Резонанс в коливальному контурі
































































План лекції
з навчальної дисципліни
ФІЗИКА
Тема Резонанс в коливальному контурі
ОРГАНІЗАЦІЙНО-МЕТОДИЧНІ ВКАЗІВКИ ДО ПРОВЕДЕННЯ ЛЕКЦІЇ
Аналізується формула залежності амплітуди сили струму в коливальному контурі від частоти зовнішньої ЕРС; виконується графічні залежності резонансних кривих послідовного коливального контуру; визначається явище резонансу, виконуються графічні залежності зсуву фази між коливаннями сили струму в контурі і зовнішнього ЕРС та резонансних кривих для амплітуди напруги на конденсаторі і пояснюється, що при резонансі амплітуди напруги на конденсаторі дорівнює амплітуді напруги на котушці індуктивності; визначається добротність коливального контуру в умовах резонансу; проводяться приклади добротностей коливальних контурів в різних областях застосовності радіотехніки та техніки зв’язку.
ВСТУП
Для одержання вимушених коливань, необхідно здійснити на систему зовнішню періодично змінюючу дію. У випадку електричних коливань це можна здійснити, включивши з елементами контуру змінну ЕРС.
Явище резонансу використовується для виділення із складної напруги потрібної складової.
Настроївши контур на потрібну частоту (тобто підбивши його параметри відповідно С і L), можна одержати на конденсаторі напругу, в Q разів (Q-добротність) більше даної складової, в той же час напруга на конденсаторі, що здійснюється іншими складовими, буде дуже слаба. Такий процес здійснюється, наприклад, при настройці радіоприймача на потрібно довжину хвилі.
РЕЗОНАНС. ПАРАМЕТРИ КОЛИВАЛЬ ПРИ РЕЗОНАНСІ. ДОБРОТНІСТЬ КОНТУРУ
Аналіз формули
показує, що амплітудне значення сили струму в контурі залежить не тільки від параметрів контуру (R, C, L) амплітудного значення зовнішньої ЕРС - , а й від циклічної частоти зовнішньої ЕРС - .
Дуже важливе практичне значення має резонанс напруг що спорстерігається в послідовному коливальному контурі.
Якщо = 0, то , тоді опір контуру обертається в нескінченність, а I = 0 ( = 0 струм постійний, а постійний струм не проходить через конденсатор).
При збільшенні квадрат реактивного опору
спочатку зменшується, тому і загальний опір контуру зменшується, а сила струму збільшується.
При частоті , визначаємо її умовою
,
реактивний опір
обертається в нуль, а опір контуру стає найменшим, рівним активному опору R . Сила струму досягає при цьому максимуму:
Рис.1
При квадрат реактивного опору знову не дорівнює нулю і збільшиться зі сростанням . У відповідності з цим опір контуру збільшується, а амплітуда зменшується (залежність від ), що виражається формулою:
графічно зображена на рис.1 де показані три криві, що відповідають трьом величинам активного опору R .
Чим менший R (тобто, чим менше логарифмічний декремент затухання), тим більше при інших рівних умовах іо і тим гостріше максимум кривих.
Явище різкого зростання амплітуди сили струму в послідовному коливальному контурі при збігові циклічної частоти спонукаючої ЕРС з власною частотою контуру називається резонансом напруг.
Залежність зсування фаз між струмом і ЕРС зображена графічно на рис.2.
Рис. 2
Чим менше R, тим швидше змінюється . Коли зсування фаз між струмом і напругою дорівнює 0. Контур діє як суто активний опір. При резонансі
,
отже амплітуда спаду напруги на конденсаторі дорівнює амплітуді напруги на котушці, а фази їх протилежні.
,
,
Резонансна крива для зображена на рис. 3. При резонансі криві напруги прямують по - напрузі, що виникла на конденсаторі при підключенні його до джерела струму (постійної напруги) . При умові резонансу енергія, що надходить від зовнішнього джерела до контуру за один період коливання, досягає максимуму, тобто джерело струму розвиває найбільшу повну потужність.
Резонанс напруг широко застосовують в радіотехніці і використовують в тих випадках, коли потрібно посилити коливання напруги будь-якої визначеної частоти, при настроюванні радіоприймача на потрібну довжину хвилі.
