Плоские кривые





































































































































































































































































1. История изучения плоских кривых
Понятие линии определилось в сознании человека в доисторические времена. Траектория брошенного камня, струя воды, лучи света, очертания цветов и листья растений, извилистая линия берега реки и моря и другие явления природы привлекали внимание наших предков и, наблюдаемые многократно, послужили основой для постепенного установления понятия линии.
Однако потребовался большой исторический период прежде чем люди стали сравнивать между собой формы кривых линий и отличать одну кривую от другой. Первые рисунки на стенах пещерного жилища, примитивные орнаменты, украшавшие домашнюю утварь, свидетельствуют о том, что люди научились уже не только отличать прямую от кривой, но и различать формы отдельных кривых и в их сочетаниях находить удовлетворение зарождающихся эстетических потребностей. Но всё это было ещё далеко от того абстрактного понимания линии, которым располагает математика сейчас.
Правда, исторические памятники глубокой древности показывают, что у всех народов на известной ступени их развития имелось понятие окружности, не говоря уже о прямой линии. Употреблялись примитивные инструменты для построения этих линий и были попытки измерять площади, ограничиваемые прямыми и окружностью. Как видно, например, из древнейшего памятника математической культуры – «папируса Ринда», египтяне за 17 – 20 веков до начала нашей эры занимались квадратурой круга и получили довольно хорошее приближение для числа , равное , или 3, 1604. Но лишь с возникновением математики как науки стало развиваться учение о линиях, достигшее в трудах греческих математиков высокого совершенства.
Греческие учёные создали теорию конических сечений – линий, имеющих особенно большое значение в науке и технике. Открытие их приписывается Менехму (4 век до н.э.), ученику Евдокса Книдского и, как полагают, учителю Александра Македонского. Менехм определял эти кривые как сечения конуса плоскостью, перпендикулярной к его образующей.
Что послужило поводом к этому открытию? Может быть, поиски решения знаменитой делосской задачи об удвоении куба, может быть практический вопрос о том, насколько должен быть вытянут овал, находящийся в качестве архитектурного сооружения на фронтоне здания, чтобы с известного места перед зданием он казался кругом.
Есть данные полагать, что Менехм знал свойства параболы и гиперболы, выражаемые в наши дни равенствами y2=2px и xy=c, и использовал эти свойства для делосской задачи удвоения куба. К сожалению это первое сочинение по теории конических сечений было утеряно. Также не дошла до нас работа греческого геометра Аристея, написавшего пять книг о пространственных местах», из которых много заимствовал Евклид для своей также утраченной) работы о конических сечениях.
Архимед решил задачу о квадратуре сегмента параболы. Сравнивая фигуры, вписанные в эллипс и в окружность, построенную на большой оси эллипса как на диаметре, он определил и площадь эллипса.
Однако все сведения о конических сечениях были ещё разрозненны. Первая методическая обработка конических сечений принадлежит Аполлонию Пергскому (3 – 2 в. до н.э.). Это был трактат «О конических сечениях». В своём трактате Аполлоний систематизировал всё, что было известно до него, и открыл ряд важных свойств, установил их названия.
Но не только конические сечения открыты греками. Ряд математиков в поисках решения великих проблем древности – задачи о трисекции угла, об удвоении куба и о квадратуре круга – использовал для образования кривых идею движения. Так возникли спираль Архимеда, циклоида, квадратрисса Динострата. В то же время первоначальный метод – образование кривых путём рассечения поверхности плоскостью был использован для образования кривых Персея как сечений тора.
В эпоху средневековья великие достижения греческих учёных были забыты.
К кривым математическая наука обратилась только в 17 веке, в связи с созданием аналитической геометрии.
1637 год – одна из великих дат в истории математики – год появления книги Р. Декарта «Геометрия», в которой были изложены основы метода координат. Открытие этого метода для исследования кривых было фактом первостепенного значения. Метод координат не только создал общий, единообразный способ символического задания каждой кривой в виде соответствующего ей уравнения, он давал также неограниченную возможность беспредельно увеличивать количество изучаемых кривых, поскольку каждое произвольно записанное уравнение, связывающее между собой две переменные величины, представляло теперь, вообще говоря, новую кривую.
Открытие метода координат подготовило в свою очередь открытие могущественного метода науки – исчисления бесконечно малых. Рождение дифференциального и интегрального исчисления имело особо важное значение для изучения свойств кривых. В связи с многочисленными проблемами механики, астрономии, геодезии, оптики, возникшие в 17 – 18 в., стимулировали интерес к исследованию инфинитезимальных свойств линий. Эти проблемы привели к открытию новых линий. Роберваль и Паскаль показывают, что дуга спирали Архимеда равна дуге параболы, выбранной определённым образом и что, следовательно, задача спрямления спирали идентична задаче спрямления параболы. Ферма обобщает это предложение на алгебраические спирали высших порядков, устанавливая, что их спрямление сводится к спрямлению парабол высших порядков. Нейль открывает алгебраическую кривую, которая спрямляется алгебраически (парабола Нейля). К этому же времени относится спрямление логарифмической спирали, выполненное Торичелли, спрямление эпи- и гипоциклоид, выполненное Де ла Гиром. Фаньяно в 1714 году, исследуя вопрос о спрямлении лемнискаты, заложил основы теории эллиптических функций.
Наряду с исследованием геометрических свойств кривых исследуются и их механические свойства. Гюйгенс открывает изохронность циклоиды. И. Бернулли показывает, что циклоида является брахистохроной в пустом пространстве. Исследуются механические свойства параболы Нейля, цепной линии, овалов Кассини, овалов Декарта и целого ряда других теперь хорошо известных кривых.
Не только практические потребности века – запросы промышленности, конструирование машин и механизмов, постройка плотин и шлюзов – постоянный и глубокий интерес к исследованию кривых у этих учёных, но и та «радость созерцания формы», которая, по словам Клейна, характеризует истинного геометра.
Увлечение аналитическим методом исследования кривых, особенно характерное для 17 века, с течением времени вызвало реакцию со стороны некоторых учёных. Как недостаток этого метода отмечалось то обстоятельство, что употребление его не раскрывает естественного происхождения кривой, так как объектом исследования фактически является не сама кривая, а соответствующее ей уравнение. Плодотворные попытки возвратиться к синтетическому методу древних породили новое направление в исследовании свойств кривых второго порядка. Первые достижения здесь связываются с именами Дезарга и Паскаля. Дезарг, исследуя проективные свойства фигур и используя установленное им понятие инволюции, обогатил теорию кривых второго порядка новыми открытиями. Пскаль открывает свою знаменитую теорему о соотношении между шестью точками конического сечения, согласно которой во всяком шестиугольнике, вписанном в кривую второго порядка, точки пересечения противоположных сторон лежат на одной прямой. Де ла Гир приходит к важному предложению о том, что директриса кривой второго порядка является полярой её фокуса.
