Обобщение классических средних величин






















































































































































































































































































































































































































































































































































































































































































































Федеральное агентство по образованию
Государственное образовательное учреждение высшего профессионального образования
Вятский государственный гуманитарный университет
Математический факультет
Кафедра математического анализа и МПМ
Выпускная квалификационная работа
Обобщение классических средних величин
Выполнил:
студент V курса математического факультета
Лялин Андрей Васильевич
Научный руководитель:
кандидат физ.-мат. наук, доцент
кафедры прикладной математики
С.И. Калинин
Рецензент:
кандидат физ.-мат. наук, доцент кафедры математического анализа и МПМ В.И. Варанкина
Допущена к защите в государственной аттестационной комиссии
«___» __________2005 г. Зав. кафедрой М.В. Крутихина
«___»___________2005 г. Декан факультета В.И. Варанкина
Киров
2005
Отзыв на выпускную квалификационную работу
А.В. Лялина «Обобщение классических средних величин»
Выпускная квалификационная работа студента Лялина А.В. представляет собой систематическое изложение вопросов, касающихся теории средних величин, а также их соответствующих обобщений. Отметим при этом, что её значительная часть является результатом самостоятельной научно-исследовательской деятельности.
Автор обозначенную тему рассматривает весьма полно: им приводятся все необходимые понятия и определения, формулировки и доказательства утверждений.
Затронутый в работе материал излагается индуктивно, на основе частных фактов, это облегчает читателю понимание текста работы.
Наибольший практический интерес представляет исследование неравенств для рассматриваемых средних. Автор устанавливает новый аналог неравенства Иенсена, им выводятся классические неравенства для средних степенных и их аналоги как приложение общих неравенств.
Полученные и усвоенные знания преподнесены грамотно (без стилистических ошибок, за редким исключением), правильно (без математических ошибок), чётко, логично и связно. Важно отметить, что автор умеет пользоваться научной литературой, в том числе иностранными статьями, согласовывать собственные исследования с фактами из литературных источников.
Подчеркнем, что по теме работы А.В. Лялин работал на протяжении трех лет, он неоднократно выступал с научными сообщениями на студенческом научно-исследовательском семинаре по математическому анализу, познакомился с несколькими статьями из зарубежных математических журналов.
Считаю, что работа Лялина А.В. отвечает требованиям, предъявляемым к ВКР, и заслуживает допуска к защите.
Калинин С.И..
