Вычисление вероятности




































































































































































































































































1. Задача 1. В урне четыре белых и пять черных шаров. Из урны наугад вынимают два шара. Найти вероятность того, что один из этих шаров - белый, а другой - черный.
Решение.
Обозначим через А событие, состоящее в том, что один из этих шаров - белый, а другой - черный.
Вероятность события А найдем используя условную вероятность.
= 0,278
– вероятность того, что первый шар белый. Вероятность вычислена по формуле классической вероятности.
– вероятность того, что второй шар чнрный. Вероятность вычислена по формуле классической вероятности.
Ответ: 0,278.
2. Задача 2. Приведена схема соединения элементов, образующих цепь с одним входом и одним выходом. Предполагается, что отказы элементов являются независимыми в совокупности событиями. Отказ любого из элементов приводит к прерыванию сигнала в той ветви цепи, где находится данный элемент. Вероятности отказа элементов 1, 2, 3, 4, 5 соответственно равны q1=0,1; q2=0,2; q3=0,3; q4=0,4; q5=0,5. Найти вероятность того, что сигнал пройдет со входа на выход.
Решение.

Пусть событие состоит в том, что сигнал пройдет с входа на выход.
,
где – событие, состоящие в том, что i-ый элемент находится в рабочем состоянии.
Т.к. события - независимые совместные события.
Ответ: 0,994.
3. Задача 3. На трех автоматических станках изготавливаются одинаковые детали. Известно, что 30% продукции производится первым станком, 25% - вторым и 45% - третьим. Вероятность изготовления детали, отвечающей стандарту, на первом станке равна 0,99 , на втором - 0,988 и на третьем - 0,98. Изготовленные в течение дня на трех станках нерассортированные детали находятся на складе. Определить вероятность того, что взятая наугад деталь не соответствует стандарту.
Решение. Событие А состоит в том, что что взятая наугад деталь не соответствует стандарту.
Гипотезы Н1, Н2, Н3.
– деталь изготовлена на первом станке;
– деталь изготовлена на втором станке;
– деталь изготовлена на третьем станке;
Гипотезы Нi образуют полную группу событий.
Воспользуемся формулой полной вероятности:
– полная вероятность.
=; =;
=; =;
=0,45; =;
Тогда
. = 0,015.
Ответ: 0,0,015.
4. Задача 4. Игральную кость подбрасывают 12 раз. Чему равно наивероятнейшее число выпадений 6?
Решение.
Найдем – наиболее вероятное число выпадений 6.
Наивероятнейшее число определяют из двойного неравенства:
;
– вероятность появления события в каждом из независимых испытаний. – вероятность того, что при одном испытании выпадет 6 (по формуле классической вероятности). . – по условию.
;
Так как – целое число, то наивероятнейшее число звонков равно .
Ответ: 2.
5. Задача 5. Дискретная случайная величина может принимать одно из пяти фиксированных значений , , , , с вероятностями , , , , соответственно. Вычислить математическое ожидание и дисперсию величины . Рассчитать и построить график функции распределения.
Решение.
Таблица 1.
-
1
4
5
7
8
0,3
0,3
0,1
0,15
0,15
Найдем числовые характеристики данного распределения.
Математическое ожидание
= 4,25
Дисперсию определим по формуле: .
= 24,55.
Тогда
Найдем функцию распределения случайной величины.
.
Построим график этой функции
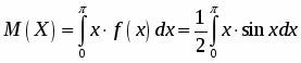
6. Задача 6. Случайная величина задана плотностью вероятности
Определить константу , математическое ожидание, дисперсию, функцию распределения величины , а также вероятность ее попадания в интервал [0;]
Решение.
Коэффициент найдем используя свойство функции плотности распределения: . Так как функция плотности распределения принимает отличные от нуля значения на интервале , то .
Вычислим определенный интеграл:
.
Следовательно, , .
Математическое ожидание найдем по формуле:
.
Т.к. плотность распределения принимает отличное от нуля значения только на отрезке [0, ], то
= =
= = .
Вычислили интеграл, используя формулу интегрирования по частям.
Найдем дисперсию , т.к. плотность распределения принимает отличное от нуля значения только на отрезке
[0, ], то .
=.