Новые методы исследования свойств кривых второго порядка развиваются в 19 столетии. Брианшон доказывает теорему, двойственную теореме Паскаля, и изучает проективные свойства гиперболы. Понселе исследует кривые второго порядка с помощью открытого им метода проективных соответствий. Штейнер и Шаль исследуют проективные свойства этих кривых на основе понятия двойного отношения и рассматривают их как производные от образов первой ступени.
Критика аналитического метода исследования формы и свойств кривых была основана, как было уже сказано, на том обстоятельстве, что при пользовании этим методом отсутствует наглядный образ этой кривой и исчезают геометрические построения. Она дополнялась и другими соображениями. Указывалось, что система координат является посторонним элементом исследования, с которым кривая связывается искусственно.
Эти воззрения повели с одной стороны, к созданию так называемой алгебраической геометрии, основы которой были заложены Гессе и Клебшем. Исследование свойств кривых сводилось здесь к исследованию инвариантов алгебраических форм.
Крупнейшим достижением этого направления в исследовании кривых было создание общей теории алгебраических кривых. Особые достижения в развитии этой теории связываются с именем Плюккера. Однако в алгебраической геометрии полностью отрешиться от системы координат как постороннего элемента всё-таки не удалось.
Другое направление привело к представлению о так называемом натуральном уравнении кривой. Натуральное уравнение уже не зависит от положения системы координат и от вида её; точнее говоря, оно не предполагает вообще наличия системы координат. Это уравнение функционально связывает радиус кривизны кривой и длину её дуги, т.е. те элементы, которые органически связаны с самой природой исследуемой линии. Было доказано, что натуральное уравнение полностью определяет кривую с точностью до её положения на плоскости. Наибольших успехов это направление исследования кривых достигло в работах Чезаро, который присвоил ему название внутренней или натуральной геометрии.
В заключение о плодотворной идее использования векторного аппарата при исследовании свойств линий, которая связывается с именем Грассмана, и о топологическом методе исследования кривых, имеющих наиболее сложные формы.
2. Способы образования кривых
Исследование особенностей формы кривой и её свойств средствами дифференциальной геометрии возможно, когда кривая выражена в аналитической форме, т.е. уравнением. Однако, прежде чем исследовать уравнение кривой, необходимо его составить на основании некоторых данных. Для этого надо рассмотреть способы образования кривых. [1]
Кривая определяется как линия пересечения данной поверхности плоскостью, положение которой определено.
В истории развития учения о кривых этот способ является первым. Греки определяли кривые второго порядка как сечения кругового конуса. Таково же происхождение кривых Персея, получаемых в результате сечений плоскостью поверхности тора. Эвольвента круга может быть определена как линия пересечения поверхности касательных к винтовой линии, перпендикулярной к её оси и т.д.
Кривая определяется как геометрическое место точек, обладающих данным свойством.
Этот способ особенно употребителен. Он широко практиковался ещё греческими математиками; так Евклид рассматривал конические сечения как геометрические места точек, сохраняющих постоянное отношение расстояний от данной точки и от данной прямой. Как геометрическое место точек была определена Диоклесом его циссоида. Таким же способом определяет Никомед конхоиду. Такие линии, как овалы Декарта, овалы Кассини, улитка Паскаля, строфоида, верзиера и целый ряд других кривых, определяются обычно как геометрические места.
Кривая определяется как траектория точки, характер движения которой обусловлен тем или иным образом.
Кинематический способ образования линий был также хорошо известен греческим учёным. Как траекторию точки, участвующей одновременно в двух равномерных движениях, одно из которых совершается по прямой, а другое – по окружности, определил Архимед свою спираль. Все циклоидальные кривые являются траекториями точки, жёстко связанной с кругом, который катится без скольжения по окружности другого круга. Кинематическим путём определяется квадратриса Динострата как траектория точки пересечения вращающегося радиуса окружности с хордой, двигающейся параллельно самой себе. Лемниската Бернулли может быть определена как траектория середины большого звена шарнирного антипараллелограмма, противоположное звено которого закреплено. Кинематически определяются розы, кривые скольжения и многие другие линии. Кинематический способ задания кривой полагался Декартом в основу определения кривых методом координат.
4. Образование линий по способу сопряжения проективно соответствующих элементов.
Этот способ сравнительно недавнего происхождения и во всей полноте рассматривается в курсах проективной геометрии. В основу его полагается идея соответствия двух проективных рядов точек или двух проективных пучков.
Проективно соответствующими называются два прямолинейных ряда точек, если любым четырём гармоническим точкам одного из них соответствуют также четыре гармонические точки второго ряда. Аналогично определяется проективное соответствие пучков прямых. На основе этих понятий и возникает проективный способ образования линий. Так, если имеюся два проективных пучка прямых, то геометрическое место точек пересечения соответствующих прямых этих пучков представляет собой кривую второго порядка (рис. 1, а).
Точно так же, если заданы два проективно связанных прямолинейных ряда точек, то огибающая прямых, проходящих через соответствующие точки этих рядов, будет представлять собой кривую второго класса и одновременно второго порядка (рис. 1, б).
Рис. 1
На кривой второго порядка могут быть в свою очередь определены гармонические четвёрки точек, т.е. точки пересечения этой кривой с четырьмя гармонически сопряжёнными лучами пучка прямых, центр которого находится в какой-либо точке этой кривой. Так возникает понятие криволинейного проективного ряда, который в отличие от прямолинейного ряда называется проективным рядом второго порядка. Аналогично устанавливается понятие пучка второго порядка, под которым понимают упомянутую выше совокупность прямых, проходящих через соответствующие точки двух прямолинейных проективных рядов и огибающих кривую второго порядка.
Понятие ряда второго порядка и пучка второго порядка позволяет определить проективным способом алгебраические кривые высших порядков и классов.
Частным случаем проективного соответствия является перспективное соответствие, которое осуществляется путём проектирования двух плоских систем из общего центра. Соответствующие точки при этом лежат на одном проектирующем луче. а соответствующие прямые принадлежат одной пректирующей плоскости.
Способом проектирования могут быть получены многие из часто встречающихся кривых. Сюда относится циклоида, являющаяся параллельной проекцией винтовой линии на плоскость, параллельную её оси. Спираль Архимеда может быть определена как проекция конической винтовой линии на плоскость, перпендикулярную её оси. Овалы Декарта могут быть определены как проекции линии пересечения двух конических поверхностей с параллельными осями на плоскость, перпендикулярную к этим осям, и т.д.
Кривая определяется заданием её дифференциальных свойств.
