предел был , а здесь мы имеем дело с кристаллом, там длина волны меньше чем атомные расстояния, значит надо где-то оборвать интеграл. мы определим из условия, что полное число состояний должно равняться 3N, числу собственных колебаний.
Попробуем найти классический предел (классическая механика всегда является предельным случаем квантовой).
здесь , а – дебаевская температура.
При и , соответственно теплоёмкость . Это первое подтверждение теории. При больших температурах и мы получаем . Мы получили классический результат!
3. Твёрдое тело. Решётка Браве. Обратная решётка
Чем замечателен идеальный кристалл? Тем, что в нём возможны сдвиги, при которых вся эта структура переходит в себя (в узлах могут быть сложные группы атомов, они тоже переходят в себя).
Кристалл – это трёхмерная структура, три вектора , не лежащих, естественно, в одной плоскости, такие, что при сдвиге на вектор , где n1, n2, n3 – любые целые числа, структура переходит в себя, задают элементарную ячейку кристалла, объём этой ячейки равен
Данной решётке ставится в соответствие обратная решётка с такими условиями: . Объём ячейки обратной решётки из геометрических соображений будет равен .
Симметрия кристалла позволяет получить важную теорему Блоха: волновые функции стационарных состояний электронов в твёрдом теле имеют вид , при этом пространственная функция обладает таким свойством периодичности: .
Что эта волновая функция из себя представляет в одномерном случае? Функция для частицы в пустом пространстве это плоская волна, её амплитуда промодулирована вот такой пространственной функцией с периодом решётки , амплитуда должна быть больше в местах нахождения атомов и меньше там, где их нет, то есть в промежутках.
Вот примерно такая волновая функция электронов, она максимальна в окрестности атома, там плотность вероятности обнаружить электрон больше, но в общем-то она не равна нулю в межатомных промежутках. Это просто означает, что электроны в твёрдом теле уже не принадлежат атомам, каждый электрон – житель всей этой решётки, волновая функция электрона размазана по всему образцу. Понятно почему: атомы это соседние потенциальные ямы, разделённые потенциальным барьером, но есть туннельный эффект.
4. Зоны энергии
Электрон в твёрдом теле заведомо находится в связанном состоянии, согласно общим положениям квантовой теории его энергия должна квантоваться, то есть собственные значения гамильтониана должны быть дискретны. Мы увидим сейчас, как она квантуется. Напишем гамильтониан:
Потенциальная энергия выглядит, конечно, сложным образом: это потенциальные ямы в окрестности атомов, и её не только ядра создают, там и все электроны. Выражение для гамильтониана задать очень сложно, надо учитывать взаимодействие электронов между собой, взаимодействия с ядрами, взаимодействие ядер между собой…, но нам это не важно, нам важно одно – эта функция периодическая. Напишем уравнение на собственные значения гамильтониана, где функция имеет такой вид :
или
Для каждого имеются значения , при которых это уравнение имеет решение, и тогда каждому будут соответствовать собственные функции . Таким образом, стационарные состояния электронов в металле задаются двумя переменными вектором и числом n, им отвечает функция и энергия . Напишем окончательно так:
Вот главный результат от всей этой науки, и всё это добыто как следствие трансляционной инвариантности решётки (вся физика переходит в себя при сдвигах с определённым вектором ). Что мы получаем? Вот у нас энергетическая шкала E, возможные значения энергии определяются величинами . Фиксируем n, получаем какую-то функцию от , которая имеет минимальное значение и максимальное. n = 2, мы опять имеем полосу энергий, при каком-то значении она минимальна, при каком-то значении она максимальна. И в результате мы получаем, что энергия электронов в металле может лежать в пределах, так называемых, энергетических зон.
Для малых значений n эти зоны не перекрываются, но при больших значениях n они начинают перекрываться. Ещё более детальный анализ показывает, что имеются уровни энергий для электрона в атоме, когда эти атомы построятся в решётку, то эти уровни энергий расщепляются на зоны (рис. 4.2). Число уровней, на которые расщепляется начальный, равно 2N, где N – число атомов.
Чтоб с этим кончить, какие значения принимает вектор ? В прошлый раз мы обсуждали понятие обратной решётки, вектор имеет размерность обратной длины, значит вектор это вектор, принадлежащий обратной решётке. Все значения вектора в пределах элементарной ячейки отвечают определённым состоянию, если мы переходим в соседнюю ячейку, то там все состояния повторяются. Поэтому, если – трансляционный вектор обратной решётки, то выполняются условия: , .