Найдем .
Воспользуемся формулой =.
=
Найдем функцию распределения СВ Х.
При
.
При
.
При
.
7. Задача 7. Случайная величина распределена равномерно на интервале . Построить график случайной величины и определить плотность вероятности .
Решение.
Найдем плотность распределения случайной величины . Случайная величина распределена равномерно на интервале , поэтому на этом интервале , вне этого интервала .
Построим график функции на интервале и в зависимости от числа обратных функций выделим следующие интервалы:
;
;
Так как на интервалах и обратная функция не существует, то для этих интервалов .
На интервале одна обратная функция , следовательно
На интервале две обратных функции и , следовательно .
Найдем производные обратных функций
; .
Учитывая, что , получим
; .
В результате получим:
.
Таким образом, плотность вероятности величины равна:
8. Задача 8. Двумерный случайный вектор равномерно распределен внутри области В. Двумерная плотность вероятности о любой точке этой области В:
Вычислить коэффициент корреляции между величинами и .
Решение.
Построим область
Найдем значение константы . Воспользуемся свойством функции
Поскольку принимает отличные от нуля значения внутри области , то получим
= .
Следовательно, . Значит,
Значение коэффициента корреляции вычислим по формуле
Корреляционный момент вычислим по формуле
.
.
.
.
Определим корреляционный момент
Ответ:
9. Задача 9. По выборке одномерной случайной величины
Получить вариационный ряд;
Построить гистограмму равноинтервальным способом;
Построить гистограмму равновероятностным способом;
Вычислить оценки математического ожидания и дисперсии;
Выдвинуть гипотезу о законе распределения случайной величины и проверить ее при помощи критерия согласия и критерия Колмогорова ()
0,22
0,42
0,07
1,69
0,42
0,94
1,81
2,24
0,74
0,75
0,80
2,59
0,55
0,43
0,51
0,38
1,41
0,73
0,03
0,96
0,63
0,17
0,10
0,09
1,09
1,52
2,97
0,91
1,53
0,55
1,23
1,27
0,75
1,55
0,88
0,57
0,31
1,04
1,71
1,39
1,16
0,86
1,13
0,82
2,02
1,17
0,25
0,64
0,07
0,11
1,99
0,71
2,17
0,23
2,68
1,82
1,19
0,05
1,23
4,70
0,37
0,40
1,31
0,20
0,50
2,48
0,32
1,41
0,23
1,27
0,33
1,48
0,52
0,68
0,30
0,40
0,24
1,52
0,17
0,17
0,83
1,20
0,65
0,05
1,45
0,23
0,37
0,09
3,66
0,28
0,77
0,11
1,95
0,10
0,95
0,65
4,06
3,16
0,51
2,02
Решение.
Найдем размах вариации . 0,03; 4,70;
4,70–0,03 = 4,67.
Вариационный ряд распределения имеет вид:
-
0,03
1
0,86
1
0,05
2
0,88
1
0,07
2
0,91
1
0,09
2
0,94
1
0,1
2
0,95
1
0,11
2
0,96
1
0,17
3
1,04
1
0,2
1
1,09
1
0,22
1
1,13
1
0,23
3
1,16
1
0,24
1
1,17
1
0,25
1
1,19
1
0,28
1
1,2
1
0,3
1
1,23
2
0,31
1
1,27
2
0,32
1
1,31
1
0,33
1
1,39
1
0,37
2
1,41
2
0,38
1
1,45
1
0,4
2
1,48
1
0,42
2
1,52
2
0,43
1
1,53
1
0,5
1
1,55
1
0,51
2
1,69
1
0,52
1
1,71
1
0,55
2
1,81
1
0,57
1
1,82
1
0,63
1
1,95
1
0,64
1
1,99
1
0,65
2
2,02
2
0,68
1
2,17
1
0,71
1
2,24
1
0,73
1
2,48
1
0,74
1
2,59
1
0,75
2
2,68
1
0,77
1
2,97
1
0,8
1
3,16
1
0,82
1
3,66
1
0,83
1
4,06
1
4,7
1
Построим гистограмму равноинтервальным способом. Число интервалов рассчитаем по формуле . Длина частичного интервала вычисляется по формуле
.
Полученные значения запишем в таблицу
№
1
0,03
0,497
0,467
34
0,34
0,73
2
0,497
0,964
0,467
27
0,27
0,58
3
0,964
1,431
0,467
15
0,15
0,32
4
1,431
1,898
0,467
10
0,1
0,21
5
1,898
2,365
0,467
6
0,06
0,13
6
2,365
2,832
0,467
3
0,03
0,06
7
2,832
3,299
0,467
2
0,02
0,04
8
3,299
3,766
0,467
1
0,01
0,02
9
3,766
4,233
0,467
1
0,01
0,02
10
4,233
4,7
0,467
1
0,01
0,02
Равноинтервальная гистограмма имеет вид:
Построим гистограмму равновероятностным способом.