Непосредственно задаваемое по условию задачи или вытекающее из этого условия соотношение между бесконечно малыми элементами кривой выражается сначала в виде некоторого дифференциального уравнения. Последующее интегрирование этого уравнения приводит к обычному уравнению искомой кривой. Такой способ определения уравнения кривой характерен для многочисленных задач геометрии, механики, физики, техники. Так показательная кривая может быть определена как линия, у которой подкасательная для всех точек имеет одно и то же значение. Трактриса характеризуется постоянством длины касательной. Радиоидальная спираль определяется как линия, для которой радиус кривизны обратно пропорционален длине дуги. На основании геометрических соображений и законов механики выводятся дифференциальные уравнения цепной линии, изогнутой оси балки и т.д.
Кривая определяется как линия, получаемая в результате того или иного геометрического преобразования уже известной кривой.
Этот способ образования кривых является наиболее эффективным. Он не только даёт неиссякаемые средства для определения новых кривых, но и позволяет определять свойства но вой кривой как отражение свойств преобразуемой кривой.
К числу основных геометрических преобразований относятся аффинное, проективное, инверсия, квадратичное, двойственное, касательное.
Мы заключим обзор различных способов, дающих средства для аналитического определения кривых, ещё одним, естественным по сравнению с предыдущими, в том смысле, что составлять уравнение кривой в том смысле уже не приходится, так как кривая задаётся сразу же в аналитической форме и представляет собой график той или иной функции. Выше было замечено, что метод Декарта, которым определяется соответствие между линией и уравнением, даёт неограниченные возможности для определения кривых самых разнообразных форм. В арсенале замечательных кривых, используемых в науке и технике, имеется немало линий, которые исторически возникли аналитическим путём, т.е. определялись первоначально как кривые, соответствующие определённым уравнениям. к ним относятся декартов лист – график функции, определяемой уравнением . Сюда же относятся параболы и гиперболы всших порядков – графики функций определяемых уравнением , кривые Ламе – графики функций, определяемые уравнением . К аналитически определяеым кривым относятся также кривые, являющиеся графиками тригонометрических функций, показательной функции и многие другие.
3. Классификация плоских кривых
В этом параграфе рассмотрим классификацию плоских кривых.
Так как характерные особенности формы кривой и её свойства определяются особенностями и свойствами соответствующего ей уравнения, то естественно положить в основу классификации кривых природу их уравнений – подразделение уравнений на алгебраические и трансцндентные. Здесь, однако, возникает затруднение, заключающееся в том, что природа уравнения кривой зависит не только от природы самой кривой, но и от той системы координат, к которой отнесена кривая. Одна и та же кривая в одной системе координат может выражаться алгебраическим уравнением, а в другой – трансцендентным. Более того иногда достаточно изменить положение системы и уравнение кривой, которое было алгебраическим, становится трансцендентным. Так, например, в полярной системе координат уравнение окружности с центром в полюсе имеет вид и является, как видно, алгебраическим: но достаточно поместить полюс в какую-либо точку , как уравнение принимает вид и становится, таким образом, трансцендентным.
Указанный недостаток отсутствует, однако, у прямоугольной декартовой системы координат. Параллельное смещение и поворот этой системы не меняют не только природу уравнения этой кривой, но и степень этого уравнения, если оно было алгебраическим. Естественно поэтому подразделить все кривые на алгебраические и трансцендентные соответственно тому, будут ли их уравнения алгебраическими или трансцендентными в прямоугольной системе координат.
а) Алгебраические кривые
Внутри обширного семейства алгебраических линий в свою очередь производят подразделение кривых, в основу которого полагается понятие порядка кривой, определяемого степенью её уравнения.
Соответственно этому алгебраической кривой n-го порядка называется кривая, уравнение которой, после освобождения его от дробей и радикалов, записывается в декартовой системе координатв виде
Очевидно, число членов уравнения равно . Разумеется, в частном случае некоторые коэффициенты могут быть нулями.
Если левая часть уравнения кривой разлагается на множители то такому уравнению будет соответствовать система кривых В этом случае кривую n-го порядка называют распадающейся или приводимой.
В частности, когда левая часть уравнения кривой, которую мы обозначим через f (x, y), является однородной функцией n-го измерения, кривая вырождается в систему прямых линий. Действительно, по известному свойству однородных функций, мы, полагая , будем иметь , и если 1, 2, …,n – корни уравнения , то
Приравнивая к нулю каждый множитель, получим систему n прямых (среди которых могут быть и мнимые).
Рассмотрим разновидности алгебраических кривых.
Класс алгебраической кривой. Формулы Плюккера.
Алгебраические кривые классифицируются не только по их порядку, но и по их классу и роду (жанру).
Класс алгебраической кривой определяется степенью её уравнения в тангенциальных координатах – так называются коэффициенты u и v в уравнениях прямых , касающихся данной алгебраической кривой.
класс кривой может быть также определён числом касательных, действительных и мнимых, которые можно провести к этой кривой из произвольной точки, не лежащей на ней.
Для получения тангенциального уравнения кривой и, следовательно, для определения её класса, представим себе, что данная кривая пересечена прямой . Условие того. что две точки её пересечения с кривой совпадают между собой, записанное в форме равенства, связывающего u и v, и будет искомым тангенциальным уравнением кривой.
Так, например, желая найти тангенциальное уравнение окружности x2+y2=1, пересечём её прямой . Исключая у из уравнения этой прямой и окружности, получим (u2+v2) x2+2ux+(1-v2)=0. Условием касания прямой и окружности будет совпадение корней этого квадратного уравнения, что приводит к равенству v2(1-u2-v2)=0. Подобным же образом получим равенство u2(1-u2-v2)=0. Очевидно, полученные равенства будут удовлетворяться, если 1-u2-v2=0. Это и есть тангенциальное уравнение заданной окружности.
Если, наоборот, необходимо перейти от тангенциального уравнения f (u, v)=0 кривой к её обычному уравнению, то следует присоединить к этому уравнению уравнение пучка всех касательных к кривой, проходящих через точку М (х, у). Условие того, что эта точка будет точкой касания, выразится равенством, определяющим условие совпадения двух касательных в одну (так как в тангенциальных координатах каждая точка кривой определяется как точка пересечения двух бесконечно близких касательных). Это равенство и будет искомым уравнением кривой в исходной системе.
Так, например, если дана в тангенциальных координатах кривая u+v+uv=0, то, желая иметь её обычное уравнение, рассмотрим пучок прямых , проходящих через произвольную точку М (х, у). Найдём те прямые этого пучка, которые касаются кривой. Исключая u из заданного уравнения кривой и уравнения пучка, получим: v2y+v (1+y-x)+1=0. Для того, чтобы две прямые, определяемые двумя значениями v в этом равенстве, совпали в одну, необходимо, чтобы эти значения v были равны между собой, а последнее произойдёт, если будет справедливым равенство (1+y-x)2-4y=0, которое и представляет собой обычное уравнение заданной кривой.
Порядок и класс линии, вообще говоря не совпадают, за исключением кривых второго порядка, которые одновременно являются кривыми второго класса. В общем случае при определении класса кривой приходится принимать во внимание не только её порядок, но и ряд её характерных особенностей – наличие у неё двойных точек, точек перегиба, двойных касательных и т.д. Именно, если n – порядок кривой, k – класс кривой, d – число двойных точек (узловых и изолированных), r – число точек возврата, t – число двойных касательных (т.е. прямых, касающихся кривой в двух точках), – число точек перегиба кривой, то между всеми этими величинами существуют следующие соотношения:
k=n (n – 1) – 2d – 3r, n=k (k – 1) – 2t – 3,
=3n (n – 2) – 6d – 8r, r=3k (k – 2) – 6t – 8.