Содержание
Введение 3
Глава 1. Квази-средние как обобщение классических средних величин 4
Глава 2. Квази-средние и функциональные уравнения 8
Решение некоторых функциональных уравнений 8
Характеристическое свойство квази-средних 12
Тождественные квази-средние 15
Однородные квази-средние 17
Аддитивные квази-средние 18
Глава 3. Квази-средние и выпуклые функции 19
Некоторые вопросы теории выпуклых функций 20
Обобщение неравенства Коши и его аналог 24
Обобщение неравенства Гёльдера и его аналог 28
Заключение 30
Библиографический список 31
Введение
Вопросы данной работы относятся к области математического анализа, конкретнее к теории средних величин, которая рассматривает свойства средних и неравенства с ними связанные.
Нашей целью будет изучение так называемых квази-средних, обобщающих известные среднее арифметическое, геометрическое и степенное.
В главе 1 мы скажем вначале о том, что вообще понимается под средними, а затем введём новые величины и проверим, в какой мере они удовлетворяют этому определению.
В главе 2 от прямого, конструктивного задания квази-средних, перейдём к аксиоматическому определению, то есть предпишем им некоторые характеристические свойства, а также выделим их основные классы. Здесь в основе будут лежать функциональные уравнения, которые мы отдельно рассмотрим.
В главе 3 укажем неравенства для квази-средних, из которых как частные случаи получим основные неравенства для средних степенных (неравенство Коши о среднем арифметическом и среднем геометрическом; неравенства, характеризующие свойство монотонности средних степенных; неравенство Гюйгенса; неравенство Гёльдера) и их аналоги. Теперь будем опираться на теорию выпуклых функций, и поэтому вновь предварительно обсудим некоторые её вопросы.
Методы доказательств, которые мы применяем в этой работе, не выходят за рамки классического анализа: используем свойства непрерывных, монотонных, выпуклых функций, обращаемся к функциональным уравнениям, при этом доказываем все необходимые факты.
Многие утверждения известны из литературы (где иногда просто сформулированы), некоторые утверждения являются новыми. Мы приводим их полное доказательство, уточняем, детализируем.
Глава 1. Квази-средние как обобщение классических средних величин
Так как предметом нашего изучения будет средняя величина, скажем вначале о том, как средние определяются в литературе. Сильное определение, включающее несколько условий, состоит в следующем [6].
Определение. Непрерывная действительная функция от n неотрицательных переменных называется средним, если для любых выполняются условия:
, то есть S “усредняет” любой набор из n неотрицательных чисел (свойство усреднения);
, то есть “большему” набору соответствует не меньшее значение S (свойство возрастания);
при любой перестановке чисел S не меняется (свойство симметричности);
(свойство однородности).
Но чаще используется более слабое определение: средние выделяются среди других функций предписыванием им только свойства усреднения [2,3,5].
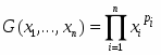
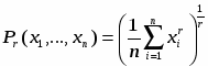
Так известные среднее арифметическое , среднее геометрическое , и более общее среднее степенное для очевидно будут средними и по сильному определению, а их весовые аналоги – взвешенные средние , , , где , , уже не обладают свойством симметричности.
Теперь введём новые величины, обобщающие указанные классические средние – квази-средние [1], которые и будут предметом нашего изучения.
Легко заметить способ построения взвешенного среднего степенного – это есть величина с функцией , сюда включено и взвешенное среднее арифметическое при , и взвешенное среднее геометрическое – та же величина, но с функцией .
Отказавшись от конкретного вида функции , получаем естественное обобщение этих простейших средних [1,2] –, где , с тем лишь ограничением на , что она должна быть непрерывной и строго монотонной на некотором промежутке, содержащем все , тогда обратная функция существует, и мы можем строить для любых чисел из такого промежутка.
Определение. Квази-среднее есть величина вида , где , , для чисел из некоторого промежутка, на котором функция непрерывна и строго монотонна.
