Исследование распределения температуры в тонком цилиндрическом стержне




























































































Санкт-Петербургский Государственный Технологический Институт
(Технический Университет)
Кафедра Факультет VIII
Прикладной Курс II
Математики Группа 891
Дисциплина: Информатика – 2
Курсовая работа
Тема: «Исследование распределения температуры в тонком цилиндрическом стержне»
Руководитель:
Поляков В.О.
Исполнитель:
Солнцев П.В.
Санкт-Петербург 2001
Введение
В решении любой прикладной задачи можно выделить три основных этапа:
построение математической модели исследуемого объекта
выбор способа и алгоритма решения полученной модели
численная реализация алгоритма
Цель данной работы – на примере исследования распределения температуры в тонком цилиндрическом стержне освоить основные методы приближённых вычислений, приобрести практические навыки самостоятельных исследований, существенно опирающихся на использование методов прикладной математики.
Содержание
Постановка задачи
Физическая модель
Математическая модель
Обработка результатов эксперимента
Задача регрессии. Метод наименьших квадратов.
Гипотеза об адекватности модели задачи регрессии
Нахождение коэффициента теплоотдачи
Вычисление интеграла методом трапеций
Вычисление интеграла методом парабол (Симпсона)
Вычисление времени Т0 установления режима
Решение уравнения комбинированным методом
Решение уравнения методом итерраций
Решение краевой задачи (метод малого параметра)
Заключение
Литература
Постановка задачи
Физическая модель
В ряде практических задач возникает необходимость исследования распределения температуры вдоль тонкого цилиндрического стержня, помещённого в высокотемпературный поток жидкости или газа. Это исследование может проводиться либо на основе обработки эксперимента (измерение температуры в различных точках стержня), либо путём анализа соответствующей математической модели.
В настоящей работе используются оба подхода.
Тонкий цилиндрический стержень помещён в тепловой поток с постоянной температурой , на концах стержня поддерживается постоянная температура 0.
1.2 Математическая модель
Совместим координатную ось абсцисс с продольной осью стержня с началом в середине стержня. Будем рассматривать задачу (распределения температуры по стержню) мосле момента установления режима Т0.
Первая математическая модель использует экспериментальные данные, при этом измеряют температуру Ui стержня в нескольких точках стержня с координатами xi. Результаты измерения Ui рассматривают как функцию регрессии и получают статистики. Учитывая чётность U(x) можно искать её в виде многочлена по чётным степеням x (ограничимся 4-ой степенью этого многочлена).
(1.1)
Задача сводится к отысканию оценок неизвестных параметров, т.е. коэффициентов a0 , a1 и a2 , например, методом наименьших квадратов.
Вторая математическая модель, также использующая экспериментальные данные, состоит в применении интерполяционных формул и может употребляться, если погрешность измерений температуры Ui пренебрежимо мала, т.е. можно считать, что U(xi)=Ui
Третья математическая модель основана на использовании закона теплофизики. Можно доказать, что искомая функция U(x) имеет вид:
(1.2)
где коэффициент теплопроводности, коэффициент теплоотдачи, D – диаметр стержня, температура потока, в который помещён стержень.
Ищем U(x) как решение краевой задачи для уравнения (1.2) с граничными условиями:
(1.3)
на отрезке [-L|/2;L/2], где L – длина стержня, постоянная температура, поддерживаемая на концах стержня.
Коэффициент теплопроводности зависит от температуры:
(1.4)
где начальное значение коэффициента теплопроводности, вспомогательный коэффициент.
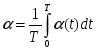
Коэффициент теплоотдачи вычисляют по формуле:
(1.5)
т.е. как среднее значение функции
за некоторый отрезок времени от 0 до Т, здесь значение при t стремящемся к бесконечности, b – известный коэффициент.
Время Т0, по истечении которого распределение температуры в стержне можно считать установившимся определяется по формуле:
(1.6)
где а – коэффициент температуропроводности, наименьший положительный корень уравнения:
(1.7)
Задание курсовой работы
Вариант № 136
Исходные данные:
L = 0.0386 м
D = 0,00386 м
оС
оС
141,85 (Вт/м*К)
2,703*10-4
6,789*10-7
3,383*102 (Вт/м2*К)
218 оС
А = 3,043*10-5 (м2/с)
11
X, м
U, oC
0
353
0,00386
343
0,00772
313
0,01158
261
0,01544
184
0,01930
74
2. Обработка результатов эксперимента.