Эти равенства называются формулами Плюккера и были приведены им впервые в его «Системе аналитической геометрии на плоскости» в 1834 году.
Род алгебраической кривой.
Известно, что нераспадающаяся кривая n-го порядка может иметь не более чем двойных точек. Действительно, если бы она имела, например, двойных точек, то через эти точки и через n – 3 других точек её можно было бы, как легко видеть, провести кривую порядка n – 2. Но так как каждая двойная точка первой кривой должна считаться за две точки пересечения её со второй кривой, то получается, что эти кривые имели бы общих точек. Последнее, однако, невозможно, так как нераспадающейся кривой будет справедливо и для точек высшей кратности, если точку кратности k считать за двойных точек. Например, кривая 5-го порядка может иметь семь двойных точек и одну тройную: . Это соглашение оправдывается тем, что через точку кратности k проходит k ветвей этой кривой. Если их представлять себе отделёнными от кратной точки, то, пересекаясь попарно, они дадут двойных точек, которые, совпадая, и образуют точку кратности k.
Дадим понятие рода кривой. Род, или жанр, алгебраической кривой определяется числом р, являющейся разностью между наибольшим числом двойных точек, которые может иметь кривая этого порядка, и их фактическим числом у данной кривой. С ранее упомянутыми числовыми характеристиками алгебраической кривой эта новая характеристика р связана соотношениями
Если рассматриваемая кривая имеет наибольшее число двойных точек, возможных для кривых её порядка, то, очевидно, это будет кривая нулевого рода. Эти кривые обладают весьма важным свойством, а именно, координаты точки, двигающейся по такой кривой, могут быть выражены рациональными функциями некоторого параметра.
Рациональные кривые
Рациональными являются кривые четвёртого, имеющие три двойные точки. Координаты точки таких кривых являются целыми рациональными функциями 4-й степени от параметра.
Укажем два способа конструктивного образования рациональных кривых 4-го порядка.
С проективной точки зрения рациональная кривая 4-го порядка определяется пересечением прямых, принадлежащих некоторому пучку, с прямыми проективно соответствующего ему пучка касательных к некоторой кривой второго порядка.
Рациональные кривые 4 – го порядка могут быть получены также квадратичным преобразованием кривой второго порядка. Действительно, если рациональную кривую второго порядка отнести к координатному треугольнику, вершины которого совпадают с тремя двойными точками этой кривой, то уравнение её запишется в виде
Пользуясь формулами квадратичного преобразования
,
,
,
получим уравнение
которое выражает кривую 2-го порядка, например окружность, пересекает какую-либо сторону координатного треугольника в двух точках, то соответствующая кривая второго порядка должна иметь, по свойству квадратичного преобразования, в противолежащей вершине этого треугольника две касательные и, значит, узловую точку. Если указанные две точки совпадают в одну, то совпадают в одну и соответствующие им касательные и, значит, узловую точку. Если указанные две точки совпадают в одну, то совпадают в одну и соответствующие им касательные, и следовательно, кривая четвёртого порядка будет иметь в вершине треугольника точку возврата. Если, наконец, точки пересечения кривой второго порядка со стороной треугольника будут мнимыми, то противолежащая вершина треугольника является изолированной точкой кривой четвёртого порядка.
На рисунке 2 все эти случаи предусмотрены, причём соответствующие элементы помечены одинаковыми цифрами.
Рис. 2
Из сказанного следует, что если преобразуемая кривая второго порядка пересекает стороны координатного треугольника в шести точках, то кривая четвёртого порядка будет иметь три узловые точки; если эти шесть точек мнимые, то им будут соответствовать три изолированные точки; если они попарно совпадают, то соответствующая кривая 4-го порядка будет иметь три точки возврата.
Особенности формы этой кривой зависят также от того, пересекает ли кривая второго порядка стороны координатного треугольника или их продолжения. Частные формы кривых, зависящие от этого обстоятельства, представлены на рисунке 3 – 6, где в качестве преобразуемой кривой второго порядка взята окружность.
Проследить особенности формы получающихся при квадратичном преобразовании кривых 4-го порядка можно, осуществляя преобразование заданной кривой второго порядка аналитически, но можно воспользоваться и графическим способом осуществления такого преобразования.
Рис. 3Рис. 4
Рис. 5Рис. 6
Если прямая с1 проходит через вершину координатного треугольника, то при преобразовании ей будут соответствовать две прямые – прямая с2, проходящая через ту же вершину, и противолежащая сторона треугольника (кривая второго порядка, которая должна соответствовать прямой в общем случае, эдесь распадается). Углы, составляемые прямой с1 и прямой с2 с биссектрисой угла А равны (рис. 7). Это обстоятельство и определяет графический способ осуществления квадратичного преобразования; а именно, чтобы найти точку Р2, соответствующую заданной точке Р1 с какой-либо вершиной треугольника, например с А, и проводим через вершину А прямую с2, симметричную прямой Р1А относительно биссектрисы угла А (рис. 8). Проводя аналогичное построение относительно вершины В, получим искомую точку Р2 как точку пересечения найденных прямых.
Осуществляя графическим путём квадратичное преобразование для ряда точек преобразуемой кривой, мы получим соответствующие точки новой кривой.
Графический способ даёт возможность определить наличие бесконечно удалённых точек кривой 4-го порядка, получаемой в результате квадратичного пребразования некоторой кривой второго порядка.
Рис. 7
Рис. 8
Для этого потребуется уравнение бесконечно удалённой прямой в трилинейных координатах [1].
Квадратичное преобразование устанавливает соответствие между точками описанной около координатного треугольника окружности и точками бесконечно удалённой прямой.
Отсюда следует, что кривая 4-го порядка, получаемая в результате квадратичного преобразования кривой 2-го порядка, будет иметь бесконечно удалённые точки лишь в том случае, если преобразуемая кривая пересекает окружность, описанную около координатного треугольника.
Чтобы определить направление в котором удалена точка кривой в бесконечность достаточно построить указанным выше графическим путём образ точки пересечения кривой с описанной около координатного треугольника окружностью.
Эллиптические кривые
Более сложными по своей природе являются кривые первого рода. Правые части их параметрических уравнений могут быть выражены эллиптическими функциями параметра, в силу чего такие кривые называют эллиптическими, и при изучении их широко пользуются свойствами эллиптических функций.
Подобно тому, как рациональные кривые 4-го порядка могут быть получены квадратичным преобразованием кривых второго порядка, эллиптические кривые 4-го порядка получаются квадратичным преобразованием кривых третьего порядка, не имеющих двойных точек и проходящих через две вершины координатного треугольника.