Очевидно, квази-средние включают и не взвешенные, обыкновенные средние, если взять для всех номеров i и те же функции ,, . Как мы сказали, эти частные случаи квази-средних удовлетворяют всем условиям сильного определения средней величины. Естественно проверить, какие из условий останутся верными и для построенного обобщения. Рассмотрим условия по порядку.
1. Свойство усреднения.
При возрастании x от до возрастает или убывает от до , и поэтому как среднее арифметическое лежит между этими значениями, но тогда в силу непрерывности обратной функции точка обязана попасть в отрезок [;] = [;], то есть , и свойство выполняется.
2. Свойство возрастания.
Для возрастающей из следует и , а так как обратная функция также возрастает, то или .
В случае убывающей получаем тот же результат. То есть влечёт , и свойство выполняется.
3. Свойство симметричности.
Мы знаем, что симметричны, например, обычные, невзвешанные среднее арифметическое и геометрическое. Но в общем случае квази-средние, конечно, не симметричны. Можно выделить самый широкий класс симметричных квази-средних – они представляются в виде .
Действительно, пусть М симметрична. Тогда для некоторого набора различных чисел и произвольной их перестановки или , и поэтому . Обозначив , имеем , где – набор, полученный произвольной перестановкой различных (в силу строгой монотонности функции ) чисел . Покажем, что последнее равенство возможно, только если . Рассуждаем по индукции.
Для n=2 получаем равенство _______________________________________________________________________________________________________________________________ или , откуда .
Предполагая теперь, что наше утверждение верно для какого-нибудь натурального , покажем, что оно будет верным и для , то есть из равенства будет следовать .
В наборе фиксируем , а остальные чисел произвольно переставляем, тогда или , и поэтому по предположению . Аналогично, зафиксировав , получаем . В результате . Индукционный переход обоснован, и мы можем заключить, что наше утверждение верно для любых n.
А так как , то .
4. Свойство однородности.
Также в общем случае, очевидно, не выполняется. Позже мы покажем, что однородными квази-средними будут только средние степенные.
Итак, по слабому определению квази-средние уже являются средними, но сильному определению они удовлетворяют только наполовину. Поэтому мы и назвали такие величины квази (“почти”)-средними.
Глава 2. Квази-средние и функциональные уравнения
Выше мы определили квази-средние напрямую, конструктивно, но оказывается, что можно дать и аксиоматическое определение, то есть предписать им характеристические свойства. С этой целью отдельно рассмотрим несколько функциональных уравнений, которые также будут использованы нами и для выделения основных классов квази-средних. Напомним, что с помощью свойства симметричности один класс мы уже указали – это величины вида .
Решение некоторых функциональных уравнений
Теорема 1. Единственными непрерывными хотя бы в одной точке решениями следующих уравнений являются соответственно функции:
1. ;
2. ;
3. ;
4. ;
5. ;
6. и , x≠0;
7. , x>0
Доказательство. 1. Найдём все непрерывные хотя бы в одной точке решения уравнения , которое будет основным, так как мы далее сведём к нему все остальные уравнения.
Зафиксируем точку х0 из области определения – ту самую, в которой решение непрерывно, и проверим верность равенства для любого rR.
, что возможно только при ;
для любого rN;
для r=0;
, но тогда и для любого rN, то есть равенство верно для всех целых r.
Далее пусть rQ или r=z/n, где pZ и qN. и поэтому , то есть равенство верно для всех рациональных r.
На последнем шаге используем непрерывность решения в точке х0 и тот факт, что любое действительное число представляется как предел некоторой рациональной последовательности.
Если , то и , а так как , заключаем, что для любого rR.
Теперь , pR (если обозначить не зависящий от х множитель за p).
2. Рассмотрим уравнение .
, и поэтому функция , непрерывная хотя бы в одной точке, удовлетворяет уравнению, то есть уравнению 1, и поэтому .
Точно так же , … , . Но искомое решение , piR.
3. Решим уравнение .
, откуда , и поэтому функция , непрерывная хотя бы в одной точке, удовлетворяет уравнению
, то есть .
Тогда .
4. Обратимся к уравнению .
Прежде всего заметим, что если при каком-либо x0, то для любого x можно заключить , то есть .