2.1 Задача регрессии. Метод наименьших квадратов.
Ищем функцию регрессии в виде (1.1). Оценки коэффициентов находим с помощью МНК, при этом наименьшими будут оценки, обеспечивающие минимум квадратов отклонений оценочной функции регрессии от экспериментальных значений температуры; суммирование ведут по всем экспериментальным точкам, т.е. минимум величины S:
(2.1)
В нашем случае необходимым т достаточным условием минимума S будут:
Где k = 0, 1, 2. (2,2)
Из уравнений (2.1) и (2.2) получаем:
(2.3)
Сумма
Система (2.3) примет вид:
(2.4)
В результате вычислений получаем Sk и Vj. Обозначим матрицу коэффициентов уравнения (2.4) через “p”:
Методом Гаусса решаем систему (2.4) и найдём обратную матрицу p-1. В результате получаем:
Подставляя в (2.1) найденные значения оценок коэффициентов ак, находим минимальное значение суммы S:
Smin=0.7597
При построении доверительных интервалов для оценок коэффициентов определяем предварительно точечные оценки.
Предполагается, что экспериментальные значения xi измерены с пренебрежимо малыми ошибками, а случайные ошибки измерения величины Ui независимы и распределены по нормальному закону с постоянной дисперсией , которая неизвестна. Для имеющихся измерений температуры Ui неизвестная дисперсия оценивается по формуле:
Где r – число степеней свободы системы, равное разности между количеством экспериментальных точек и количеством вычисляемых оценок коэффициентов, т.е. r = 3.
Оценка корреляционной матрицы имеет вид:
Оценки дисперсий параметров оценок коэффициентов найдём по формулам:
Где Sk – минор соответствующего диагонального элемента матрицы нормальной системы;
главный определитель нормальной системы.
В нашем случае:
S0=3.5438 10-22
S1=-8.9667 10-14
S2=6.3247 10-7
Откуда:
Найденные оценки коэффициентов распределены по нормальному закону, т.к. линейно зависят от линейно распределённых экспериментальных данных Ui.
Известно, что эти оценки несмещённые и эффективные. Тогда случайные величины:
Имеют распределения Стьюдента, а r = 3.
Выбираем доверительную вероятность =0,9 и по таблице Стьюдента находим критическое значение равное 2,35, удовлетворяющее равенству:
Доверительные интервалы для коэффициентов:
(2.4*)
В нашем случае примут вид:
2.2 Проверка статистической гипотезы об адекватности модели задачи регрессии.
Имеется выборка объёма n экспериментальных значений (xi;Ui). Предполагаем, что ошибки измерения xi пренебрежимо малы, а случайные ошибки измерения температур Ui подчинены нормальному закону с постоянной дисперсией Мы выбрали функцию регрессии в виде:
Выясним, нельзя ли было ограничиться многочленом второго порядка, т.е. функцией вида:
(2.5)
C помощью МНК можно найти оценки этих функций и несмещённый оценки дисперсии отдельного измерения Ui для этих случаев:
Где r1 = 4 (количество точек – 6, параметра – 2).
Нормальная система уравнений для определения новых оценок коэффициентов функции (2.5)с помощью МНК имеет вид:
(2.7)
Решая эту систему методом Гаусса, получим:
(2.8)
Чем лучше функция регрессии описывает эксперимент, тем меньше для неё должна быть оценка дисперсии отдельного измерения Ui, т.к. при плохом выборе функции в дисперсию войдут связанные с этим выбором дополнительные погрешности. Поэтому для того, чтобы сделать выбор между функциями U(x) и U(1)(x) нужно проверить значимость различия между соответствующими оценками дисперсии, т.е. проверить гипотезу:
Н0 – альтернативная гипотеза
Т.е. проверить, значимо ли уменьшение дисперсии при увеличении степени многочлена.
В качестве статического критерия рассмотрим случайную величину, равную:
(2.9)
имеющую распределение Фишера с(r ; r1) степенями свободы. Выбираем уровень распределения Фишера, находим критическое значение F*, удовлетворяющее равенству: p(F>F*=
В нашем случае F=349.02, а F*=10,13.