Циркулярные кривые
Циркулярные кривые являются алгебраическими кривыми, проходящими через циклические точки плоскости. Уравнение окружности, записанное в однородных координатах, имеет вид Точки пересечения этой окружности с несобственной прямой х3=0 определяются системой . Полагая х1=1, находим эти точки J1 (1, i, 0) и J2 (1, – i, 0). Так как изменение коэффициентов А, В, С в уравнении окружности не изменяет найденных координат, то можно утверждать, что всякая окружность проходит через точки J1 и J2, которые являются несобственными и мнимыми точками этой окружности и называются круговыми или циклическими точками плоскости.
Бициркулярные кривые
Эти кривые получаются в результате стереографической проекции линии пересечения поверхности шара с поверхностью второго порядка, не проходящей через центр проекции.
Интересными свойствами обладают бициркулярные кривые 4-го порядка, если они одновременно являются рациональными кривыми. Будучи рациональными, эти кривые должны иметь три двойные точки, но две двойные точки их должны совпадать с циклическими точками плоскости, и следовательно, они будут иметь только одну двойную точку, не являющуюся бесконечно удалённой.
Общее уравнение таких кривых может быть записано в виде
(x2 + y2) + (dx + ey) (x2 + y2) + ax2 + bxy + cy2 = 0. (1)
Уравнение касательной в двойной точке имеет вид
ax2 + bxy + cy2 =0.
В зависимости от знака (или равенства нулю) дискриминанта b2 – 4ac двойная точка кривой окажется изолированной, точкой возврата или узловой.
Рис. 9Рис. 10
Бициркулярные рациональные кривые 4-го порядка могут быть образованы инверсией кривой второго порядка, но при условии, что полюс инверсии не лежит на этой кривой [1].
Рис. 11Рис. 12
На рисунке 9 представлена инверсия эллипса, причём полюс инверсии находится в центре эллипса, который является изолированной точкой кривой. На рис. 10 и 11 приведена инверсия параболы, а на рис. 12 – инверсия гиперболы, причём полюс инверсии находится в фокусе гиперболы.
б) трансцендентные кривые
Трансцендентными называются кривые, уравнения которых, будучи записаны в прямоугольной системе координат, не являются алгебраическими.
Разлагая в ряд правую часть уравнения такой, например, трансцендентной кривой, как y = sin x, мы получим уравнение, содержащее алгебраические функции, однако число членов в нём будет неограниченным, а степень – бесконечно большой. Это даёт основание рассматривать трансцендентные кривые как алгебраические линии бесконечно высокого порядка. Соответственно этому можно полагать, что характерные точки алгебраических кривых (точки пересечения с прямой, точки перегиба, особые точки и т.д.) у трансцендентных кривых могут встречаться в бесконечном количестве. И это на самом деле так: трансцендентная кривая может пересекать прямую в бесконечном числе точек, у неё может быть бесконечное множество вершин даже на сколь угодно малом интервале (например, у кривой вблизи начала координат), бесконечное количество точек перегиба, асимптот и т.д.
Но помимо этой особенности, у трансцендентных кривых могут быть характерные точки особой природы, которые не существуют у алгебраических кривых. К ним относятся точки прекращения, обладающие той особенностью, что окружность достаточно малого радиуса, проведённая из такой точки как из центра, пересекает кривую только в одной точке (например, кривая y=xlnx, имеющая точку прекращения в начале координат). Сюда относятся также угловые точки, в которых прекращаются две ветви кривой, причём каждая из них имеет в этой точке свою касательную (например, кривая , имеющая угловую точку в начале координат).
Трансцендентная кривая может иметь также ассимптотическую точку, к которой неограниченно приближается ветвь кривой, делая вокруг этой точки бесконечное количество оборотов (например, логарифмическая спираль = а, для которой ассимтотической кривой является полюс).
Помимо указанных характерных точек, трансцендентные кривые могут обладать весьма своеобразными особенностями формы. Кривая может иметь, например, пунктирную ветвь, состоящую из бесконечного множества изолиованных точек (например, кривая имеет пунктирную ветвь, располагающуюся вдоль отрицательной части абцисс и состоящую из множества изолированных точек с абциссами -, -2, -3,…).
До сих пор нет удовлетворительной классификации трансценденных кривых. Попытки определить основы теории трансцендентных кривых были мало состоятельны.
Одна из таких попыток заключалась в следующем. Было замечено, что у подавляющего числа известных трансцендентных кривых, также как и у всех алгебраических кривых, угловой коэффициент касательной в каждой точке кривой является корнем алгебраического уравнения, коэффициенты которого представляют собой полиномы от х и у. Иными словами, дифференциальные уравнения подавляющего большинства известных в науке трансцендентных кривых являются уравнениями первого порядка вида
4. Кривые, изучаемые в школьном курсе математики
Эллипсом называется множество точек плоскости, для каждой из которых сумма расстояний до двух данных точек, называемых фокусами, есть величина постоянная и большая, чем расстояние между фокусами, есть величина постоянная и большая, чем расстояние между фокусами. [9, 10]
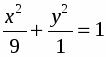
Уравнение называется каноническим уравнением эллипса.
Можно выделить следующие свойства эллипса (см. рис. 13):
Точка О (0; 0) принадлежит эллипсу;
х и у входят в уравнение чётной системы, поэтому если точка М (х; у) принадлежит эллипсу, то эллипсу принадлежит точка М1(-х; у), М2(х; – у), М3(-х; – у), следовательно, эллипс – фигура, симметричная относительно Ох, Оу, начала координат. Оси Ох, Оу, являются осями симметрии эллипса. Можно доказать, что эллипс, отличный от окружности, не имеет других осей симметрии;
Найдём точки пересечения с осями координат:
Рис. 13
С осью Ох: у=0 А1(а; 0), А2(-а; 0)
С осью Оу: х=0, В1(b; 0), B2(-b; 0)
a >b, т. к. b2 = a2 – b2, следовательно А1A2 – большая ось эллипса, В1В2 – малая ось эллипса;
Исследуем поведение эллипса в первой четверти:
, следовательно, .
Так, с возрастанием х от 0 до а у < b, то функция у в первой четверти убывающая. При х = 0, у = b; при х = а у = 0, А1A2 – вершины эллипса.
Гиперболой называется геометрическое место точек, для каждой из которых абсолютная величина разности расстояний до двух фиксированных точек плоскости, называемых фокусами, есть данное положительное число 2а, меньшее, чем расстояние 2с между фокусами. [5]
Каноническим уравнением гиперболы является уравнение . Оно используется для изучения её геометрических свойств (см. рис. 14):
Точка О (0; 0) не принадлежит гиперболе.
Гипербола симметрична относительно осей и начала координат. Так же как и в случае эллипса, точка О является центром симметрии гиперболы, а прямые Ох и Оу – осями симметрии. Центр симметрии называется центром гиперболы.
3. С осью Ох: у=0 , А1(а; 0), А2(-а; 0)
С осью Оу: х=0, , В1(b; 0), B2(-b; 0)
Рис. 14
Т. о. х = – а и х = а – точки гиперболы лежат вне полосы. [14]
Параболой называется геометрическое место точек, для каждой из которых расстояние до некоторой фиксированной точки плоскости, называемой фокусом, равно расстоянию до некоторой фиксированной прямой, не проходящей через фокус, и называемой директриссой. [7, 8]
Расстояние от фокуса параболы до её директрисы называется параметром параболы. Эксцентриситет параболы принимается равным единице.