Это одно из решений уравнения, и если существует другое решение, то оно не обращается в нуль ни в одной точке. Тогда . Но для положительной всюду можно определить функцию , которая непрерывна хотя бы в одной точке и удовлетворяет уравнению
, то есть . Откуда , где .
5. Рассмотрим уравнение .
, и поэтому
, и поэтому
, то есть g(x) – чётная функция.
Очевидно, если g(x)≠0, то она не определена при х=0. Действительно, если существует g(0), то , откуда –тривиальное решение, существование которого очевидно. Таким образом уравнение достаточно рассматривать при х>0, а на отрицательную полуось решение продолжить чётным образом.
Определим функцию , где для любого х. G(x) непрерывна хотя бы в одной точке и удовлетворяет уравнению , то есть . Откуда , где . И с учётом чётного продолжения .
6. Уравнение также сведём к уравнению 1.
Прежде всего заметим, что если при каком-либо , то для любого x можно заключить , то есть –тривиальное решение. Далее , и так как для нетривиального решения, то из этого равенства следует, что .
Но тогда и g(–1)=1.
Если , то , и g(x) – чётная функция. Если же , то , и g(x) – нечётная функция. Таким образом g(x) достаточно найти при х>0, а на отрицательную полуось решение продолжить или чётным, или нечётным образом, получив тем самым два решения функционального уравнения.
При х>0 , так как – мы ищем нетривиальное решение. Поэтому можно определить функцию , которая непрерывна хотя бы в одной точке и удовлетворяет уравнению , то есть . Откуда .
И с учётом чётного и нечётного продолжений имеем два решения и , x≠0. Для k>0 функции можно по непрерывности доопределить и в нуле, но для k<0 это сделать невозможно. Заметим, что при k=0 вторая функция есть , и мы получаем пример разрывного решения.
7. И уравнение решим, используя предыдущее уравнение.
, и поэтому функция , непрерывная хотя бы в одной точке, удовлетворяет уравнению , но тогда по доказанному для x>0 имеем (в этом случае ограничимся положительными x, так как далее решение на всей числовой прямой нам не понадобится).
Аналогично, , … , . Но искомое решение
, piR.
Характеристическое свойство квази-средних
Теперь мы готовы для квази-средних указать упомянутое выше аксиоматическое определение. Будем исходить от частных случаев – простейших средних. Так взвешенные среднее арифметическое и среднее геометрическое можно определить как непрерывные хотя бы в одной точке решения функциональных уравнений и соответственно, а также эти решения должны удовлетворять условию усреднения, иначе не обязательно и . Первое условие есть результат теоремы 1, а второе условие мы докажем далее в общем случае.
Заметим, что операцию умножения, которая используется в уравнении для среднего геометрического, можно представить как , где , то есть функция, задающая среднее геометрическое. Операция сложения в уравнении для среднего арифметического представляется аналогично, но с функцией.
Тогда вообще для квази-средних рассмотрим операцию, обобщающую сложение и умножение, , где – произвольная непрерывная, строго монотонная функция, множество значений которой – один из промежутков (–;а), (–;а], (b; ), [b; ), (–;), где a≤0 и b≥0, что гарантирует существование операции для любых x и y из области определения функции . Сформулируем общий результат, выражающий аксиоматическое определение квази-средних [1].
Теорема 2. Квази-средние – это такие функции от n переменных, для которых выполнены условия:
непрерывность хотя бы в одной точке;
;
.
Доказательство. Очевидно, что квази-средние, ранее определённые как удовлетворяют перечисленным свойствам. Важно показать обратное – других величин с данными свойствами не существует. Для этого выведем вид функций , исходя из указанных условий.
Распишем уравнение , используя определение операции :
=
=,
=
=
Далее, если определить и обозначить , , то последнее выражение перепишется так, где функция H непрерывна хотя бы в одной точке. Тогда единственной такой функцией будет , piR. Возвращаясь к прежним переменным и функциям, найдём , piR.
Осталось показать, что и . Используем свойство усреднения найденного решения: .
Возьмём , но тогда или , и поэтому . А если предположить, что какое-то , то для и , имеем
==
=, что противоречит условию.