5. Уравнения движения электронов в твёрдом теле
Функция определяет стационарное состояние в твёрдом теле. Для частицы в вакууме функция определяет состояние с импульсом . Такая функция для электронов в твёрдом теле определяет состояние, величина называется квазиимпульсом. Настоящий импульс электрона в металле меняется сложным образом. Для частицы в пустоте из волновых функций можно соорудить волновой пакет, и этот пакет будет иметь групповую скорость . Для частицы в пустоте в состоянии энергия , и . Для электрона в твёрдом теле определяет энергию электрона в состоянии , скорость волнового пакета, который можно построить для электрона будет определяться по аналогии эта формула определяет скорость электрона в твёрдом теле. Тогда уравнение движения электрона в твёрдом теле, оказывается, имеет такой вид:
где – напряжённость и индукция внешнего электромагнитного поля.
- это сила Лоренца, квазиимпульс меняется, как импульс свободной частицы, под действием этой самой силы Лоренца. Импульс электрона должен был бы чувствовать все микроскопические поля, волновой пакет, представляющий электрон в твёрдом теле, сквозит через кристаллическую решётку, не чувствуя никаких локальных полей. Но это только для правильной решётки.
6. Проводимость твёрдых тел
Как определяется плотность тока? Берём маленький объём пространства, в пределах этого объёма вычисляем заряд частицы на скорость частицы, суммируем все эти вещи в пределах объёма, делим полученную величину на величину объёма – это есть плотность тока. Для нашего случая (для электрона в твёрдом теле) тогда напишем
Теперь от суммирования перейдём к интегралу: , множитель 2 вводится потому, что в одном состоянии может быть две частицы с антипараллельными спинами. Тогда получаем такой результат для плотности тока:
Здесь интегрирование ведётся по занятым состояниям . А теперь математический факт:
это следствие того, что .1)
Мораль из этого математического факта такая: электроны в полностью заполненной зоне не дают вклада в проводимость, т.е. ток, соответствующий им, равен нулю.
«Дырки»
Отсюда мы видим, что . Это означает, что плотность тока можно вычислять либо суммируя соответствующие выражения по занятым состояниям, либо суммировать по свободным состояниям, но, беря e со знаком (+). Это математическое обстоятельство и приводит к концепции дырок. Мы в зоне имеем занятые электронные состояния, и если зона заполнена не полностью, то эти электроны дают вклад в проводимость, мы скорость каждого электрона умножаем на его заряд -e и получаем ток, - с таким же успехом мы могли бы суммировать по свободным состояниям, которые остались пустыми в зоне, умножать скорости, отвечающие свободным состояниям (хотя там никого нет) на заряд +e и считать, что у нас имеются не электроны отрицательные, а положительно заряженные частицы в этих свободных состояниях. Ну, а свободные состояния называются дырками, по вполне понятным причинам, и мы можем считать, что ток тогда обеспечивается либо электронами, которые занимают определённые состояния, либо – как зеркальное отражение этого дела – положительно заряженными частицами, отвечающими свободным состояниям, или дырками.
Заметьте, у нас электрон здесь не частица, это некоторая математическая конструкция вот с тем квазиимпульсом, который чувствует только внешнее поле. Эти наши частицы ведут себя именно как частицы в пустом пространстве. Для того, что называется электронами в твёрдом теле, кристаллическая решётка это то же самое, что вакуум для настоящего электрона.
Из всей этой математики следует, что сопротивление равно нулю. Сопротивление, на самом деле, имеется за счёт того, что решётка обычно искажена, в частности за счёт теплового движения.
7. Проводники, полупроводники и изоляторы.
Вот, имеются зоны энергии, есть последняя заполненная зона, она называется валентной зоной. Мы видели, что электроны, сидящие в заполненных зонах, вклада в проводимость не дают. Дальше вариант такой: за валентной зоной идёт пустая зона при T = 0, тело с такой структурой это изолятор. При нагревании, если запрещённая зона не слишком велика, происходит тепловое возбуждение, и часть электронов из валентной зоны может перейти в следующую зону, зону проводимости, тогда интеграл будет отличен от нуля, и появится ток, это полупроводники. Полупроводники – это твёрдое тело, для которого ширина запрещённой зоны не слишком велика, так что при комнатных температурах число электронов, которые перейдут в зону проводимости, будет ощутимо. При понижении температуры сопротивление будет расти и при абсолютном нуле температуры полупроводник становится изолятором. Если эта запрещённая зона достаточно велика (больше некоторого условного уровня), то соответствующий металл называется изолятором. При тепловом возбуждении всё равно часть электронов переходит в зону проводимости, но их мало и заметного вклада в проводимость они не дают.
То есть с этой точки зрения изолятор это плохой полупроводник или полупроводник это плохой изолятор, качественного различия нет.
А есть, наконец, твёрдые тела, для которых нет этой запрещённой зоны, т.е. либо зона проводимости пересекается с валентной зоной, либо мы просто имеем частично заполненную зону, а следующая свободна, эти тела называются проводники и это металлы. Проводник и металл в этом контексте синонимы. В проводниках можно считать, что электроны в этой частично заполненной зоне ведут себя как идеальный фермионный газ.
Ну вот, всё. Остальное придётся прочитать в книжке, но повторяю, там идейных проблем нет, там только детали.