Уравнение у = 2 рх является каноническим уравнением параболы. Каноническое уравнение параболы также используется для изучения её геометрических свойств (см. рис. 15):
Рис. 15
Точка О (0; 0) принадлежит гиперболе;
Если точка М (х; у) принадлежит параболе, то точка М1(х; – у) также принадлежит параболе, следовательно, парабола симметрична относительно Оу.
Из уравнения параболы у – любое, , т.е. «ветви» параболы расположатся в положительной полуплоскости, относительно Оу.
В I четверти , при , . В первой четверти у возрастает. [13]
5. Цели и задачи факультативных занятий
В настоящее время традиционный взгляд на содержание обучения математике, её роль и место в общем образовании пересматривается и уточняется. Для продуктивной деятельности в современном мире требуется достаточно прочная базовая математическая подготовка.
Факультативные занятия по математике призваны углублять математические знания школьников, уже определивших основной круг своих учебных интересов.
Главной целью факультативных занятий по математике является углубление и расширение знаний, развитие интереса учащихся к предмету, развитие их математических способностей, привитие школьникам интереса и вкуса к самостоятельным занятиям математикой, воспитание инициативы и творчества.
Для того, чтобы факультативные занятия по математике были эффективными, необходимо организовать там, где есть:
высококвалифицированные учителя или другие специалисты, способные вести занятия на высоком научно – методическом уровне;
не менее 15 учащихся, желающих изучать данный факультативный курс. [12]
Факультативы – занятия, основанные на принципе добровольного участия и призванные решать три основные задачи:
повышение уровня математического мышления, углубление теоретических знаний и развитие практических навыков учащихся, выявления математических способностей;
организация досуга учащихся в свободное от учёбы время.
Данный факультатив предназначен для учеников 11 классов.
Для проведения факультатива выделяется 1 час в неделю, всего 16 часов, разработан на первое полугодие. [18]
По существу, факультативные занятия являются наиболее динамичной разновидностью дифференциации обучения.
6. Тематическое планирование факультатива
1
История изучения плоских кривых
1 ч
2
Способы образования кривых
3 ч
Классификация плоских кривых
4 ч
3
Алгебраические кривые
1 ч
4
Род алгебраических кривых
2 ч
5
Трансцендентные кривые
1 ч
Кривые, изучаемые в школьном курсе математики
6 ч
6
Эллипс
1 ч
7
Гипербола
1 ч
8
Парабола
2 ч
9
Итоговое занятие. Выпуск математической газеты
2 ч
Занятие №1
Тема: История изучения плоских кривых
Цели: 1) познакомить с историей изучения плоских кривых;
2) развить интерес у учащихся к знаниям, повысить интерес к учению;
3) углубить знания, полученные на уроках математики.
Ход занятия
I. Организационный момент
II. Основная часть
Лекция об истории изучения плоских кривых [см. гл. I § 1]
Задание
Ребята, разгадаем с вами кроссворд:
ПАСКАЛЬ
ПАПИРУС
АПОЛЛОНИЙ
РОБЕРВАЛЬ
АРХИМЕД
ГЕОМЕТРИЯ
По горизонтали
Учёный, считавший, что дуга спирали Архимеда равна дуге параболы
Египтяне за 17–20 веков до нашей эры занимались квадратурой круга. Как назывался документ?
Кто написал трактат о конических сечениях? (3–2 в. до н.э.)
Какой учёный показал, что задача спрямления спирали идентична задаче спрямления параболы?
Учёный, решивший задачу о квадратуре сегмента параболы.
Как называлась книга Р. Декарта, изданная в 1637 году?
По вертикали
Название линии, прошедшей большой исторический период.
III. Итог занятия
Домашнее задание
Написать реферат на тему «История изучения плоских кривых».
Занятие №2–3
Тема: Эллипс
В декартовой системе координат, как хорошо известно, окружность радиуса R c центром C (a; b) задаётся уравнением (x2 – a2) + (y2 – b2) = R2. Если сжать окружность с центром в начале координат к вертикальному диаметру с коэффициентом k > 0, то получится линия с уравнением k2x2 + y2 = R2 (1), которая называется эллипсом. При этом ясно, что если k > 1, то это действительно сжатие в привычном смысле этого слова (рис. 16, а), а если 0 < k < 1, то это растяжение (рис. 16, б). Но договоримся использовать один общий термин – сжатие.
Преобразуем уравнение (1). Разделим его обе части на R2:
всегда.
Сделаем замену и , тогда получим уравнение эллипса в общем виде; (2).
Рис. 16
Уравнение (2) называется каноническим уравнением эллипса. В школьном курсе изучается уравнение окружности с центром в начале координат (3).
Посмотрим, как связаны окружность и эллипс.
В уравнении (3) сделаем замену
Разделим на R2:
. Пусть , тогда .
Итак, мы видим, что окружность – частный случай эллипса, когда а = b.
Отметим ещё, возвращаясь к уравнению (1), что окружность – это эллипс, где k = 1.
Из уравнений видно, что эллипс – линия, симметричная относительно обеих осей координат, а значит, и центрально-симметричная. Геометрически, он полностью характеризуется одним из поперечных размеров (они называются осями эллипса) и их отношением.
Вокруг эллипса естественным образом описывается прямоугольник со сторонами, равными осям эллипса и параллельными координатным прямым, который является результатом сжатия квадрата, описанного вокруг исходной окружности. Называется он осевым прямоугольником эллипса. Если научиться его строить по уравнению эллипса, то довольно легко после этого изобразить и сам эллипс.
Например, дано уравнение а) 3х2 + у2 = 7. Изобразить эллипс двумя способами. [16]
I способ
Запишем его в виде . Устанавливаем, что , строим осевой прямоугольник со сторонами 2R, и изображаем сам эллипс (рис. 17). Отметим, что в правой части уравнения должно быть положительное число, а в левой – сумма квадрата абсциссы, взятого с положительным коэффициентом, и квадрата ординаты.
Рис. 17
II способ
Приведём уравнение к каноническому виду.
Разделим обе его части на 7.
Получим, что
Строим осевой прямоугольник со сторонами а и 2b, а затем изображаем эллипс.
Отметим, что, например, уравнение 3х2 + 5у2 = 7 следует сначала преобразовать к виду х2 + у2 = или а затем находить R, k и a, b соответственно.
Если центр эллипса находится не в начале координат, но его оси параллельны координатным осям, то он задаётся уравнением (4),
где С (а; b) – центр эллипса. Это легко следует из формул параллельного переноса, или каноническим уравнением
(5) – С (х; у) – центр эллипса.
Данного материала достаточно для построения эллипса в том случае, если он задан уравнением, содержащем как квадраты, так и первые степени переменных.
б)
I способ
Преобразуем к виду (4):
Это уравнение эллипса с центром в точке С (5; – 4), где k = (рис. 18)
Рис. 18
II способ
Преобразуем к виду (5): . Получили уравнение эллипса с центром в точке С (5; – 4), где а = 3, b = 2.
Строим сам эллипс.
Найти длины полуосей и координаты фокусов следующих эллипсов:
а)
Приводим уравнение к каноническому виду , а = 3, b = 2.