-
№
1
0,03
0,17
0,14
10
0,1
0,7143
2
0,17
0,25
0,08
10
0,1
1,2500
3
0,25
0,42
0,17
10
0,1
0,5882
4
0,42
0,57
0,15
10
0,1
0,6667
5
0,57
0,77
0,2
10
0,1
0,5000
6
0,77
0,96
0,19
10
0,1
0,5263
7
0,96
1,27
0,31
10
0,1
0,3226
8
1,27
1,53
0,26
10
0,1
0,3846
9
1,53
2,17
0,64
10
0,1
0,1563
10
2,17
4,7
2,53
10
0,1
0,0395
Равновероятностная гистограмма имеет вид:
Оценку математического ожидания вычислим по формуле
1,00.
Оценку дисперсии вычислим по формуле:
, 0,82,
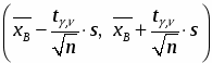
Построим доверительный интервал для математического ожидания при неизвестной дисперсии:
В нашем случае
1,00, 0,82, , , .
;
Доверительный интервал для математического ожидания .
Доверительный интервал для дисперсии
, =1,96 ().
По виду равноинтервальной гистограммы выдвигаем гипотезу о том, что случайная величина X распределена по показательному закону:
H0 :
H1 :
Определим оценку неизвестного параметра
Предполагаемый закон распределения . Найдем вероятности попадания в каждый из интервалов
Теоретические частоты найдем по формуле
№
Интервалы
[xi; xi+1)
1
0,03
0,497
0,36
36,00
-2,00
4,00
0,1111
2
0,497
0,964
0,23
23,00
4,00
16,00
0,6957
3
0,964
1,431
0,14
14,00
1,00
1,00
0,0714
4
1,431
1,898
0,09
9,00
1,00
1,00
0,1111
5
1,898
2,365
0,06
6,00
0,00
0,00
0,0000
6
2,365
2,832
0,04
4,00
-1,00
1,00
0,2500
7
2,832
3,299
0,02
2,00
0,00
0,00
0,0000
8
3,299
3,766
0,01
1,00
0,00
0,00
0,0000
9
3,766
4,233
0,01
1,00
0,00
0,00
0,0000
10
4,233
4,7
0,01
1,00
0,00
0,00
0,0000
НАБЛ=
1,24
Число степеней свободы определяют по формуле . По таблице критерия Пирсона находим: . Так как , то нет оснований отвергать гипотезу о показательном распределении. Проверим гипотезу о показательном распределении с помощью -критерия Колмогорова. Теоретическая функция распределения F0(x) показательного закона равна
Проверим гипотезу о нормальном распределении с помощью -критерия Колмогорова. Все вспомогательные расчеты сведем в таблицу.
№
Интервалы
[xi; xi+1)
частота в интервале
1
-2,951
7
34
0,34
0,36
0,02
2
-2,513
10
27
0,61
0,59
0,02
3
-2,075
8
15
0,76
0,73
0,03
4
-1,637
12
10
0,86
0,82
0,04
5
-1,199
14
6
0,92
0,88
0,04
6
-0,761
11
3
0,95
0,91
0,04
7
-0,323
9
2
0,97
0,93
0,04
8
0,115
4
1
0,98
0,95
0,03
9
0,553
16
1
0,99
0,96
0,03
10
0,991
9
1
1,00
0,97
0,03
; .
То таблице квантилей распределения Колмогорова по уровню значимости находим критическое значение .
Так как , то нет оснований отвергать гипотезу о нормальном распределении.
10. Задача 10. По выборке двумерной случайной величины
Вычислить оценку коэффициента корреляции;
Вычислить параметры линии регрессии и ;
Построить диаграмму рассеивания и линию регрессии;
Решение
Найдем числовые характеристики величин и .
0,88; 0,10.
1,59; .
1,76; .
Корреляционный момент равен:
–0,23
Найдем уравнения регрессии
где ;
Уравнение регрессии имеет вид:
.
Коэффициент корреляции равен:
.
Найдем интервальную оценку.
.
,
Проверим гипотезу об отсутствии корреляционной зависимости .
Проверим нулевую гипотезу : о равенстве нулю генерального коэффициента корреляции, при конкурирующей гипотезе .
.
По таблице критических точек распределения Стьюдента, по заданному уровню и числу степеней свободы найдем критическую точку двусторонней критической области. .
Так как – нулевую гипотезу принимаем.
Нравится материал? Поддержи автора!
Ещё документы из категории математика:
Чтобы скачать документ, порекомендуйте, пожалуйста, его своим друзьям в любой соц. сети.
После чего кнопка «СКАЧАТЬ» станет доступной!
Кнопочки находятся чуть ниже. Спасибо!
Кнопки:
Скачать документ