Если бы выполнилось практически невозможное соотношение F>F, имевшее вероятность 0,01, то гипотезу Н0 пришлось бы отклонить. Но в нашем случае можно ограничиться многочленом
, коэффициенты в котором неодинаковы.
3. Нахождение коэффициента теплопроводности .
Коэффициент вычислим по формуле (1.5), обозначим:
(3.1)
Определим допустимую абсолютную погрешность величины интеграла I, исходя из требования, чтобы относительная погрешность вычисления не превосходила 0,1%, т.е.:
(3.2)
Т.к. из (3.1) очевидно, что , то условие (3.2) заведомо будет выполнено, если:
(3.3)
Т.е. в качестве предельно допустимой абсолютной погрешности вычисления интеграла I возьмём 0,001Т (3.4)
Т=218 оС, следовательно, 0,218 оС.
3.1 Вычисление интеграла I методом трапеции
Использование теоретической оценки погрешности
Для обозначения требуемой точности количества частей n, на которые нужно разбить отрезок интегрирования [0;T] определяется по формуле:
, где M[f”(t)], t e [0;T], f(t)=e-bt3
Учитывая формулу (3.4) получаем:
(3.5)
Дифференцируя f(t), получим:
А необходимое условие экстремума: f”(t)-f’’’(t)=0, откуда получаем:
Далее вычисляем значения f’’(t) при t=t1, t=t2, t=0 и t=T, получаем:
f’’(t1)=1.5886 10-4
f’’(t2)=-1.6627 10-4
f’’(0)=0
f’’(T)=7.4782 10-6
Итак: M1,5886 10-4, откуда n=25.66; принимаем N=26.
Далее вычислим интеграл I:
Погрешность вычисления :
3.2 Вычисление интеграла I методом парабол
При расчётах будем использовать теоретическую оценку погрешности с помощью правила Рунге. Для обеспечения заданной точности количество частей n, на которое следует разделить интервал интегрирования можно определить по формуле:
, откуда:
Нахождение М4 можно провести аналогично нахождению М2 в предыдущем пункте, но выражение для fIV(t) имеет довольно громоздкий вид. Поэтому правило Рунге – наиболее простой способ.
Обозначим через In и I2n значение интеграла I, полученное при разбиении промежутка интегрирования соответственно на n и 2n интервалов. Если выполнено равенство: |I2n-In| = 15 , то |I-I2n|=
Будем , начиная с n=2, удваивать n до тех пор, пока не начнёт выполняться неравенство (*1), тогда:
(3.6)
Согласно формуле парабол (3.7):
Результаты вычислений сведём в таблицу:
-
n
In
I2n
4
102.11
8
101.61
0.5017
По формуле (3.7) I = 101,61 что в пределах погрешности совпадает со значением, полученным по методу трапеций
n=8
n=4
ti (8)
y8
ti (4)
y4
0
1
0
1
27.25
0.9864
54.5
0.8959
54.5
0.8959
81.75
0.6901
109
0.4151
109
0.4151
136.25
0.1796
163.5
0.0514
163.5
0.0514
190.75
0.0089874
218
0.00088179
218
0.00088179
4. Вычисление времени Т0 установления режима
4.1 Решение уравнения комбинированным методом
Время установления режима определяется по формулам (1.6) и (1.7).
Проведём сначала отделение корней. Имеем y = ctg(x) и y = Ax. Приведём уравнение к виду: A x sin(x)-cos(x) = 0. Проведём процесс отделения корня.
F(x)
-1
-0.6285
0.4843
x
0.01
0.05
0.1
т.е. с [0.01;0.05]
Убедимся, что корень действительно существует и является единственным на выбранном интервале изоляции.
f(a) f(b)<0 – условие существования корня выполняется
f’(x) на [a;b] – знакопостоянна: f’(x)>0 – условие единственности также выполняется. Проведём уточнение с погрешностью не превышающей
Строим касательные с того конца, где f(x) f”(x)>0
f”(x)=(2A+1)cos(x) – A x sin(x). f”(x)>0 на (a;b), следовательно касательные строим справа, а хорды слева. Приближение корня по методу касательных:
по методу хорд:
Вычисление ведём до того момента, пока не выполнится условие:
Результаты вычислений заносим в таблицу:
-
n
an
bn
f(an)
f(bn)
0
0.05
0.1
-0.6285
0.4843
1
0.07824
0.08366
-0.0908
0.0394
2
0.08202
0.08207
-9.1515 10-4
3.7121 10-4
3
0.08206
0.08206
-8.4666 10-8
3.4321 10-8
Т0 = 72,7176 секунд.