Фокусы F1 и F2 имеют координаты F1(с; 0) и F2(– с; 0).
Итак, F1(; 0) и F2(; 0) а = 3, b = 2.
б) Решаем аналогично а). , а = 3, b = 1.
F1(с; 0), F2(– с; 0).
Итак, F1(; 0) и F2(; 0) а = 3, b = 1.
в)
, а = , b = .
F1(с; 0), F2(– с; 0):
Итак, а = , b = , F1(; 0), F2(-; 0).
Найти координаты точек М, принадлежащих эллипсу и равноудалённых от фокусов.
Пусть М (х; у), тогда МF1 = МF2 (по условию). Т. к. F1(с; 0), F2(– с; 0): то
Если х = 0, то, подставляя его в исходное уравнение, получим: , Следовательно, и .
Взяв на плоскости прямоугольную декартову систему координат, изобразить области, определяемые следующими системами неравенств.
а)
Построим множество точек, определяемых 1-м, 2-м, 3-м неравенством.
Найдём пересечение этих множеств.
Построим эллипс но т. к. неравенство строгое, то точки эллипса не принадлежат искомой области, т.е. неравенство (2) задаёт внутренние точки эллипса.
Устанавливаем, что R = 3, (0< k <1), Cтроим осевой прямоугольник со сторонами и изображаем эллипс.
Строим множество точек, заданных вторым неравенством. Для этого строим прямую и штрихуем определяемую область.
Аналогичные рассуждения для построения области, заданной неравенством у + 2 > 0.
Построение.
б)
Построим множество точек, определяемых 1-м, 2-м, и 3-м неравенствами.
Найдём пересечение этих множеств.
I. – эллипс, точки которого не принадлежат искомой области (неравенство строгое), т.е. неравенство задаёт внешние точки эллипса. Приведём уравнение к каноническому виду
Строим осевой прямоугольник со сторонами a и b, изображаем эллипс.
Строим множество точек, заданных неравенством (2). Для этого изображаем прямую у = 3 и штрихуем определяемую область.
Рассуждаем аналогично.
Построение.
Занятие №4–5
Тема: Гипербола
Учащиеся хорошо знакомы с гиперболой как с графиком функции и с такими понятиями, как её ветви и асимптоты. Гипербола не только является центрально-симметричной линией (как график нечётной функции), но и имеет две оси симметрии – это биссектрисы пар вертикальных координатных углов (рис. 19).
Рассмотрим уравнение x2 – y2 = l и покажем, что линия, задаваемая им – это тоже гипербола. Перепишем уравнение в виде (x – y) (x + y) = l. Введём новые переменные: тогда в системе (u, v) исходное уравнение примет вид uv = l, и это будет гипербола, расположение ветвей которой полностью определяется знаком числа l.
Для изображения гиперболы выясним, как расположены оси системы координат (u, v) в координатной плоскости (х, у), считая, что u – абсцисса и v – ордината в новой системе координат. Ось абсцисс – это множество точек, для которых v = 0, т.е. в исходной системе координат, или в исходной системе координат, или . Это биссектриса чётных координат углов. Аналогично, . Это биссектриса нечётных координатных углов. Для выяснения направлений на осях рассмотрим на оси Ou точку А (рис. 20), которая в системе координат (х, у) имеет координаты (1, -1). Тогда для этой точки u = 1 – (– 1) = 2 > 0, т.е. она лежит на положительной полуоси Оu. Аналогично, рассматривая на оси Ov точку В (1; – 1), получим, что для неё , и, значит, она расположена на положительной полуоси Ov.
Это позволяет сделать вывод о том, что преобразование переводит систему координат (х, у) в систему (u, v), оси которой повёрнуты пол отношению к исходной на угол .
Рис. 19
Рис. 20
Рис. 21
Уравнение при этом преобразуется в уравнение uv = l, которое равносильно уравнению ибо равенство означало бы , и, значит, В зависимости от знака числа l мы можем изобразить ветви гиперболы в соответствующих координатных четвертях системы , тем самым будет получено изображение гиперболы, задаваемой уравнением в системе координат .
При этом, подставляя в исходное уравнение или в зависимости от знака l, мы получим точки пересечения гиперболы с той или иной координатной осью. Эти точки называются вершинами гиперболы (рис. 21).
Если к гиперболе провести касательные в её вершинах (Теорема. Касательная к гиперболе в произвольной её точке является биссектрисой внутреннего угла М0 треугольника F1M0F2, имеющего своими вершинами фокусы гиперболы и данную точку М0, см. рис. 27), то они пересекут асимптоты гиперболы в точках, которые будут вершинами квадрата (это следует из соображений симметрии). Удобно этот квадрат назвать осевым квадратом гиперболы (рис. 23). Центр этого квадрата совпадает с центром симметрии гиперболы, её диагонали – это её асимптоты, а сторона равна .
Рис. 22, 23
Если произвести сжатие к оси Ох с коэффициентом k > 0, k 1, то гипербола преобразуется в линию, также называемую гиперболой, но о такой гиперболе говорят, что она неравнобокая. Исходную же гиперболу называют равнобокой. Прн сжатии осевой квадрат преобразуется в осевой прямоугольник, а диагонали квадрата – в диагонали прямоугольника (они будут асимптотами для получающейся неравнобокой гиперболы). Уравнение неравнобокой гиперболы имеет вид: , где k2 1.
Рис. 24
Таким образом, уравнение (k 0, l 0) всегда задаёт гиперболу. Она равнобокая, если k = 1 и неравнобокая, если k = -1. Её вершины лежат на оси Ох, если l > 0, и на оси Оу, если l < 0. Для её изображения нужно сначала построить осевой прямоугольник, его диагонали и вершины гиперболы (рис. 24).
Преобразуем уравнение . Разделим обе его части на l:
(1)
Если l > 0, то уравнение примет вид (1), а если
l < 0 – (2).
Сделаем замену , , тогда получим уравнение гиперболы в общем виде
(3) (4).
Уравнения (3) и (4) называются каноническими уравнениями, а гиперболы, заданные этими уравнениями, называются сопряжёнными, а и b – стороны осевого прямоугольника. Если a = b – осевого квадрата.
Для закрепления решим несколько задач. [17]
Построить графики.
а)
I способ.
Это уравнение равносильно уравнению . Поскольку l < 0, то вершины гиперболы расположены на оси Оу. Гипербола неравнобокая, т. к. . Строим осевой прямоугольник со сторонами и , где , . Чертим график гиперболы.
II. способ
Приведём уравнение к каноническому виду
, , следовательно, Строим осевой прямоугольник, а затем изображаем гиперболу.
Параллельный перенос гиперболы преобразует уравнение к виду:
(5) (или (6)).
Рассмотрим способ построения гиперболы по уравнению данного вида.
б) . Преобразуем его к виду (5) и далее: Это уравнение гиперболы, где Осевой прямоугольник со сторонами смещён на две единицы вверх и вправо. Строим его и изображаем гиперболу.
II способ.
Приводим уравнение к каноническому виду:
, следовательно,
Центр осевого прямоугольника – точка (2; 2).
Строим его и изображаем гиперболу.