Аналогично можно определить квази-средние вида .
Теорема 3. Квази-средние вида – это такие функции от n переменных, для которых выполнены условия:
непрерывность хотя бы в одной точке;
;
рефлексивность, то есть ;
симметричность.
Действительно, свойства 1 и 2 выделяют функции , piR, далее свойство 3 обеспечивает , а из свойства 4 вытекает.
Теперь мы можем аксиоматически задавать частные случаи квази-средних, указывая для них свои операции в функциональном уравнении . Например:
для среднего арифметического задающая его функция , и поэтому ;
для среднего геометрического , ;
для среднего гармонического , ;
для среднего квадратичного , .
Тождественные квази-средние
Квази-среднее определено, если задана функция . Возникает естественный вопрос, справедливо ли обратное предложение: если для любых или и –тождественны, то следует ли отсюда, что задающие их функции и также тождественны. Ответ на этот вопрос даёт следующая
Теорема 4. Необходимым и достаточным условием тождественности квази-средних и является условие , где .
Доказательство. Если указанное условие выполняется, то
, и поэтому
= или = для любых , то есть условие достаточно.
Обратно, пусть =, = или . Обозначая и , перепишем =.
Сведём это равенство к функциональному уравнению. Возьмём точку из области значений функции и представим . Тогда = или =. Полагая , где для каждого i, найдём =, где не зависит от .
Поэтому =, что с обозначениями , , перепишется так: .
Тогда решением этого функционального уравнения будет функция , , где . Так как , то , или, если взять .
Таким образом, чтобы задать одно и то же квази-среднее мы можем взять любую функцию из целого класса функций , где а≠0 и b – произвольные постоянные, и другого способа получить тождественные квази-средние не существует.
Однородные квази-средние
Ранее мы говорили, что квази-средние в общем случае неоднородны, то есть соотношение для любых не выполняется, но их подкласс – взвешенные средние степенные обладают однородностью. Теперь покажем, что других квази-средних с данным свойством не существует [2].
Теорема 5. Взвешенные средние степенные – единственные однородные квази-средние.
Доказательство. Предположим, что равенство имеет место, и выведем из него вид задающей квази-среднее функции . Перепишем или =. Получили тождественные квази-средние, заданные функциями и . В силу теоремы 4 имеем (*), где и – функции от λ, ≠0. Также мы можем положить .
Тогда . Подставляя теперь в (*) и заменяя λ на y, найдём, что (**). Аналогично .
Последние два равенства дают для x, y≠1 (***).
Отсюда следует, что функции в левой и правой частях (***) равны постоянной d, то есть .
Из (**) вытекает сейчас равенство , которое, очевидно, справедливо и для значений x=1 и y=1, и поэтому ограничение на (***) несущественно.
Итак, мы получили функциональное уравнение , рассматривая его, различаем два случая:
1) при d=0 , и поэтому для x>0 ;
2) при d≠0 полагая , сведём уравнение к , и поэтому для x>0 и .
В первом случае по теореме 4 о тождественных квази-средних можно заменить на , и тогда получаем среднее геометрическое, которое принято считать частным случаем среднего степенного при . Во втором, заменяя на – среднее степенное.
Следствие. Средние степенные – единственный класс квази-средних, удовлетворяющих сильному определению средней величины.
Аддитивные квази-средние
Рассмотрим ещё один класс квази-средних. Назовём свойство аддитивностью и найдём все квази-средние с данным свойством.
Теорема 6. Взвешенное среднее арифметическое и квази-среднее, заданное показательной функцией – единственные аддитивные квази-средние.
Доказательство. Аддитивность указанных квази-средних показывается простой проверкой. Для доказательства их единственности предполагаем, что равенство имеет место, и выводим из него вид задающей квази-среднее функции . Переписываем соотношение
или =. Получаем тождественные квази-средние, заданные функциями и . В силу теоремы имеем (*), где и – функции от t, ≠0, а также можем положить .