4.2 Решение уравнения комбинированным методом
Приведём f(x) = 0 к виду x = (x). Для этого умножим обе части на произвольное число , неравное нулю, и добавим к обеим частям х:
X = x - f(x)
xx - A x sin(x) + cosx)
В качестве возьмём:
где М = max [f’(x)] на [a;b], а m = min [f’(x)] на [a’b]
В силу монотонности f’(x) на [a;b] имеем m = f’(а), М = f’(b). Тогда 0,045.
Приближение к корню ищем по следующей схеме:
Вычисление ведём до тех пор, пока не выполнится условие:
(q = max |’(x)| на [a’b])
’(x) на [a’b] монотонно убывает, поэтому максимум его модуля достигается на одном из концов.
’(0,05) = 0,3322 ’(0,1) = -0,3322, следовательно, q = 0.3322 < 1. В этом случае выполняется условие сходимости и получается последовательность:
-
i
xi
( xi)
xi
0
0.075
0.082392
0.00739
1
0.082392
0.082025
0.000367
2
0.082025
0.08206
3.54 10-5
3
0.08206
0.082057
3.33 10-6
4
0.082057
0.082057
3.15 10-7
Итак, с погрешностью, меньшей 10-4, имеем:
Т0 = 72,7176 с. , 0.03142
5. Решение краевой задачи
Используем метод малого параметра. Краевую задачу запишем в виде:
(5.1)
Введя новую переменную y = (U - , запишем (5.1) в виде:
(5.2)
0.18L/2 =0.0193. В качестве малого параметра возьмём .
Тогда, подставив y(x) в уравнение (5.2) и перегруппировав члены при одинаковых степенях , получим:
(5.3)
Ограничимся двумя первыми членами ряда:
Из (5.2) и (5.3) находим общее решение уравнения для y0:
где y0 с тильдой – частное решение данного неоднородного уравнения; y(1) и y(2) – линейно независимые решения однородного уравнения.
Корни уравнения:
y0общ = 1 + c1ch(px)+c2sh(px), где p = 0.01953
Константы найдём из граничных условий:
откуда с1 = 0, с2 = -0,57; т.е. имеем функцию:
y0 = 1 - 0.57 sh(px)
Общее решение:
Частное решение:
Дифференцируя и подставляя в уравнение, получим:
А1 = 0; А2 = -0,1083; В1 = 0; В2 = 17,1569;
Тогда общее решение для y1 имеет вид:
с3 = 0; с4 = 0,0462
Перейдя к старой переменной U, получим:
Итоговое уравнение:
Пользуясь этой формулой, составим таблицу значений функции U(x):
-
x
U(x)
U
0
352.9075
353
0.0019
350.4901
0.0039
343.1972
343
0.0058
330.9053
0.0077
313.4042
313
0.0097
290.391
0.0116
261.4598
261
0.0135
226.0893
0.0154
1836255
184
0.0174
133.2579
0.0193
74
74
Используя данную таблицу, строим график функции U(x).
[см. приложение 1]
6. Заключение
Решение задачи на ЭВМ при помощи вычислительной системы ManhCad 7.0 дало результаты (функцию распределения температуры в тонком цилиндрическом стержне), полученные по решению практического задания и обработкой эксперимента (функции регрессии), которые практически (в пределах погрешности) совпадают с экспериментальными значениями.
Литература
1. Методические указания «Методы приближённых вычислений. Решение нелинейных уравнений»
(ЛТИ им. Ленсовета, Л. 1983)
2.Методические указания «Приближённые методы ислисления определённых интегралов»
(ЛТИ им. Ленсовета, Л. 1986)
Методические указания «Изучение распределения температуры в тонком цилиндрическом стержне»
(ЛТИ им. Ленсовета, Л. 1988)
Приложение 1
Нравится материал? Поддержи автора!
Ещё документы из категории математика:
Чтобы скачать документ, порекомендуйте, пожалуйста, его своим друзьям в любой соц. сети.
После чего кнопка «СКАЧАТЬ» станет доступной!
Кнопочки находятся чуть ниже. Спасибо!
Кнопки:
Скачать документ