Вибірність приймача буде тим більшою, чим “гостріша” резонансна крива струму.
Для характеристики затухання коливальних контурів часто користуються, особливо в радіотехніці, величиною, що зветься добротністю контуру і позначається Q.
Добротність контуру – величина, обернено пропорційна логарифмічному декременту затухання.
.
Так як
,
де Ne - число повних коливань, що відбуваються за той час, що амплутуда коливань спадає в е разів, то
Q = Ne.
Добротність контуру – це помножена на число повних коливань, за які амплітуда зменшується в е разів. Добротність контуру тим вища, чим менше затухання коливань у ньому.
Використовуючи вираз для
= T,
одержимо:
.
Згідно формули
.
Ця залежність використовується для визначення добротності контуру, працюючи в резонансному режимі.
Розрахунок показує, що при слабому затуханні добротність контуру стає пропорційною відношенню енергії, що запасена в котушці, до спаду цієї енергії на ленц-джоулеве тепло за один період коливання.
Добротність контуру характеризує також гостроту резонансних кривих. “Гостроту” резонансної кривої характеризують відносною підшириною цієї кривої, рівній , де - різниця значень , циклічних частот, відповідних за умовою
.
( рис. 4 )
Рис. 4
.
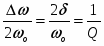
Відносна півширина резонансної кривої коливального контуру дорівнює
.
Тож відносна півширина кривої коливального контуру обернено пропорційна його добротності.
.
Ця формула правильна лише для великих Q, тобто у випадку, коли затухання коливань в контурі мале.
Аналіз коливань в контурі при резонансі напруг дозволяє вибрати оптимальні характеристики контуру для забезпечення нормальної роботи тієї чи іншої апаратури.
Але уява про те, що під час радіоприймання потрібно, по можливості, збільшувати добротність контуру, бо при цьому збільшується напруга на конденсаторі (, тобто чутливість приймача) і усувається вплив сусідніх станцій, оскільки резонансна крива звужується, є помилкова. Справа в тому, що з зростанням добротності збільшується час стаціонарного стану, а його неможна надмірно збільшувати, він повинен бути меншим за тривалість сигналу. Крім того, сигнал ніколи не буває ідеально монохроматичним. Тому, якщо крива резонансу надзвичайно вузька, то частина спектральних складових сигналу опиниться поза смугою пропускання контуру, що призведе до викривлення сигналу, наприклад, в телебаченні при передачі сигналів зображення використовується широка смуга частот .
Якщо передача проходить на частоті , то добротність контуру не повинна бути вищою
.
Нехай радіопередача відбувається на частоті Гц. Для високоякісних передач потрібна ширина смуги пропускання / .Тоді добротність повинна бути
Отож, контур Q = 50 вже не придатний, він надто добротний, звичайно радіоконтури мають , для камертона - , для ЗВЧ резонаторів , а для квазіоптичних і оптичних резонаторів .
ПАРАМЕТРИЧНІ КОЛИВАННЯ
Реактивні елементи контуру С і L мають властивість накопичувати енергію. Ця їх властивість дозволяє створювати параметричні підсилювачі і помножувачі частот, модулятори.
Характерні прояви властивостей змінних реактивностей можна простежити на самій простій схемі, що містить в собі постійні L і r і конденсатор зі змінюваною в часі ємністю С (рис.5).
Рис. 5
Розглянемо процеси в ізольованому конденсаторі, зміна ємності якого здійснюється механічним шляхом зближення і розширення пластин (рис.6).
Рис. 6
Ємність плоскопаралельного конденсатора залежить від діелектричної проникності , площі пластин S та відстані між ними l .
.
При зміні відстані між пластинами ємність конденсатора змінюється в протилежному напрямі (відстань збільшується – ємність зменшується і навпаки).
Величина приросту ємності dC пропорційна dl. Продиференціювавши С одержимо:
.
Так як енергія електричного поля конденсатора залежить від ємності
,
то зміна ємності С при q = const супроводжується або збільшенням, або спадом електричної енергії, накопиченої в конденсаторі.
.
Або при кінцевому прирості
.
Збільшення запасу енергії при зменшенні ємності відбувається за рахунок механічної роботи, здійснюваної проти сил притягання різноіменно заряджених пластин.
В контурі (рис.5) відсутнє джерело електричної енергії, проте коливання збуджуються. Необхідна для цього енергія “накачується” в контурі за рахунок зміни (модуляції) ємності під дією зовнішньої сили.