Далее рассуждая аналогично предыдущей теореме, приходим к функциональному уравнению , рассматривая которое, вновь различаем два случая:
1) при d=0 , и поэтому ;
2) при d≠0 полагая , сведём уравнение к , и поэтому и .
В первом случае имеем среднее арифметическое. Во втором – квази-среднее, заданное показательной функцией .
И в заключении этой главы на основе доказанных теорем 5 и 6 простое
Следствие. Взвешенное среднее арифметическое – единственное однородное и одновременно аддитивное квази-среднее.
Глава 3. Квази-средние и выпуклые функции
Для классических средних существует множество неравенств, которые могут быть обобщены в различных направлениях. Одним из таких обобщений являются неравенства для квази-средних, которые мы и рассмотрим в этой главе. Как их частные случаи мы также получим основные неравенства для средних степенных (неравенство Коши о среднем арифметическом и среднем геометрическом; неравенства, характеризующие свойство монотонности средних степенных; неравенство Гюйгенса; неравенство Гёльдера) и их аналоги.
Как в основе доказательств приведённых ранее теорем лежали функциональные уравнения, так и сейчас нам будет важно отдельно рассмотреть ряд положений, касающихся выпуклых функций.
Некоторые вопросы теории выпуклых функций
Выпуклые функции определяются по-разному, но наиболее естественным, пожалуй, является основанное на геометрических соображениях такое
Определение. Функция называется выпуклой вниз (вверх) на промежутке X, если любая хорда кривой лежит не ниже (не выше) дуги, которую эта хорда стягивает.
Далее будем рассматривать выпуклые вниз функции, а все результаты для выпуклых вверх функций при желании можно получить простым обращением знака в неравенствах.
Теорема 7 (неравенство Иенсена). Для того, чтобы непрерывная функция была выпуклой вниз на промежутке X, необходимо и достаточно, чтобы выполнялось неравенство для всех и ,, .
Доказательство[2]. Выясним вначале, что геометрически означает указанное неравенство при n=2. Любая точка может быть представлена в виде , где , . Так как концы хорды – это точки и , то точка хорды с абсциссой x имеет ординату . Таким образом неравенство означает, что при точка графика функции лежит не выше соответствующей точки хорды, и это верно для любой точки хорды, так как мы берём любые pi при условии , .
И поэтому для непрерывной функции определение выпуклости вниз и данное неравенство при n=2 эквивалентны.
Покажем сейчас, что это неравенство справедливо и для любого числа точек. Рассуждаем по индукции. Если , то
и т.д.
Верно и обратное, если неравенство выполняется для какого-то n>2, то оно выполняется и для n=2.
Действительно, перепишем и возьмём для . Тогда , где , и .
Очевидно, если все равны друг другу, то мы получаем равенство в нашем неравенстве. В противном случае равенство при n=2 () означает, что любая хорда кривой совпадает с дугой, которую эта хорда стягивает, то есть функция линейна. Мы можем поэтому сделать следующее
Замечание. Если функция не линейна на промежутке X, то равенство в неравенстве Иенсена достигается только тогда, когда все равны друг другу.
Таким образом определение выпуклой функции и данное неравенство для любого n эквивалентны. Поэтому выполнимость неравенства, если необходимо, мы можем считать аналитическим определением выпуклой функции.
Теорема 8 (аналог неравенства Иенсена). Для выпуклой вниз на отрезке функции справедливо неравенство
для всех и , ,.
Доказательство. Представив , , где , докажем вначале вспомогательное утверждение. Справедливо неравенство , . Действительно,
Теперь имеем:
.
Равенство в нашем неравенстве достигается только тогда, когда обеспечивается равенство в каждой из произведённых оценок. Поэтому, если функция не линейна, то равенство будет только тогда, когда равны либо , либо , что следует из условия , и только тогда, когда все равны друг другу, что следует из условия . В результате мы имеем такое
Замечание. Если функция не линейна на , то равенство в доказанном соотношении достигается только тогда, когда все равны a или все равны b.
И важная для практического применения теорем 7 и 8, позволяющая определять выпуклость достаточно широкого класса функций
Теорема 9 (достаточный признак выпуклой функции). Если функция дважды дифференцируема в некотором интервале и (), то выпукла вниз (вверх) на этом интервале.