11) Вот, я слышал, математик известный придумал, что все эти временные шкалы ерунда, и вообще, мир начался где-то 300 лет назад что ли, а всё остальное – подделки, фальшивки и подтасовка фактов. Бред собачий. Тут даже не о чем говорить. Дело в том, что имеются разные временные шкалы: хроники, углеродный способ датировки и прочее – это вещи не из одного источника, это всё согласовано. Я не знаю, что должно произойти в голове, чтобы вот так зациклиться на такой бредовой идее.
22) Нет до сих пор надёжной модели, представления о возникновении солнечной системы, но, во всяком случае, как бы она там не возникла, все характеристики, которые она имела бы, это по отношению ко всему дальнейшему случайные начальные условия. Земля могла бы быть ближе к Солнцу, могла бы быть дальше, параметры орбит были бы другими. Ну, например, более-менее понятно, почему орбиты всех планет лежат приблизительно в одной плоскости, скажем, из вращающегося диска это могло образоваться, опять же это начальные условия.
11) На самом деле, там не этот аспект взаимодействия правильный, то есть классическая теория и здесь оказалась неверной. На счёт рассеяния (с синевой неба) она сработала, но по причинам, которые мы дальше увидим.
11) Если мы видим воду – это просто, ещё не успевшая испариться, вода.
11) Наглядная картина: вырыли в земле яму глубиной 3м и кинули туда узника. Высота барьера, потенциальная энергия, , и он там прыгает. Его возможности ограничены (прыгуны-рекордсмены прыгают на 2м), его кинетическая энергия, которую он может развить при прыжке, это , где h = 2м. И вот он там в этой яме прыгает, и всё, – прыгает, прыгает, а ему ещё не хватает куска в 1м. Так из этой ямы ему не выбраться никогда.
22) Не то, что есть явления, к которым неизвестно как подступиться, любому человеку можно предложить задачу, которую он не знает, как решить, это ещё не дефект науки, это сложность задачи и дефект того, кто её пытается решить. Здесь другая ситуация: проблема ясная, как её решать тоже понятно, действуем по правилам, – получаем ерунду (не то, что мы не знаем, как её решать). Это дефект теории, а не того, кто её применил.
33) Во времена Ньютона уже была гипотеза о том, что свет это есть волна, Гюйгенс в частности был её последователем, и другая, что свет есть поток частиц, то есть светящееся тело испускает какие-то частицы. В те времена нельзя было их проверить. Можно было говорить, как Гюйгенс, что это есть волны, и объяснить наблюдаемые явления, то, что называется геометрической оптикой. Преломление света и отражение одинаково хорошо и та и другая теория объясняла. Вот, когда было обнаружено явление интерференции (опыт Юнга в начале XIX века), тогда восторжествовала волновая теория. И для объяснения взаимодействия света с веществом пришлось вернуться к корпускулярным представлениям.
11) Какая масса, покоя или релятивистская, стоит в формулах? – вопрос из зала. Масса, которая стоит в этой формуле это свойство частицы. Вот у вас есть килограммовая гиря, на ней написано «1кг», как бы эта гиря тут не летала, надпись «1кг» сохраняется. Это отголоски того, что в своё время любили различать массу покоя и полную релятивистскую массу, которая вроде бы зависит от скорости. Здесь, когда я пишу m, это свойство частицы (в таблице смотрим).
22) Это не означает, что нет смысла убегать. Например, гонится за вами фотон, вы от него бежите со скоростью , он всё равно вас настигает со скоростью c, но есть смысл убегать, потому что меняется не его скорость, а меняется его импульс. Если вы будете быстро убегать, то импульс, с которым он вонзится вам в спину, будет гораздо меньше (и может быть сколь угодно малым), он вас настигнет так же быстро, как если бы вы стояли на месте, но эффект будет не тот.
11) Потому что, если бы, например, по понедельникам он вёл себя как волна, а по вторникам как частица, это была бы проблема, конечно, это бы подорвало основы науки.
22) Я даже не буду говорить тут «свет», - «объект».
33) При этом фотон должен поглотится электроном с самой большой энергией, и ещё должно оказаться так, что импульс электрона направлен наружу.
44) Дальше идут два вопроса из зала.
11) Когда сталкиваются два бильярдных шара, исход столкновения на основе законов сохранения энергии и импульса описать нельзя (иначе не было бы игры в бильярд), он ещё зависит от так называемого прицельного параметра.
11) Не на свете (для света в видимой области условие сохраняется), а наблюдалось рассеивание рентгеновских лучей на электронах, то есть на
Нравится материал? Поддержи автора!
Ещё документы из категории физика:
Чтобы скачать документ, порекомендуйте, пожалуйста, его своим друзьям в любой соц. сети.
После чего кнопка «СКАЧАТЬ» станет доступной!
Кнопочки находятся чуть ниже. Спасибо!
Кнопки:
Скачать документ