Найти длины полуосей и координаты фокусов следующих гипербол:
а)
.
Привели к каноническому виду, а следовательно а = 2, b = 3.
F1 и F2 имеют координаты: F1(– с; 0), F2(с; 0).
Таким образом, F1(; 0), F1(; 0).
Ответ: а = 2, b = 3, F1(; 0), F1(; 0).
б)
Используя каноническое уравнение, получим:
.
Мы знаем, что F1(– с; 0), F2(с; 0),
Итак, , F1(; 0), F1(; 0).
в)
,
F1(– с; 0), F2(с; 0):
Ответ: F1(; 0), F1(; 0).
Составить каноническое уравнение гиперболы, если расстояние между вершинами равно 8, а расстояние между фокусами равно 10;
Итак, нам дано, что Находим, что .
Каноническое уравнение гиперболы имеет вид Т. к. , то уравнение можно записать следующим образом:
Взяв на плоскости прямоугольную декартову систему координат, построить области, определяемые следующими системами неравенств:
а)
построим множество точек, определяемых 1-м и 2-м неравенствами. Найдём пересечение этих множеств.
Построим гиперболу . После преобразования получаем каноническое уравнение с полуосями а = 2 и b = 1. Точки гиперболы не принадлежат искомой области, т. к. неравенство строгое. Это неравенство определяет внутренние точки гиперболы. Строим осевой прямоугольник, гиперболу и изображаем искомую область.
Строим множество точек. Заданных вторым неравенством. Для этого изображаем прямую и штрихуем определяемую область.
Построение.
б)
Построим множество точек, определяемых 1-м, 2-м. 3-м неравенствами. Найдём пересечение этих множеств.
построим гиперболу . Её точки принадлежат искомой области, т. к. неравенство не строгое. Т. о. Неравенство определяет внешние точки гиперболы. Преобразуем уравнение. это уравнение гиперболы, где , точки которой не принадлежат искомой области (неравенство строгое), строим осевой прямоугольник со сторонами и изображаем гиперболу.
Строим множество точек, заданных вторым неравенством. Для этого изображаем прямую и штрихуем определяемую область.
Рассуждаем аналогично. строим прямую и штрихуем определяемую область.
Построение.
7. Эксперимент
Некоторые практические материалы. Предложенные в гл. II проверены экспериментально в 10–11 классах ГОУ СОШ с. Новкус-Артезиан.
Тема эксперимента: «Различные уравнения эллипса, гиперболы, параболы и их графики».
Эксперимент проводился в два этапа.
I этап эксперимента.
До изложения теории о линиях второго порядка (до Темы 1) предлагались задания на проверку уровня знаний учащихся о знакомых им линиях второго порядка.
Учащимся было предложено ответить на вопросы и выполнить задания:
Какие из перечисленных ниже графиков представлены на чертеже:
а) окружность;
б) эллипс;
в) гипербола;
г) парабола?
Каким из перечисленных выше уравнений задаётся каждый из них:
а) ,
б)
в)
г)
Какие методы построения графиков функции вы знаете?
Приведите примеры распространения линий второго порядка в жизни, природе, технике.
Какие вы знаете свойства эллипса, гиперболы, параболы, окружности?
II этап поискового эксперимента проводился после проведения факультативных занятий.
Подбирались задачи, аналогичные тем, которые рассматривались на кружковых занятиях. Задания достаточно стандартные, аналогичные тем, которые были проведены на первом этапе эксперимента и задания по нестандартному решению задач.
Учащимся были предложены следующие задания:
Нарисовать схематически графики данных уравнений:
а) ,
б)
в)
г) .
По заданным уравнениям определите название линии второго порядка:
а)
б)
в)
г) .
Построить график функции
Решить уравнения: а)
б)
После проведения эксперимента можно сделать следующий вывод: у учащихся экспериментальной группы значительно поднимается уровень логического мышления и развивается математическая интуиция, они чётко аргументируют ответы, приводят доказательства и хорошо ориентируются в изученном материале, применяя его на уроках.
Результаты эксперимента
Количество учащихся
I этап
II этап
15
28%
75%
Заключение
В квалификационной работе разработана теория плоских кривых и замечательных кривых, предложена разработка факультатива для учащихся 9–11 классов на тему «Плоские кривые».
После изучения научной и методической литературы материал отобран с учётом психологических и физиологических особенностей учащихся старших классов и систематизирован для целостного изложения.
Выдвинутая гипотеза, на наш взгляд подтверждается на основе наблюдений и частичного эксперимента в период педагогической практики.
Содержание всех занятий позволяет углубить представление учащихся об эллипсе, гиперболе. Параболе и ознакомить их с некоторыми, наиболее часто встречающимися замечательными кривыми, приблизить их к пониманию некоторых важных идей современной математики.
Литература
Савелов А.А. Плоские кривые. – М.: ГИФ-МЛ, 1960
Гильберт Д., Кон-Фостен С. Наглядная геометрия. – М.: Наука, 1981.
Моденов П.С. Аналитическая геометрия М.: Наука, 1969
Атанасян Л.С., Базылев В.Т. Геометрия. – учебное пособие для студентов физ. – мат. факультетов пед. институтов. – М.: Просвещение, 1987
Александров П.С. Лекции по аналитической геометрии, пополненные необходимыми сведениями из алгебры с приложениями собрания задач, снабжённых решениями, составленные А.С. Пархоменко. – М.: Наука, 1968
Александров П.С. Курс аналитической геометрии и линейной алгебры. – М.: Наука, 1979
Энциклопедический словарь юного математика. М.: Педагогика, 1989
Математический энциклопедический словарь. М.: Советская энциклопедия, 1988
Маркушевич А.И. Замечательные кривые. – М.: – наука, 1978
Водинчар М.И., Лайкова Г.А., Калинова Т.Ю. Линии второго порядка и графики иррациональных функций // Математика в школе, 1999, №3.
Дубровин В.А., Новиков С.П., Фоменко А.Г. Современная геометрия. Методы и приложения. – М. Наука, 1986
Методика преподавания математики в средней школе. – М.: Просвещение, 1980
Кузнецова Г.Б. Алгебра точек параболы // Математика в школе, 1974, №2
Ткаченко А.А. Об одном свойстве гиперболы // Математика в школе, 1976, №2
Лабораторные и практические работы по методике преподавания математики: учебное пособие для физ. – мат. Специальностей пед. институтов \ под редакцией Лященко Е.И. – М., 1988
Шарыгин И.Ф. Факультативный курс по математике: решение задач. Уч. пособие для 10 кл. средней школы. – М., 1989
Абрамов А.Щ., Ивлев Б.М. и др. Задачи повышенной трудности по алгебре и началам анализа: уч. пособие для 10–11 кл. средней школы. – М., 1993
Программа общеобразовательных учреждений. Математика. – М. «Просвещение», 2002
Нравится материал? Поддержи автора!
Ещё документы из категории математика:
Чтобы скачать документ, порекомендуйте, пожалуйста, его своим друзьям в любой соц. сети.
После чего кнопка «СКАЧАТЬ» станет доступной!
Кнопочки находятся чуть ниже. Спасибо!
Кнопки:
Скачать документ