Доказательство[4]. Если , то , и по формуле Тейлора . Умножая на pi и складывая эти равенства, мы получаем , а отсюда в силу заключаем, что .
Теперь приведём определение выпуклой функции от двух переменных и сформулируем аналогичные утверждения, доказательства которых будут теми же, если не считать очевидных изменений в обозначениях.
Определение. Функция называется выпуклой вниз (вверх) в выпуклой области D (то есть области, целиком содержащей отрезок, соединяющий любые её точки), если любая хорда поверхности лежит не ниже (не выше) соответствующей дуги на поверхности, которую эта хорда стягивает.
Теорема 10 (неравенство Иенсена). Для того, чтобы непрерывная функция была выпуклой вниз в области D, необходимо и достаточно, чтобы выполнялось неравенство для всех и ,, .
Теорема 11 (аналог неравенства Иенсена). Для выпуклой вниз в прямоугольной области , , функции справедливо неравенство
,
для всех , , , , .
Теорема 12 (достаточный признак выпуклой функции). Если функция дважды дифференцируема в некоторой открытой области и , , , , , то выпукла вниз (вверх) в этой области.
Сейчас на основе доказанных теорем перейдём непосредственно к обобщениям неравенств Коши и Гёльдера и их аналогам.
Обобщение неравенства Коши и его аналог
Известное неравенство Коши или говорит о том, что среднее геометрическое и среднее арифметическое сравнимы для любых чисел xi>0 и любых весов , ,.
Возникает вопрос, будут ли сравнимы квази-средние, их обобщающие, то есть справедливо ли неравенство ≤, или ≤.
Теорема 13 (о сравнении квази-средних). Для того, чтобы выполнялось неравенство ≤, или ≤ для всех , , , необходимо и достаточно, чтобы функция была выпуклой вниз, если возрастает, или выпуклой вверх, если убывает.
Доказательство[2]. Пусть возрастает. Тогда из неравенства ≤ следует . Обозначая и , получаем ≤, то есть мы просто переписываем неравенство ≤ в другой форме. Новое же неравенство по теореме 7 справедливо тогда и только тогда, когда функция , или выпукла вниз.
При убывании рассуждаем аналогично.
Замечание. Если , где , на некотором промежутке, содержащем все, то равенство в доказанном соотношении достигается только тогда, когда все равны друг другу.
Действительно, пусть =. Тогда =, и поэтому если функция не линейна, то есть , или, то равенство достигается только тогда, когда все все , а следовательно, и , равны друг другу.
Отметим, что данное замечание даёт другое доказательство теоремы 4 о тождественных квази-средних.
Теорема 14. Для того, чтобы выполнялось неравенство ≤ для всех и , , , достаточно, чтобы функция была выпуклой вниз, если возрастает, или выпуклой вверх, если убывает.
Доказательство. Точно так же, как и в предыдущей теореме, приводим данное неравенство к неравенству (или ему обратному при убывании ), которое по теореме 8 вновь верно при условии, что функция , или выпукла вниз (вверх()овь верно при тех же условиях________________________________________________________________________________________________).
Замечание. Если , где , на отрезке , то равенство в доказанном соотношении достигается только тогда, когда все равны a или все равны b.
Теорема 13 позволяет нам как частные случаи получить известные неравенства для средних степенных [3]. Приведём эти неравенства.
Пример 1 (неравенство, характеризующее свойство монотонности среднего степенного). Для ,, 0<r<s функция выпукла вниз (так как её вторая производная неотрицательна), и поэтому , где , , , , или .
Пример 2 (неравенство Коши). Для и функция выпукла вниз, и поэтому , где , , , или .
Пример 3 (неравенство Гюйгенса). Для и функция выпукла вниз, и поэтому , где , , , или .
Пример 4 (неравенство Бернулли). Для и функция выпукла вниз, и поэтому , где , , , или . В частности, если положить , , , то получим так называемое обобщённое неравенство Бернулли ().
Замечание. Равенство в вышеуказанных примерах имеет место тогда и только тогда, когда все равны друг другу (так как в каждом случае).