Явища, що виникають при примусовій зміні одного з реактивних параметрів контуру, вперше були детально вивчені в 30-х роках групою видатних вчених А.А.Андроновим, А.А.Віттом, Г.С.Гореликом та іншими під керівництвом академіків Л.А.Мендельштамма, Н.Д.Папалексі.
Цей контур відомий під назвою параметричної машини Мендельштамма і Папалекчі. Динаміка накачки енергії в контурі може бути представлена наступним чином. У контурі існують вихідні коливання (хоча б за рахунок теплових флюктуацій, рис. 7).
Рис. 7
Якщо в момент, коли напруга максимальна, зменшити ємність на C, то у конденсатор буде занесена додаткова енергія W. Збільшення енергії конденсатора виявиться у збільшенні напруги на його обкладинах на величину U.
.
Через чверть періоду, коли напруга на ємності дорівнює нулю, можна платини повернути в початкове положення. Ємність буде дорівнювати початковому її значенню. При цьому ніяка робота проти сил електричного поля не витрачається (U = 0). В наступний момент максимальної напруги ( t=1/4 T) зворотної полярності ємність знову зменшиться, вноситься нова порція енергії і т.д. Відбувається процес наростання напруги.
За період коливань енергія в контур вноситься двічі, тобто частота періодичного зовнішнього впливу (накачки) вдвічі більша, ніж власна частота коливань в контурі
.
Якщо енергія, що вноситься, дорівнює втратам у контурі, то коливання будуть незагасаючими. Енергію в потрібній фазі можна вносити через 1Т; 1,5 Т; 2Т. Якщо втрати в контурі між тактами “уприскування” енергії перебільшують порції, що вносяться, то коливання наростати не будуть. Одначе і в цьому випадку частина втрат компенсується, тобто добротність контуру збільшується.
В даний час зміни ємності (або індуктивності) здійснюються не механічно, а шляхом використання нелінійних реактивних елементів. Так, в якості керованої ємності застосовуються варикапи, модульовані напругою від спеціального генератора накачки.
Найбільш важливою властивістю параметричних пристроїв є те, що вони малошумящі пристрої (у них немає ні ламп, ні транзисторів). Тому вони використовуються в якості малошумящих посилювачів, які застосовують в приймачах для радіозв’язку між підземними об’єктами і під водою.
Великий динамічний діапазон параметричних посилювачів дозволяє застосовувати їх для КЧ-діапазона, для якого є бідою “перевантаження ефіру” сигналами десятків тисяч працюючих станцій. В цих умовах для зменшення перешкод важливо мати вхідні каскади приймачів з широким динамічним діапазоном.
ВИСНОВКИ
Із зміною частоти зовнішньої сили змінюється амплітуда вимушених коливань. Якщо частота наближається до частоти вільних коливань системи , то амплітуда максимуму, коли зі збільшенням частоти () амплітуда вимушених коливань зменшується.
Явище різкого зростання амплітуди сили струму в послідовному коливальному контурі при збігові циклічної частоти спонукаючої ЕРС з власною циклічною частотою, називається резонансом напруг.
Під час резонансу амплітуда напруги на конденсаторі теж максимальна.
Добротність коливального контуру показує в скільки разів напруга на конденсаторі при резонансі більша амплітудного значення зовнішньої ЕРС. Відносна півширина резонансної кривої коливального контуру обернено пропорційна добротності.
Резонанс напруг використовується при настроюванні приймачів на потрібну довжину хвилі.
НАВЧАЛЬНА ЛІТЕРАТУРА
1. Кучерук І.М., Горбачук І.Г. Загальна фізика. Електроніка і магнетизм.- К.:Вища школа, 1990. §
2. Савельев И.В. Курс физики, т.3, Квантовая физика.-М.: 1989. §
3. Трофимова Т.И. Курс физики,-М.: Высшая школа, 1985, 432 с. §
4. Бушок Г.Ф., Левандовський В.В., Півень Г.Ф. Курс фізики (Оптика. Фізика атома і атомного ядра. Молекулярна фізика і термодинаміка), т.2,-Київ.: Либідь, 2001, - 421 с. §
Нравится материал? Поддержи автора!
Ещё документы из категории физика:
Чтобы скачать документ, порекомендуйте, пожалуйста, его своим друзьям в любой соц. сети.
После чего кнопка «СКАЧАТЬ» станет доступной!
Кнопочки находятся чуть ниже. Спасибо!
Кнопки:
Скачать документ