На основании же теоремы 14 мы получаем аналоги приведённых неравенств.
Пример 1/. , где , , , , .
Пример 2/. , где , , , .
Пример 3/. , где , , , .
Пример 4/. , где .
Замечание. Равенство в вышеуказанных примерах имеет место тогда и только тогда, когда все равны a или все равны b.
Обобщение неравенства Гёльдера и его аналог
Один из вариантов неравенства Гёльдера (для средних значений) выглядит так [2]: , где , , , , , .
Запишем его в следующей форме с квази-средними, заданными функциями , , , или . Снова, как и для обобщения неравенства Коши, зададимся вопросом, будет ли неравенство Гёльдера выполнятся для произвольных квази-средних.
Теорема 15. Для того чтобы выполнялось неравенство для всех , , , необходимо и достаточно, чтобы = была выпуклой вверх функцией, если возрастает, или выпуклой вниз функцией, если убывает.
Доказательство. Пусть возрастает. Тогда наше неравенство эквивалентно неравенству . Полагая = и , , переписываем . А новое неравенство по теореме 10 справедливо тогда и только тогда, когда функция или выпукла вверх.
При убывании рассуждаем аналогично.
Теорема 16. Для того, чтобы для всех , , , и , , выполнялось неравенство достаточно, чтобы функция = была выпуклой вверх, если возрастает, или выпуклой вниз, если убывает.
Доказательство точно так же, как и предыдущей теореме, сводим к теореме 11.
Теоремы 15 и 16 содержат как частные случаи следующие известные неравенства и их аналоги.
Пример 1 (неравенство Гёльдера). Для , , функция == по теореме 12 выпукла вверх, если и , и поэтому для .
Пример 2 (неравенство Коши-Буняковского). Для
, где , , .
Пример 1/ (аналог неравенства Гёльдера). , где , , , , , ,, , .
Пример 2/ (аналог неравенства Коши-Буняковского). , где , , .
Заключение
Теперь когда мы завершили изложение нашего вопроса, скажем несколько слов о возможных направлениях развития темы.
Всё доказанное о квази-средних можно разделить на две части: теоретическую (аксиоматическое задание, выделение классов новых величин) и практическую (неравенства для квази-средних как метод доказательства менее общих неравенств).
Первую часть считаем завершённой. Вторая часть остаётся открытой. Как мы видели, доказательство новых неравенств для выпуклых функций даёт возможность сформулировать новые неравенства и для квази-средних. Последние в свою очередь можно конкретизировать для их частных случаев. Так с помощью аналога неравенства Иенсена мы вывели неравенство для квази-средних, из которого в качестве следствия получили аналог неравенства Коши.
Библиографический список
Muliere, P. On Quasi-Means [Text] / P. Muliere // J. Ineq. Pure and Appl. Math. 3(2), 1991, Article 21.
Харди, Г.Г. Неравенства [Text] / Г.Г. Харди, Дж. Е. Литтлвуд, Г. Полиа.–М.: Иностранная литература, 1948.
Калинин, С. И. Средние величины степенного типа. Неравенства Коши и Ки Фана: Учебное пособие по спецкурсу [Text] / С. И. Калинин.–Киров: Изд-во ВГГУ, 2002.
Беккенбах Э. Неравенства [Text]/ Э. Беккенбах, Р. Беллман.–М.: Издательство “Мир”, 1965.
Некоторые вопросы математического анализа и методики его преподавания: Сб. научн. статей [Text].– Киров: Изд-во ВГГУ, 2001.
Mericoski, J. K. Extending means of two variables to several variables [Text] / J. K. Mericoski. // J. Ineq. Pure and Appl. Math. 5(3), 2004, Article 65.
Нравится материал? Поддержи автора!
Ещё документы из категории математика:
Чтобы скачать документ, порекомендуйте, пожалуйста, его своим друзьям в любой соц. сети.
После чего кнопка «СКАЧАТЬ» станет доступной!
Кнопочки находятся чуть ниже. Спасибо!
Кнопки:
Скачать документ